ஆல்கஹால்களின் பண்புகள்
இயற்பண்புகள்
i. குறைவான கார்பன் எண்ணிக்கை உடைய ஆல்கஹால்கள் நிறமற்ற நீர்மங்கள். மேலும் உயர் எண்ணிக்கையுடையவை மெழுகு போன்ற திண்மங்கள்.
ii. ஆல்கேன்கள், ஆல்டிஹைடுகள், எஸ்டர்கள் போன்ற பிற கரிமச் சேர்மங்களைக் காட்டிலும் இவை அதிகமான கொதிநிலையைப் பெற்றுள்ளன. ஆல்கஹால்களில் மூலக்கூறுகளுக்குடையே காணப்படும் ஹைட்ரஜன் பிணைப்பே இதற்கு காரணமாக அமைகின்றது.
iii. மாற்றிய ஆல்கஹால்களுக்கிடையே ஓரிணைய ஆல்கஹால்கள் அதிக கொதிநிலையையும் மேலும் மூவிணைய ஆல்கஹால்கள் குறைவான கொதிநிலையையும் கொண்டுள்ளன.

iv. குறைவான கார்பன் அணுக்களின் எண்ணிக்கையைக் கொண்டுள்ள ஆல்கஹால்கள், நீருடன் ஹைட்ரஜன் பிணைப்பினை ஏற்படுத்தும் தன்மையினைப் பெற்றிருப்பதால் அவைகள் நீரில் அதிகம் கரையும் தன்மையினைக் கொண்டுள்ளன.
அட்டவணை : ஆல்கஹால்களின் கொதிநிலை பிற கரிமச் சேர்மங்களுடன் ஒரு ஒப்பீடு

ஆல்கஹால்களின் வேதிப்பண்புகள்
ஆல்கஹால்கள் வலிமையான காரத்தன்மையுடைய (OH-) எனும் நீங்கும் தொகுதியைக்கொண்டுள்ளன. எனவே அமிலத்தை சேர்த்து - OH தொகுதியானது முதலில் – OH2 ஆக மாற்றப்படுகிறது. புராட்டானேற்றம் அடைந்த ஆல்கஹாலில் காணப்படும் - OH2 தொகுதியை Br- போன்ற கருக்கவர் பொருட்கள் எளிதாக பதிலீடு செய்து ஆல்கைல் ஹாலைடுகளைத் தருகின்றன. எடுத்துக்காட்டு
ஆல்கஹால்கள் ஹைட்ரோ ஹேலிக் அமிலங்களுடன் கருக்கவர் பதிலீட்டு வினைக்கு உட்பட்டு ஆல்கைல் ஹாலைடுகளைத் தருகின்றன. மூவிணைய ஆலகஹால்களைப் பொறுத்த வரையில் வினை நிகழ வெப்பப்படுத்துதல் தேவைப்படுகிறது.

ஒரிணைய ஆல்கஹால்களிலிருந்து ஆல்கைல் ஹாலைடுகள் உருவாகும் வினை SN2 வினை வழிமுறையைப் பின்பற்றுகிறது.
எடுத்துக்காட்டுகள்

Br- கருக்கவர் பொருள்தாக்குதல் மற்றும் H2O நீங்குதல் ஆகிய இரண்டும் ஒரே நேரத்தில் நிகழ்கின்றன.
மூவிணைய ஆல்கஹால்களிலிருந்து ஆல்கைல் ஹாலைடுகள் உருவாகும் வினை S 1 வினை வழிமுறையை பின்பற்றுகிறது.
எடுத்துக்காட்டுகள்

இவ்வினையில் உருவாகும் கார்பன் நேர் அயனி நீக்க வினைக்கு உட்பட்டு ஆல்கீனை உருவாக்கவும் வாய்ப்புள்ளது. எனினும், உருவாகும் ஆல்கீன் மீளவும் HBr உடன் சேர்க்கை வினை புரிந்து பதிலீடு அடைந்த விளைபொருளைத் தருகிறது.
ஆல்கஹாலை ஆல்கைல் ஹாலைடாக மாற்றும் பிற முறைகள்
PCl3, PBr3, போன்ற வினைபொருட்களைப் பயன்படுத்தியும், ஆல்கஹால்களை ஆல்கைல் ஹாலைடுகளாக மாற்ற இயலும்

வினைவழிமுறை : பாஸ்பரஸ் ட்ரைகுளோரைடின் மீதான SN2 வினை குளோரோ ஈத்தேன்.

ஒரு ஆல்கஹால் ஆல்கைல் ஹைலைடாக மாற்றப்படுவதும் தயோனைல் குளோரைடைப் பயன்படுத்தி செயல்படுத்தப்படலாம்

இவ்வினையும் SNi வினை வழிமுறையைப் பின்பற்றுகிறது.
ஆல்கஹால்களை, கந்தக அமிலம் போன்ற தகுந்த நீரகற்றும் வினைபொருளுடன் வினைப்படுத்தும் போது, அடுத்தடுத்த கார்பன்களில் முறையே காணப்படும் H மற்றும் OH ஆகியன இழக்கப்பட்டு கார்பன் - கார்பன் இரட்டைப் பிணைப்பு உருவாகிறது. பாஸ்பரிக் அமிலம், நீரற்ற ZnCl2 அலுமினா முதலியனவும் நீரகற்றும் விளைபொருட்களாக பயன்படுகின்றன.
எடுத்துக்காட்டு

வினைவழிமுறை
ஓரிணைய ஆல்கஹால்கள் E2 வினை வழிமுறையினைப் பின்பற்றி நீரகற்றும் வினைக்கு உட்படுகின்றன.

மூவிணைய ஆல்கஹால்கள் E1 வினை வழிமுறையினைப் பின்பற்றி நீரகற்றம் அடைகின்றன. இவ்வினைவழி முறையில் கார்பன் நேர் அயனி உருவாகிறது.
படி 1: ஆல்கஹாலின் புரோட்டானேற்றம்

படி 2 : ஆக்சோனியம் அயனி பிரிகையுற்று கார்பன் நேர் அயனி உருவாதல்

படி 3 : கார்பன் நேர் அயனியிலிருந்து புரோட்டான நீங்குவதால் ஆல்கீன் உருவாகிறது.

வினைத்திறனின் வரிசை
நீரகற்றும் வினையில், ஆல்கஹால்களின் ஒப்பீட்டு வினைத்திறன் வரிசை பின்வருமாறு
ஓரிணைய < ஈரிணைய < மூவிணைய
தன்மதிப்பீடு
பின்வரும் வினைகளில் வினைவிளை பொருட்களைக் கண்டறிக. அவைகளின் IUPAC பெயர்களை எழுதுக. மேலும் வினையின் வினை வழிமுறையினைக் குறிப்பிடுக.

செயிட்செவ் விதி
மூலக்கூறுகளுக்கிடையே நிகழும் நீரகற்ற வினைகளில் ஒன்றிற்கும் மேற்பட்ட வழிகளில் கார்பன் - கார்பன் இரட்டைப் பிணைப்பு உருவாக வாய்ப்பிருக்கும் எனில், அதிக அளவில் பதிலீடு அடைய வாய்ப்பிருக்குமானால், அதிக அளவில் பதிலீடு அடைந்த ஆல்கீன் அதாவது நிலைப்புத் தன்மையுடைய ஆல்கீன் முதன்மை விளைபொருளாக உருவாகிறது.
எடுத்துக்காட்டாக, 3,3 - டை மெத்தில் -2- பியூட்டனாலின் நீரகற்றும் வினையில் ஆல்கீன்களின் கலவை உருவாகிறது. இவ்வினையில் உருவாகும் ஈரிணைய கார்பன் நேர் அயனி வடிவமைவு மாற்றத்திற்கு (Rearrangement) உட்பட்டு அதிக நிலைப்புத் தன்மை உடைய மூவிணைய கார்பன் நேர் அயனியைத் தருகிறது.

தன்மதிப்பீடு: 2,3- டைமெத்தில் பென்டன்-3-ஆல் ஆனது H2SO4 முன்னிலையில் வெப்பப்படுத்தும் போது உருவாகும் முதன்மை விளைபொருள் என்ன?
ஆல்கஹால்களின் ஆக்சிஜனேற்றம்
ஆல்கஹால்களின் முக்கியமான ஒரு வேதிவினை அவைகள் கார்பனைல் சேர்மங்களாக ஆக்சிஜனேற்றம் அடைவது ஆகும் அமிலம் கலந்த சோடியம் டைகுரோமேட் ஆனது வழக்கமாக ஆக்சிஜனேற்றியாகப் பயன்படுத்தப்படுகிறது. ஓரிணைய ஆல்கஹால்கள் ஆக்சிஜனேற்றம் அடைந்து ஆல்டிஹைடைத் தருகிறது. இது மேலும் ஆக்சிஜனேற்றம் அடைந்து கார்பாக்சிலிக் அமிலத்தினைத் தருகிறது. ஆல்டிஹைடுகள் / கீட்டோன்கள் உருவாகும் நிலையிலேயே ஆக்சிஜனேற்ற வினையை நிறைவு செய்ய, பிரிடினியம் குளோரோ குரோமேட் (PCC) யானது ஆக்சிஜனேற்றியாகப் பயன்படுத்தப்படுகிறது.
எடுத்துக்காட்டு

வழக்கமான வினை நிகழ் நிபந்தனைகளில் மூவிணைய ஆல்கஹால்கள் ஆக்சிஜனேற்றம் அடைவதில்லை. ஆனால் உயர் வெப்பநிலைகளில், வலிமையான ஆக்சிஜனேற்றிகள் C - C பிணைப்பினை பிளவுறச் செய்து கார்பாக்சிலிக் அமிலங்களின் கலவையினைத் தருகின்றன.
ஸ்வர்ன் ஆக்சிஜனேற்றம்
இம்முறையில், டைமெத்தில் சல்பாக்ஸைடு (DMSO) ஆனது ஆக்சிஜனேற்றியாகப் பயன்படுகிறது. இது ஆல்கஹால்களை ஆல்டிஹைடுகள் கீட்டோன்களாக மாற்றமடையச் செய்கிறது. இம்முறையில், ஆல்கஹாலை DMSO மற்றும் ஆக்சலைல் குளோரைடுடன் வினைபுரியச் செய்து பின் ட்ரை எத்தில் அமினுடன் சேர்க்கை வினை நிகழ்த்தப்படுகிறது.

உயிர் ஆக்சிஜனேற்றம்
உயிரினங்கள் உட்கொள்ளும் உணவானது நொதிக்கப்படுவதால் ஆல்கஹால் உருவாகிறது.
ஆல்கஹாலை நச்சு நீக்கம் செய்ய, கல்லீரலானது ஆல்கஹால் டீஹைட்ரோஜெனேஸ் (ADH) எனும் நொதியினை உற்பத்தி செய்கிறது. விலங்கினங்களில் காணப்படும் நிகோடினமைடு அடினைன் டைநியூக்ளியோடைடு (NAD) ஆக்சிஜனேற்றியாக செயல்படுகிறது. மேலும் ADH ஆனது நச்சுத் தன்மையுடைய ஆல்கஹாலை நச்சுத் தன்மையற்ற ஆல்டிஹைடுகளாக ஆக்சிஜனேற்றம் அடையச் செய்ய வினைவேகமாற்றியாக செயல்படுகிறது.

வினைவேக மாற்றியின் முன்னிலையில் ஹைட்ரஜன் நீக்கம்
ஓரிணைய மற்றும் ஈரிணைய ஆல்கஹால்களின் ஆவியினை நன்கு வெப்பப்படுத்தப்பட்ட தாமிரத்தின் வழியே செலுத்தும் போது, ஹைட்ரஜன் நீக்கம் நடைபெற்று ஆல்டிஹைடுகள் அல்லது கீட்டோன்கள் உருவாகின்றன.

மூவிணைய ஆல்கஹால்கள் நீர் நீக்க வினைக்கு உட்பட்டு ஆல்கீன்களைத் தருகின்றன.

எஸ்டராக்குதல்
ஆல்கஹால் ஒரு அமிலத்தின் முன்னிலையில் கார்பாக்சிலிக் அமிலங்களுடன் வினைபுரிந்து எஸ்டர்களைக் கொடுக்கும்
எடுத்துக்காட்டு

கிளைக்காலின் வினைகள்
எத்திலீன் கிளைக்கால் இரு ஓரிணைய ஆல்கஹால் தொகுதிகளைக் கொண்டுள்ளது. மேலும் இது ஹைட்ராக்சில் தொகுதியின் வழக்கமான வினைகளில் ஈடுபடுகிறது. மற்ற பிற ஓரிணைய ஆல்கஹால்களைப் போன்று இது உலோக சோடியத்துடன் வினைபுரிந்து மோனோ சோடியம் கிளைக்காலேட் மற்றும் டைசோடியம் கிளைக்காலேட் ஆகியனவற்றைத் தருகிறது.
ஹேலிக் அமிலங்கள் அல்லது PCl5 / PCl3 / SOCI2. ஆகியனவற்றுடன் கிளைக்காலை வினைபடுத்த ஹைட்ராக்ஸில் தொகுதியினை ஹாலைடு தொகுதியாக மாற்றலாம்.
எத்தலீன் கிளைக்காலை HI அல்லது P/I2, உடன் வினைபடுத்தும் போது 1,2 - டை அயேடோ ஈத்தேன் முதலில் உருவாகிறது. இது சிதைவடைந்து ஈத்தீனைத் தருகிறது.

அடர் கந்தக அமிலத்தின் முன்னிலையில் அடர் HNO3 உடன் வெப்பப்படுத்தும் போது, எத்திலீன் கிளைக்கால் டை நைட்ரோ கிளைக்காலைத் தருகிறது.

எத்திலீன் கிளைக்கால் பல்வேறு நிபந்தனைகளில் நீரகற்றும் வினைக்கு உட்பட்டு வெவ்வேறு விளைபொருட்களைத் தருகிறது.
1. 773K வெப்பநிலைக்கு வெப்பப்படுத்த, இது ஈப்பாக்சைடைத் தருகிறது.

2. நீர்த்த கந்தக அமிலம் அல்லது நீரற்ற ZnCl2 அதிக அழுத்தத்தில் மூடப்பட்ட குழாயில் வெப்பப்படுத்தும் போது அசிட்டால்டிஹைடு உருவாகிறது.

3. அடர் H2SO4 உடன் வாலைவடிக்கும் போது, கிளைக்கால் டை ஆக்சேனைத் தருகிறது.

கிளைக்காலின் ஆக்சிஜனேற்றம்
ஆக்சிஜனேற்றியின் தன்மை மற்றும் வினை நிகழ் நிபந்தனைகளைப் ஆக்சிஜனேற்றத்தில் கிளைக்கால் பல்வேறு விளைபொருட்களைத் தருகிறது.
i) நைட்ரிக் அமிலம் (அல்லது) காரம் கலந்த பொட்டாசியம் பெர்மாங்கனேட்டை ஆக்சிஜனேற்றியாக பயன்படுத்தும் போது பின்வரும் வினைபொருட்கள் உருவாகின்றன.

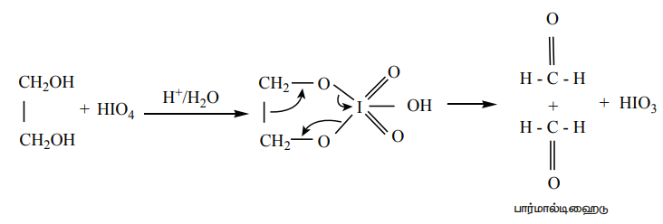
ii) பெர்அயோடிக் அமிலத்துடன் ஆக்சிஜனேற்றம்
எத்திலீன் கிளைக்காலை பெர்அயோடிக் அமிலத்துடன் வினைபுரியச் செய்யும் போது பார்மால்டிஹைடைத் தருகிறது.
இவ்வினையானது விசினல் 1,2- டை ஆல்களுக்கான தெரிந்தெடுக்கப்பட்ட ஒரு குறிப்பிட்ட விளைபொருளைத் தரும் வினையாகும். இவ்வினையானது வளைய பெர்அயோடேட் எஸ்டர் இடைநிலை உருவாதல் வழி நிகழ்கிறது.

கிளிசராலின் வேதிவினைகள்
நைட்ரோ ஏற்றம் : கிளிசரால், கந்தக அமிலத்தின் முன்னிலையில் நைட்ரிக் அமிலத்துடன் வினைபுரிந்து TNG (ட்ரைநைட்ரோகிளிசரின்) தருகிறது.

நீர் நீக்கம்
கிளிசராலை அடர் H2SO4 , KHSO4 போன்ற நீர் நீக்கும் வினைபொருளுடன் வினைபடுத்தும் போது இது நீர் நீக்க வினைக்கு உட்பட்டு ஆக்ரோலினைத் தருகிறது.

ஆக்சிஜனேற்றத்திற்கு பயன்படுத்தப்படும் ஆக்சிஜனேற்றியைப் பொருத்து கிளிசரால் வெவ்வேறு ஆக்சிஜனேற்ற விளைபொருட்களைத் தருகிறது. கிளிசரால் ஆனது,
அ) நீர்த்த HNO3 உடன் கிளிசரிக் அமிலம் மற்றும் டார்ட்ரோனிக் அமிலம் கிடைக்கிறது.
ஆ) அடர் HNO3 உடன் ஆக்சிஜனேற்றம் செய்யும் போது முக்கியமாக கிளிசரிக் அமிலம் உருவாகிறது.
இ) பிஸ்மத்நைட்ரேட் உடன் ஆக்சிஜனேற்றம் செய்யும் போது மீசோ ஆக்சாலிக் அமிலம் உருவாகிறது.
ஈ) Br2/H2O அல்லது NaOBr (அல்லது) பென்டான் வினைபொருள் FeSO4 + H2O2 ஆகியனவற்றுள் ஒன்றை ஆக்சிஜனேற்றியாக பயன்படுத்தும் போது கிளிசரால்டிஹைடு மற்றும் டைஹைட்ராக்சி அசிட்டோன் ஆகிய விளைபொருட்களின் கலவை உருவாகிறது. இந்த கலவையின் பெயர் கிளிசரோஸ்.
உ) HIO4 அல்லது LTA (லெட் டெட்ரா அசிட்டேட்) உடன் ஆக்சிஜனேற்றம் செய்யும் போது பார்மால்டிஹைடு மற்றும் பார்மிக் அமிலம் உருவாகிறது.
ஊ) அமிலம் கலந்த KMnO4 ஐ பயன்படுத்தி ஆக்சிஜனேற்றம் அடையச் செய்யும் போது கிளிசரால் ஆக்சாலிக் அமிலத்தை தருகிறது.
