சமன்பாடு, வரையறை, தேற்றம், எடுத்துக்காட்டு, தீர்வு, வகைகள் - அதிபரவளையம் (Hyperbola) | 12th Maths : UNIT 5 : Two Dimensional Analytical Geometry II
4. அதிபரவளையம் (Hyperbola)
ஒரு தளத்தில், ஒரு நகரும் புள்ளிக்கும் குவியத்திற்கும் உள்ள தூரம் அந்த நகரும் புள்ளிக்கும் இயக்குவரைக்கும் உள்ள தூரத்தைவிட அதிகமாக, e (e > 1) என்ற மாறாத விகிதம் உடையதாக இருப்பின் அந்த நகரும் புள்ளியின் நியமப்பாதை ஓர் அதிபரவளையம் ஆகும்.
(i) மையம் (0, 0) உடைய நீள்வட்டச் சமன்பாட்டின் திட்ட வடிவம்
A மற்றும் A' என்ற புள்ளிகள் முறையே SZ −ஐ உட்புறமாகவும் வெளிப்புறமாகவும் e : 1 என்ற விகிதத்தில் பிரிக்கின்றன என்க. AA' = 2a என்க. AA' −ன் மையக்குத்துக்கோடு AA' −ஐ C−இல் வெட்டுகின்றது என்க. C−ஐ மையமாகவும் CZ −இன் நீட்சியை x−அச்சாகவும், AA' −இன் மையக் குத்துக்கோட்டை y −அச்சாகவும் கொள்க. அதனால் CA = a மற்றும் CA' = a ஆகும்.

வரையறையின்படி AS/AZ = e மற்றும் A’S/A’Z = e ஆகும்.

(1) + (2)−இலிருந்து CS = ae மற்றும் (2)−(1)−இலிருந்து CZ = a/e என கிடைக்கும்
எனவே, S −ன் ஆயத்தொலைகள் (ae, 0). PM = x − a/e , மற்றும் இயக்குவரையின் சமன்பாடு x − a/e = 0 எனக்கிடைக்கும். P(x, y) அதிபரவளையத்தின் மீதுள்ள புள்ளி என்க.
கூம்பு வளைவின் வரையறைப்படி, SP/PM = e அல்லது SP2 = e2PM2.
அதனால் (x − ae)2 + (y − 0)2 = e2[x − a/e]2
⇒ (x − ae)2 + y2 = (ex − a)2
⇒ (e2 −1)x2 − y2 = a2 (e2 − 1)
⇒
இங்கு a2 (e2 − 1) = b2 எனப்பிரதியிட P−ன் நியமப்பாதை
எனக் கிடைக்கும். இந்த அதிபரவளையச் சமன்பாட்டின் திட்ட வடிவம். இங்கு ae = c என எடுக்க, b2 = c2 − a2 எனக்கிடைக்கும். இந்த அதிபரவளையம் x மற்றும் y −அச்சுகளுக்கு சமச்சீராக உள்ளதைக் காணலாம்.
வரையறை 5.5
(1) கோட்டுத்துண்டு AA' என்பது குறுக்கச்சு மற்றும் அதன் நீளம் 2a ஆகும்.
(2) கோட்டுத்துண்டு BB' என்பது துணையச்சு மற்றும் அதன் நீளம் 2b ஆகும்.
(3) கோட்டுத்துண்டு CA = கோட்டுத்துண்டு CA' = அரைக்குறுக்கச்சு = a மற்றும் கோட்டுத்துண்டு CB = கோட்டுத்துண்டு CB′ = அரைத்துணையச்சு = b ஆகும்.
(4) சமச்சீர் தன்மையினால் குவியம் S'(−ae, 0) மற்றும் இயக்குவரை l', x = − a/e என எடுத்துக்கொண்டாலும் அதே அதிபரவளையம் கிடைக்கும். இதன் மூலம் அதிபரவளையத்திற்கு S(ae, 0) மற்றும் S'(−ae, 0) என இரு குவியங்களும் A(a, 0) மற்றும் A'(−a, 0) என இரு முனைகளும், x = a/e மற்றும் x = −a/e என இரு இயக்குவரைகளும் உள்ளதைக் காணலாம்.
அதிபரவளையத்தின் செவ்வகலத்தின் நீளம் 2b2/a , என நீள்வட்டத்தில் பெற்றதுபோல பெறலாம்.
தொலைத்தொடுகோடுகள் (Asymptotes)
P(x, y) என்பது y = f(x) என வரையறுக்கப்பட்ட வளைவரையின் மீதுள்ள புள்ளி என்க. P என்ற புள்ளிக்கும் ஏதேனும் ஒரு நிலைக்கோட்டிற்குமான தூரம் பூச்சியத்தை நெருங்குமாறு P என்ற புள்ளி ஆதிப்புள்ளியை விட்டு மேலும் மேலும் விலகிச் செல்லுமானால் அந்த நிலைக்கோடு வளைவரையின் தொலைத்தொடுகோடு எனப்படும்.
அதிபரவளையத்திற்கு தொலைத்தொடுகோடுகள் உண்டு. அதே சமயம் பரவளையத்திற்கும், நீள்வட்டத்திற்கும் தொலைத்தொடுகோடுகள் இல்லை..
(ii) (h,k) –ஐ முனையாக உடைய அதிபரவளையங்கள் (Types of Hyperbola with centre at (h, k))

குறிப்புரை
(1) அதிபரவளையத்தின் குறுக்கச்சை விட்டமாகக்கொண்டு வரையப்படும் வட்டம் அதிபரவளையத்தின் துணைவட்டம் எனப்படும். அதன் சமன்பாடு x2 + y2 = a2.
(2) அதிபரவளையத்தின் மீதுள்ள ஒரு புள்ளிக்கும் குவியங்களுக்கும் இடையேயான தூரங்களின் வித்தியாசத்தின் மட்டு மதிப்பு குறுக்கச்சின் நீளத்திற்குச் சமம். அதாவது | PS – PS'| = 2a .
(இதை நீள்வட்டத்திற்கான நிரூபணம் போன்று நிறுவலாம்.)
இதுவரை நாம் பரவளையத்தின் நான்கு திட்டவடிவங்களையும், நீள்வட்டத்தின் இரு திட்டவடிவங்களையும், அதிபரவளையத்தின் இரு திட்டவடிவங்களையும் பற்றி படித்தோம். இவற்றைத் தவிர இந்தத்திட்ட வடிவங்களில் வகைப்படுத்த முடியாத பல வகையான, பரவளையங்கள், நீள்வட்டங்கள் மற்றும் அதிபரவளையங்களும் உள்ளன. எடுத்துக்காட்டாக பின்வரும் பரவளையம், நீள்வட்டம், அதிபரவளையம் ஆகியவற்றைக் கருத்தில் கொள்க.

ஆனால் மேற்கண்ட வளைவரைகளை சரியான அச்சின் இடப்பெயர்ச்சி மூலம் திட்டவடிவங்களுக்கு மாற்றலாம்.
எடுத்துக்காட்டு 5.16
குவியம் (−√2, 0) மற்றும் இயக்குவரை x = √2 உடைய பரவளையத்தின் சமன்பாடு காண்க.
தீர்வு

பரவளையம் இடப்பக்கம் திறப்புடையது மற்றும் சமச்சீர் அச்சு x −அச்சாகவும் முனை (0, 0) ஆகவும் இருக்கும்.
எனவே தேவையான பரவளையத்தின் சமன்பாடு
(y − 0)2 = −4√2 (x − 0)
⇒ y2 = −4√2x.
எடுத்துக்காட்டு 5.17
முனை (5, −2) மற்றும் குவியம் (2, −2) உடைய பரவளையத்தின் சமன்பாடு காண்க.
தீர்வு

கொடுக்கப்பட்டவைகள் முனை A(5, −2) மற்றும் குவியம் S(2, –2), குவியதூரம் AS = a = 3.
பரவளையத்தின் சமச்சீர் அச்சு x − அச்சுக்கு இணை மற்றும் பரவளையம் இடப்பக்கம் திறப்புடையது.
தேவையான பரவளையத்தின் சமன்பாடு
(y + 2)2 = −4(3)(x − 5)
⇒ y2 + 4y + 4 = −12x + 60
⇒ y2 + 4y + 12x − 56 = 0 .
எடுத்துக்காட்டு 5.18
முனை (−1, −2), அச்சு y−அச்சுக்கு இணை மற்றும் (3, 6) வழிச்செல்லும் பரவளையத்தின் சமன்பாடு காண்க.
தீர்வு

அச்சு y −அச்சுக்கு இணை என்பதால் தேவையான பரவளையத்தின் சமன்பாடு
(x+1)2 = 4a(y + 2).
இது (3, 6) வழிச்செல்வதால்
(3 + 1)2 = 4a(6 + 2)
⇒ a = 1/2
எனவே பரவளையத்தின் சமன்பாடு (x + 1)2 = 2(y + 2)
இதைச்சுருக்க x2 + 2x − 2y − 3 = 0 எனக்கிடைக்கும்.
எடுத்துக்காட்டு 5.19
x2 − 4x − 5y – 1 = 0. என்ற பரவளையத்தின் முனை, குவியம், இயக்குவரை மற்றும் செவ்வகல, நீளம் ஆகியவற்றைக் காண்க.
தீர்வு

பரவளையத்தின் சமன்பாடு
x2 − 4x − 5y − 1 = 0
⇒ x2 − 4x = 5y + 1
⇒ x2 − 4x + 4 = 5y + 1 + 4.
(x − 2)2 = 5 (y + 1) இது திட்ட வடிவம் ஆகும்.
எனவே, 4a = 5 மற்றும் முனை (2, −1), குவியம் (2, ¼).
இயக்குவரையின் சமன்பாடு
y – k + a = 0
y + 1 + 5/4 = 0
4y + 9 = 0.
செவ்வகலத்தின் நீளம் 5 அலகுகள்.
எடுத்துக்காட்டு 5.20
குவியங்கள் (±2, 0), மற்றும் முனைகள் (±3, 0) உடைய நீள்வட்டத்தின் சமன்பாடு காண்க.
தீர்வு

படம் 5.36லிருந்து
SS' = 2c மற்றும் 2c = 4 ; A'A = 2a = 6
⇒ c = 2 மற்றும் a = 3,
⇒ b2 = a2 − c2 = 9 – 4 = 5.
நெட்டச்சு x −அச்சு, a > b.
மையம் (0, 0) மற்றும் குவியம் (±2, 0).
எனவே நீள்வட்டத்தின் சமன்பாடு
x2/9 + y2/5 = 1.

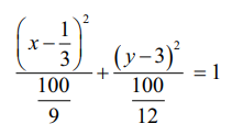
எடுத்துக்காட்டு 5.21
மையத்தொலைத்தகவு ½, குவியங்களில் ஒன்று (2, 3) மற்றும் ஒரு இயக்குவரை x = 7 உடைய நீள்வட்டத்தின் சமன்பாடு காண்க. மேலும் நெட்டச்சு, குற்றச்சு நீளங்களைக் காண்க.
தீர்வு
கூம்பு வளைவின் வரையறைப்படி SP/PM = e அல்லது SP2 = e2PM2
இதனால், (x − 2)2 + ( y − 3)2 = 1/4(x − 7)2
⇒ 3x2 + 4y2 − 2x − 24y + 3 = 0, இதைப்பின்வருமாறு எழுதலாம்
⇒ 3(x – 1/3)2 + 4(y − 3)2 = 3(1/9) + 4 × 9 − 3 = 100/3
⇒
இது திட்டவடிவம் ஆகும்.
எனவே நெட்டச்சின் நீளம் = 2a = 2√(100/9) = 20/3 மற்றும்
குற்றச்சின் நீளம்= 2b = 2√(100/12) =10/√3.
எடுத்துக்காட்டு 5.22
4x2 + 36y2 + 40x − 288y + 532 = 0 என்ற கூம்பு வளைவின் குவியங்கள், முனைகள் மற்றும் அதன் நெட்டச்சு, குற்றச்சு நீளங்களைக் காண்க.
தீர்வு
x மற்றும் y மதிப்புகளை முழுவர்க்கமாக்க 4x2 + 36y2 + 40x − 288y + 532 = 0,
4(x2 + 10x + 25 − 25) + 36(y2 − 8y + 16 − 16) + 532 = 0 இலிருந்து
4(x2 + 10x + 25) + 36(y2 − 8y + 16) = −532 + 100 + 576
4(x + 5)2 + 36( y − 4)2 = 144.
இருபுறமும் 144−ஆல் வகுக்கச் சமன்பாடு
(x + 5)2/36 + (y − 4)2/4 = 1.
இது மையம் (–5, 4), மற்றும் நெட்டச்சு x−அச்சுக்கு இணையான நீள்வட்டம். இதன் அரை நெட்டச்சின் நீளம் 12 மற்றும் குற்றச்சின் நீளம் 4. முனைகள் (1, 4) மற்றும் (−11, 4).
தற்போது, c2 = a2 − b2 = 36 – 4 = 32
மற்றும் c = ±4√2.
எனில் குவியங்கள் (−5 −4√2, 4) மற்றும் (−5 + 4√2, 4) .
நெட்டச்சின் நீளம் = 2a = 12 அலகுகள் மற்றும்
குற்றச்சின் நீளம் = 2b = 4 அலகுகள்.
எடுத்துக்காட்டு 5.23
4x2 + y2 + 24x − 2y + 21 = 0 என்ற நீள்வட்டத்தின் மையம், முனைகள் மற்றும் குவியங்கள் காண்க. மேலும் செவ்வகல நீளம் 2 என நிறுவுக.
தீர்வு

உறுப்புகளை வரிசைப்படுத்தி எழுத நீள்வட்டத்தின் சமன்பாடு
4x2 + 24x + y2 − 2y + 21= 0
அதாவது, 4(x2 + 6x + 9 − 9) + (y2 − 2y + 1 − 1) + 21 = 0
4(x + 3)2 – 36 + (y − 1)2 – 1 + 21 = 0,
4(x + 3)2 + (y − 1)2 = 16,
[ (x + 3)2 /4 ] + [ (y − 1)2/16 ] = 1.
மையம் (−3, 1) a = 4, b = 2, மற்றும் நெட்டச்சு y −அச்சுக்கு இணை
c2 = 16 – 4 = 12
c = ± 2√3.
எனவே குவியங்கள் (−3, 2√3 + 1) மற்றும் (−3, −2√3 + 1).
முனைகள் (3, ± 4 + 1), அதாவது (−3, 5) மற்றும் (−3, −3), மற்றும்
செவ்வகல நீளம் = 2b2/a = 2 அலகுகள். (படம் 5.37)
எடுத்துக்காட்டு 5.24
முனைகள் (0, ±4) மற்றும் குவியங்கள் (0, ±6) உள்ள அதிபரவளையத்தின் சமன்பாடு காண்க.
தீர்வு

குவியங்களின் நடுப்புள்ளி மையம் C (0, 0) (படம் 5.38)
குறுக்கச்சு y −அச்சு
AA' = 2a ⇒ 2a = 8,
SS' = 2c = 12, c = 6
a = 4
b2 = c2 − a2 = 36 – 16 = 20.
எனவே தேவையான அதிபரவளையத்தின் சமன்பாடு y2/16 − x2/20 = 1
எடுத்துக்காட்டு 5.25
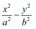
9x2 −16y2 = 144 என்ற அதிபரவளையத்தின் முனைகள், குவியங்கள் காண்க.
தீர்வு
9x2 −16y2 = 144 என்ற சமன்பாட்டைத் திட்டவடிவில் மாற்ற
x2/16 − y2/9 = 1 எனக்கிடைக்கும்.
குறுக்கச்சு x−அச்சு, முனைகள் (−4, 0) மற்றும் (4, 0);
மற்றும் c2 = a2 + b2 = 16 + 9 = 25, c = 5.
எனவே குவியங்கள் (−5, 0) மற்றும் (5, 0).
எடுத்துக்காட்டு 5.26
11x2 − 25y2 − 44x + 50y – 256 = 0 என்ற அதிபரவளையத்தின் மையம், குவியங்கள் மற்றும் மையத் தொலைத்தகவு காண்க.
தீர்வு
சமன்பாட்டின் உறுப்புகளை வரிசைப்படுத்தி அதிபரவளையத்தின் திட்டவடிவமாக மாற்ற
11(x2 − 4x) − 25(y2 − 2y) − 256 = 0
11(x − 2)2 − 25 (y − 1)2 = 256 – 44 + 25
11(x − 2)2 − 25(y − 1)2 = 275
[ (x − 2)2 /25 ] – [ (y − 1)2/11 ] = 1
மையம் (2, 1),
a2 = 25, b2 = 11
c2 = a2 + b2
= 25 + 11 = 36
c = ± 6
எனவே,
e = c/a = 6/5 மற்றும் குவியங்கள் (8, 1) மற்றும் (−4, 1) (படம் 5.39).

எடுத்துக்காட்டு 5.27
ஹாலேயின் வால் நட்சத்திர சுற்றுப்பாதை, (படம் 5.51) 36.18 விண்வெளி அலகு நீளமும் 9.12 விண்வெளி அலகுகள் அகலமும் கொண்ட நீள்வட்டம். அந்த நீள்வட்டத்தின் மையத்தொலைத்தகவு காண்க.
தீர்வு
2a = 36.18, 2b = 9.12, எனத்தரப்பட்டுள்ளது.

குறிப்பு
ஒரு விண்வெளி அலகு (சூரியனுக்கும் பூமிக்கும் இடையேயுள்ள தூரத்தின் சராசரி) என்பது 1,49,597,870 கி.மீ, பூமியின் சுற்றுப்பாதையின் அரைநெட்டச்சு.