ஹைட்ராக்ஸி சேர்மங்கள் மற்றும் ஈதர்கள் | வேதியியல் - சுருக்கமாக விடையளி | 12th Chemistry : UNIT 11 : Hydroxy Compounds and Ethers
II. சுருக்கமான விடையளிக்க
1. 1 - மீத்தாக்ஸிபுரப்பேனை அதிக அளவு HI உடன் வெப்பப்படுத்தும் போது உருவாகும் விளைபொருட்களை கண்டறிக. இவ்வினையின் வினைவழிமுறையினை குறிப்பிடுக.

• ஓரிணைய ஆல்கைல் தொகுதிகளைக் கொண்ட ஈதர்கள SN2 வினை வழிமுறையினில் வினை புரிகின்றன
2. 1-ஈத்தாக்ஸிபுரப் -1- ஈனை ஒரு மோல் HI உடன் வினைப்படுத்தும் போது உருவாகும் முதன்மை விளைபொருளைக் கண்டறிக. PTA-6

3. ஒத்த தொகுதிகளைக் கொண்டுள்ள ஈரிணையை ஆல்கஹால்களைத் தயாரிக்க ஒரு தகுந்த வினை பொருளைத் தருக.

4. இருமோல் எத்தில்மெக்னீசியம் புரோமைடுடன் மெத்தில் பென்சோயேட்டை வினைப்படுத்தி பின் அமில நீராற்பகுக்க உருவாகும் முதன்மை விளைபொருள் யாது?

5. 2 - மெத்தில் பியூட் - 2 - ஈனை பின்வரும் முறைகளில் ஆல்கஹாலாக மாற்றும் போது உருவாகும் முதன்மை விளைபொருளைக் கண்டறிக.
அ) அமில வினையூக்கியால் நீரேற்றம்
ஆ) ஹைட்ரோபோரோ ஏற்றம்
இ) பேயர் காரணியைப் பயன்படுத்தி ஹைட்ராக்ஸிலேற்றம்

6. பின்வருவனவற்றை அவற்றின் கொதிநிலை மதிப்பின் அடிப்படையில் ஏறுவரிசையில் எழுதுக. மேலும் தாங்கள் வரிசை படித்தியமைக்கு உரிய காரணம் தருக.
i) பியூட்டன் - 2- ஆல், பியூட்டன் -1-ஆல், 2 - மெத்தில் புரப்பன் -2-ஆல்
ii) புரப்பன் -1-ஆல், புரப்பன் -1,2,3-ட்ரைஆல், புரப்பன் -1,3 - டை ஆல், புரப்பன் -2-ஆல் கொதிநிலை மதிப்பின் ஏறுவரிசை
i) 2-மெத்தில்புரப்பன்- 2 - ஆல் < பியூட்டன் - 2 - ஆல் < பியூட்டன் - 1 - ஆல்.
காரணம் : ஒத்த மூலக்கூறு வாய்பாடுடைய ஆல்கஹால்களின் கொதிநிலை ஏறுவரிசை 3°<2° <1° ) புரப்பன் - 2 - ஆல் < புரப்பன் - 1 - ஆல் < புரப்பன் -1, 3- டையால் < புரப்பன் - 1,2,3 - டிரைஆல் காரணம் : ஒத்த மூலக்கூறு வாய்பாடுடைய ஒற்றைஹைட்ரிக் ஆல்கஹால்கள் 2° <1° ஃபுரப்பன் - 2-ஆல் < புரப்பன் -1- ஆல். OH தொகுதி எண்ணிக்கை அதிகரிக்கும்போது கொதிநிலையும் அதிகரிக்கும் ஃபுரப்பன் - 1,3 - டையால் < புரப்பன் - 1,2,3 - டிரைஆல் (2-OH தொகுதிகள்) (3-OH தொகுதிகள்)
7. NH3, CH3O- போன்ற கருக்கவர் பொருட்களை ஆல்கஹால்களின் கருக்கவர் பதிலீட்டு வினைக்கு நாம் பயன்படுத்த இயலுமா?
• ஆல்கஹால்களின் கருக்கவர் பதிலீட்டு வினைக்கு NH3, CH3O- போன்ற கருக்கவர் பொருட்களை பயன்படுத்த இயலாது.
• கருக்கவர் பதிலீட்டு வினையில் முதலில் - OH தொகுதி புரோட்டானேற்றம் அடைய வேண்டும். அதற்கு I-, Br- , Cl- போன்ற வலிமைகுறைந்த கார கருக்கவர் பொருள்களை பயன்படுத்த இயலும்.
• மிதமான மற்றும் வலிமையான கருக்கவர் பொருட்களான NH3, CH3O- போன்றவற்றை பயன்படுத்த இயலாது.
• காரணம் அமிலக்கரைசலில் இந்த கருக்கவர் பொருட்களும் புரோட்டானேற்றம் அடைகின்றன.
• புரோட்டானேற்றம் அடைந்தால் அவை கருக் கவர் பொருட்களாக செயல்படமுடியாது (NH4+) அல்லது வலிமைகுறைந்த கருக்கவர் பொருளாக மாறிவிடும் (CH3OH)
8. t - பியூட்டைல் ஆல்கஹாலை அமிலம் கலந்த டைகுரோமேட்டை பயன்படுத்தி கார்பனைல் சேர்மமாக ஆக்சிஜ னேற்றம் அடையச் செய்ய இயலுமா?
• α-H இல்லாத காரணத்தால் t-பியூட்டைல் ஆல்கஹாலை ஆக்சிஜனேற்றம் செய்ய இயலாது.
• எனினும் அமிலம் கலந்த டைகுரோமேட்டை ஆக்சிஜனேற்றியாக பயன்படுத்தும்போது முதலில் நீர்நீக்க வினை நடைபெற்று ஆல்கீன் உருவாகிறது. பின்னர் ஆல்கீன் ஆக்சிஜனேற்றம் அடைந்து குறைந்த கார்பன் எண்ணிக்கை கொண்ட விளைபொருட்களை தருகிறது.

9. 1-பீனைல் எத்தனாலை அமிலம் கலந்த KMnO4 உடன் வினைப்படுத்த என்ன நிகழும்?

10. எத்தனால் ஆனது அமில வினைவேகமாற்றி முன்னிலையில் நீரகற்ற வினைக்கு உட்பட்டு ஈத்தீனைத் தரும் வினையின் வினைவழிமுறையினைத் தருக.

11. பின்வருவனவற்றுள் இருந்து பீனாலை எவ்வாறு தயாரிப்பாய்?
i) குளோரோபென்சின்
ii) ஐசோபுரப்பைல் பென்சீன்

12. கோல்ஃப் வினையை விளக்குக.
• பீனால் முதலில் சோடியம் பீனர்க்ஸைடாக மாற்றப்படுகிறது. இது பீனாலைவிட CO2 உடன் வேகமாக எலக்ட்ரான் கவர் பதிலீட்டு வினையில் ஈடுபடுகிறது.
• சோடியம் பீனாக்சைடை 400K மற்றும் 4-7 வளிமண்டல அழுத்தத்தில் அமில நீராற்பகுப்பிற்கு உட்படுத்தும் போது சாலிசிலிக் அமிலம் உருவாகிறது.

13. எத்தனால் மற்றும் 2 - மெத்தில் பென்டன் - 2 - ஆல் ஆகியனவற்றிலிருந்து 2 - ஈத்தாக்ஸி - 2 - மெத்தில் ‘பென்டேனைத் தயாரிக்கும் வில்லியம்சனின் தொகுப்பு முறைக்கான வேதிச் சமன்பாட்டினைத் தருக.
• ஒரு மூவிணைய ஆல்காக்சைடும், ஓரிணைய ஆல்கைல் ஹாலைடும் எளிதில் வில்லியம்சன் ஈதர் தொகுப்பு வினையில் ஈடுபடும்.

14. 4 - மெத்தில் பென்ட் - 2 - ஈன் - 1 - ஆல் ஐ தரும் ஆல்டிஹைடு, கார்பாக்சிலிக் அமிலம் மற்றும் எஸ்டர் ஆகியனவற்றின் வடிவமைப்புகளைத் தருக

15. இணைமாற்றியம் (மெட்டா மெர்சம்) என்றால் என்ன? 2 - மீத்தாக்ஸிபுரப்பேனின் இணைமாற்றியங்களுக்கான IUPAC வடிவமைப்புகளைத் தருக.
• ஒரே மூலக்கூறு வாய்பாட்டையும், ஒரே வினைத் தொகுதியையும் கொண்டு, வேற்று அணுவான ஆக்சிஜன் அல்லது நைட்ரஜனுடன் இணைக்கப்பட்டுள்ள ஆல்கைல் தொகுதிகளில் வேறுபடுவது இணை மாற்றியம் எனப்படும்.

இணைமாற்றிகள்
CH3 - O – CH2 – CH2 – CH3 1 - மீத்தாக்ஸிபுரப்பேன்
CH3 - CH2 - O - CH2 – CH3 ஈத்தாக்ஸி ஈத்தேன்
16. பின்வரும் மாற்றங்களை எவ்வாறு நிகழ்த்தலாம்?
i) பென்சைல் குளோடிரைலிருந்து பென்சைல் ஆல்கஹால்
ii) பென்சைல் ஆல்கஹாலிருந்து பென்சாயிக் அமிலம்

17. பின்வரும் வினைகளை நிறைவு செய்க.

விடை :

18. 0.44 கிராம் மோனோ ஹைட்ரிக் ஆல்கஹாலை, ஈதரில் உள்ள மெத்தில் மெக்னீசியம் அயோடைடுன் சேர்க்கும் போது STP ல் 112 Cm3 மீத்தேனை வெளியேற்றுகிறது. அதே ஆல்கஹாலானது PCC யுடன் வினைபடுத்தும் போது கார்பனைல் சேர்மத்தைத் தருகிறது. அந்த கார்பனைல் சேர்மம் வெள்ளி ஆடி சோதனைக்கு உட்படுகிறது. சேர்மத்தினைக் கண்டறிக.

1 மோல் (1 மோல்) 22400cm3 மீத்தேனை 1 மோல் ஆல்கஹால் உருவாக்குகிறது.
ஃ 112 Cm3 மீத்தேனை 1/22400 மோல் ஆல்கஹால் உருவாக்கும் = 0.005 மோல் ஆல்கஹால்
n = W/M M = W/n = 0.44/0.005 = 88
ஃ ஆல்கஹாலின் மூலக்கூறு நிறை = 88 கி மோல்-1
CnH2n+1 + OH = n × 12 + (2n + 1) × 1 +1 × 16 + 1 × 1 = 88
12n + 2n + 1 +16 +1 = 88
14n + 18 = 88
14n = 88 - 18
14n = 70
ஃ ஆல்கஹால் C5H11OH , அதாவது பென்டைல் ஆல்கஹால் PCC உடன் ஆல்கஹால் தரும் விளைபொருள் வெள்ளி ஆடி சோதனைக்கு உட்படுகிறது. எனவே விளை பொருள் ஒரு ஆல்டிஹைடு, மேலும் ஆல்கஹால் ஓரிணைய ஆல்கஹால் ஆகும்.
விடை:

19. பின்வரும் வினையினை நிறைவு செய்க.
i) 
ii) C6H5 -CHCH(OH)CH(CH3 )2 ---அடர் H2 SO4 →
விடை:

செயிட் செவ் விதி :
மூலக்கூறினுள்ளே நிகழும் நீர் அகற்ற வினைகளில் ஒன்றிற்கும் மேற்பட்ட வழிகளில் கார்பன் - கார்பன் இரட்டைப் பிணைப்பு உருவாக வாய்ப்பிருக்கும் எனில், அதிக அளவில் பதிலீடு அடைந்த ஆல்கீன் அதாவது நிலைப்புத் தன்மையுடைய ஆல்கீன் முதன்மை விளை பொருளாக உருவாகிறது.
20. பீனாலை Zn துகளுடன் வாலை வடித்து பின் புரப்பைல் குளோரைடுடன் சேர்ந்து பிரீடல் - கிராப்ட் ஆல்கைல் ஏற்ற வினைக்கு உட்படுத்தும் போது சேர்மம் A உருவாகிறது. A வை ஆக்சிஜனேற்றம் அடையச் செய்யும் போது B உருவாகிறது. A மற்றும் B யைக் கண்டறிக.

குறிப்பு :
• பென்சீன் வளையத்துடன் நேரடியாக பிணைக்கப்பட்ட கார்பன் பென்சிலிக் கார்பன் எனப்படும்.
• பென்சிலிக் கார்பனில் ஒரு ஹைட்ரஜன் அணு பிணைக்கப்பட்டிருந்தாலும் அது ஆக்சிஜனேற்றத்திற்கு உட்படும்.
21. 
A, B, C, D ஆகியனவற்றைக் கண்டறிக. மேலும் வினையினை பூர்த்தி செய்க.
விடை:

22. பின்வரும் விளையில் விளைபொருள் X மற்றும் Y யைக் கண்டறிக


23. அசிட்டிலீனை எவ்வாறு n-பியூட்டைல் ஆல்கஹாலாக மாற்றுவாய்?

24. பின்வரும் வினை வரிசையில் A,B,X மற்றும் Y ஆகிய விளைபொருட்களைக் கண்டறிக.

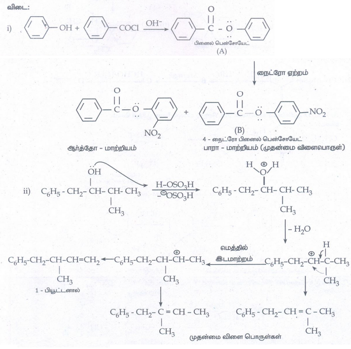
விடை:

25. 3, 3 - டை மெத்தில் பியூட்டன் -2-ஆல் ஐ அடர் கந்தக அமிலத்துடன் வினைபடுத்தும் போது டெட்ரா மீதைல் எத்திலீன் முதன்மை விளைபொருளாக உருவாகிறது. தகுந்த வினை வழிமுறையைத் தருக.

3,3 - டைமெத்தில் 1-பியூட்டீன் (குறைந்த பதிலீடு அடைந்த அல்கீன்) (அதிக பதிலீடு அடைந்த அல்கீன் அதிக நிலைப்புத்தன்மை உடையது) முதன்மை விளைபொருள் (செயிட்செவ் விதி)