நிரூபணம், எடுத்துக்காட்டு கணக்குகள் - வட்டச் சமன்பாட்டின் திட்டவடிவம் (Equation of a circle in standard form) | 12th Maths : UNIT 5 : Two Dimensional Analytical Geometry II
1. வட்டச் சமன்பாட்டின் திட்டவடிவம் (Equation of a circle in standard form)
(i) மையம் (0, 0) மற்றும் ஆரம் r உடைய வட்டத்தின் சமன்பாடு

மையம் C(0,0), ஆரம் r மற்றும் P(x,y) ஒரு நகரும் புள்ளி என்க.
P என்ற புள்ளியின் ஆயத்தொலைகள் (x,y) என்பது P(x,y) என குறிக்கப்படுவதைக் கவனிக்க.
CP = r மற்றும் CP2 = r2
(x − 0)2 + (y − 0)2 = r2
x2 + y2 = r2
இது மையம் (0,0), ஆரம் r உடைய வட்டத்தின் சமன்பாடாகும்.
(ii) மையம் (h, k) மற்றும் ஆரம் r உடைய வட்டத்தின் சமன்பாடு

மையம் C(h,k), ஆரம் r மற்றும் நகரும் புள்ளி P(x,y) என்க.
தற்போது CP = r எனவே CP2 = r2, அதாவது (x − h)2 + (y − k)2 = r2. இது வட்டத்தின் திட்டவடிவச் சமன்பாடு ஆகும். இது மைய−ஆர வடிவம் எனவும் அழைக்கப்படும்.
மேற்கண்ட சமன்பாட்டை விரிவுபடுத்த
x2 + y2 − 2hx − 2ky + h2 + k2 − r2 = 0 எனக்கிடைக்கின்றது.
இங்கு 2g = −2h, 2f = −2k, c = h2 + k2 − r2 எனக்கொண்டால் சமன்பாடு
x2 + y2 + 2gx + 2fy + c = 0 என்ற வடிவத்தைப் பெறும். இது வட்டத்தின் பொது வடிவம் எனப்படும்.
சமன்பாடு x2 + y2 + 2gx + 2fy + c = 0 என்பது பின்வரும் பண்புகளைக் கொண்ட x, y என்ற மாறிகளில் அமைந்த இருபடிச் சமன்பாடு ஆகும்.
(i) இது x, y இல் அமைந்த இருபடிச் சமன்பாடு
(ii) x2 −ன் கெழு = y2 −ன் கெழு ≠ 0,
(iii) xy −ன் கெழு = 0 .
மறுதலையாக மேற்கண்ட பண்புகள் உடைய ஒரு சமன்பாடு வட்டத்தைக் குறிக்கும் என நிறுவலாம். ax2 + ay2 + 2g'x + 2f’y + c = 0 எனில், ………….(1)
இது x, y −ல் அமைந்த, பண்புகள் (i), (ii) மற்றும் (iii) உடைய இருபடிச்சமன்பாடு, மேலும் a ≠ 0. a−ஆல் (1)ஐ வகுக்க
x2 + y2 + (2g'/a)x + (2f’ /a) y + c’/a = 0 என கிடைக்கும். …………(2)
g’/a = g , f ’/a = f , c’/a = c என எடுத்துக்கொண்டால் சமன்பாடு (2) x2 + y2 + 2gx + 2fy + c = 0 என மாறும்.
g2 மற்றும் f 2 −ஐ கூட்டி, கழிக்க பின்வரும் சமன்பாடு கிடைக்கும்.
x2 +2gx + g2 + y2 + 2 fy + ƒ2 − g2 − ƒ2 + c = 0
(x + g) 2 + (y + f)2 = g2 + f 2 − c
(x − (−g))2 + (y− (−ƒ))2 = (√[g2 + ƒ2 – c])2
இது திட்ட வடிவில் உள்ளதால் வட்டத்தின் மையம் (−g,−f) மற்றும் ஆரம் r =√[g2 + ƒ2 – c] ஆகும். எனவே சமன்பாடு (1), (−g,−f) = (−g′/a , −f ′/a) −ஐ மையமாகவும்
ஆரம் = √[g2 + ƒ2 – c] = 1/a √[g’2 + ƒ’2 – c'a] உள்ள ஒரு வட்டத்தைக் குறிக்கும்.
குறிப்புரை
மையம் (−g, −f) மற்றும் ஆரம் √[g2 + ƒ2 – c] உடைய x2 + y2 + 2gx + 2fy + c = 0 என்ற சமன்பாடு
(i) g2 + f 2 −c > 0 எனில் மெய்வட்டத்தைக் குறிக்கும்;
(ii) g2 + f 2− c = 0 எனில் ஒரு புள்ளி வட்டத்தைக் குறிக்கும் ;
(iii) மற்றும் g2 + f 2 – c < 0 எனில் நியமப்பாதையற்ற ஒரு கற்பனை வட்டத்தைக் குறிக்கும்.
எடுத்துக்காட்டு 5.1
மையம் (−3, −4) மற்றும் ஆரம் 3 அலகுகள் கொண்ட வட்டத்தின் பொதுவடிவச் சமன்பாடு காண்க.
தீர்வு
வட்டத்தின் திட்ட வடிவச் சமன்பாடு (x − h)2 + (y − k)2 = r2
⇒ (x − (−3))2 + (y − (−4))2 = 32
⇒ (x + 3) 2 + (y + 4)2 = 32
⇒ x2 + y2 + 6x + 8y +16 = 0 இது பொது வடிவம் ஆகும்.
தேற்றம் 5.1
lx + my + n = 0 என்ற நேர்கோடும் x2 + y2 + 2gx + 2fy + c = 0 என்ற வட்டமும் வெட்டிக்கொள்ளும் புள்ளிகள் வழியே செல்லும் வட்டத்தின் சமன்பாடு
x2 + y2 + 2gx + 2fy + c + λ(lx + my + n) = 0, λ ∈ ℝ1 என்ற வடிவில் இருக்கும்.
நிரூபணம்
வட்டம் S: x2 + y2 + 2gx + 2fy + c = 0, ………………(1)
மற்றும் நேர்கோடு L : lx + my + n = 0 என்க. ……………..(2)
S + λL= 0 −ஐ கருத்தில் கொள்க.
அதாவது x2 + y2 + 2gx + 2fy + c + λ(lx + my + n) = 0 −ன் x, y உறுப்புகள் மற்றும் மாறிலிகளை ஒன்று சேர்க்கக் கிடைப்பது ………………(3)
x2 + y2 + x(2g + λl) + y(2f + λm) + c + λn = 0 இது x, y −இல் அமைந்த இருபடிச் மேலும் இங்கு xy உறுப்பு இல்லை, மற்றும் x2, y2 கெழுக்கள் சமமாக உள்ளதால் S + λL = 0 என்பது ஒரு வட்டத்தைக் குறிக்கும். (α, β) என்ற புள்ளி S மற்றும் L−இன் வெட்டும் புள்ளியானால் சமன்பாடுகள் (1) மற்றும் (2)−ஐ நிறைவு செய்கின்றன. எனவே இது சமன்பாடு (3)−ஐயும் நிறைவு செய்கிறது. எனவே S + λL = 0 என்பது தேவையான வட்டத்தின் சமன்பாடு ஆகும்.
எடுத்துக்காட்டு 5.2
x2 + y2 =16 என்ற வட்டத்தின் நாண் 3x + y + 5 = 0−ஐ விட்டமாகக் கொண்ட வட்டத்தின் சமன்பாடு காண்க.
தீர்வு
தேற்றம் 5.1−ன் படி x2 + y2 =16 என்ற வட்டமும் 3x + y + 5 = 0 என்ற நேர்கோடும் வெட்டும் புள்ளிவழிச் செல்லும் வட்டத்தின் சமன்பாடு x2 + y2 – 16 + λ(3x + y + 5) = 0. இந்த வட்டத்தின் மையம் (−3λ/2 , −λ/2) . இது 3x + y + 5 = 0 என்ற கோட்டின் மீதுள்ளதால்
3(−3λ/2) − λ/2 + 5 = 0,
⇒ −9λ/2 − λ/2 + 5 = 0,
⇒ −5λ + 5 = 0,
⇒ λ = 1.
எனவே, தேவையான வட்டத்தின் சமன்பாடு x2 + y2 + 3x + y – 11 = 0.
எடுத்துக்காட்டு 5.3
x2 + y2 − 6x + 4y + c = 0 என்ற வட்டத்திற்கு c−ன் எல்லா மதிப்புகளுக்கும் x + y – 1 = 0 என்ற நேர்க்கோடு விட்டமாக அமையுமா எனத் தீர்மானிக்க.
தீர்வு
கொடுக்கப்பட்ட வட்டத்தின் மையம் (3,−2). இது x + y – 1 = 0 −ல் உள்ளது. எனவே x + y – 1 = 0 என்ற கோடு c −இன் எல்லா மதிப்பிற்கும் வட்டத்தின் மையம் வழிச்செல்லும் ஆதலால் x + y − 1 = 0 என்ற கோடு c−இன் எல்லா மதிப்பிற்கும் வட்டத்தின் விட்டமாக அமையும்.
தேற்றம் 5.2
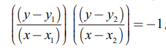
ஒரு வட்டத்தின் விட்டத்தின் முனைப்புள்ளிகள் (x1, y1) மற்றும் (x2, y2) எனில் அந்த வட்டத்தின் சமன்பாடு (x − x1)(x – x2) + (y − y1)(y – y2) = 0 ஆகும்.
நிரூபணம்

AB என்ற விட்டத்தின் முனைப்புள்ளிகள் A(x1, y1), B(x2, y2) என்க. மேலும் P(x, y) வட்டத்தின் மீதுள்ள ஏதேனும் ஒரு புள்ளி என்க. அப்பொழுது ∠APB = π/2 (அரைவட்டத்தில் தாங்கும் கோணம்) எனவே AP, PB என்பவற்றின் சாய்வுகளின் பெருக்கல் −1.
இதிலிருந்து வட்டத்தின் சமன்பாடு
(x − x1)(x – x2) + (y − y1)(y – y2) = 0 எனக் கிடைக்கின்றது.
எடுத்துக்காட்டு 5.4
(−4, −2) மற்றும் (1, 1) என்ற புள்ளிகளை விட்டத்தின் முனைகளாகக் கொண்ட வட்டத்தின் பொதுச் சமன்பாடு காண்க.
தீர்வு
தேற்றம் 5.2 −ன் படி (x1, y1) மற்றும் (x2, y2) என்ற புள்ளிகளை விட்டத்தின் முனைகளாகக் கொண்ட வட்டத்தின் சமன்பாடு (x − x1)(x – x2) + (y − y1)(y – y2) = 0
⇒ (x + 4)(x − 1) + (y + 2)(y − 1) = 0
எனவே தேவையான வட்டத்தின் சமன்பாடு x2 + y2 + 3x + y − 6 = 0.
தேற்றம் 5.3
x2 + y 2 + 2gx + 2fy + c = 0 என்ற வட்டத்தைப் பொறுத்து P(x1, y1) என்ற புள்ளியின் நிலை, x12 + y1 2 + 2gx1 + 2fy1 + c ன் மதிப்பு
−க்கு தகுந்தாற்போல் முறையே வட்டத்தின் வெளியே, வட்டத்தின் மேல் அல்லது வட்டத்தின் உள் அமையும்.
நிரூபணம்
x 2 + y 2 + 2gx + 2fy + c = 0 என்ற வட்டத்தின் மையம் C (−g,−f)
ஆரம் r =√[g2 + ƒ2 – c]

P(x1, y1) என்ற புள்ளி வட்டம் உள்ள தளத்தில் உள்ளது என்க.
CP −ஐ இணைத்து அது வட்டத்தை வெட்டும் புள்ளி Q என்க.
என்ற நிலைக்கு ஏற்ப முறையே வட்டத்திற்கு வெளியே வட்டத்தின் மீது அல்லது வட்டத்தின் உள்ளே அமையும்.

ஏற்ப புள்ளி P(x1, y1) வட்டத்திற்கு வெளியே வட்டத்தின் மீது அல்லது வட்டத்தின் உள்ளே அமையும்.
எடுத்துக்காட்டு 5.5
x2 + y2 − 6x − 8y + 12 = 0 என்ற வட்டத்தைப் பொறுத்து (2,3) என்ற புள்ளியின் நிலையை ஆராய்க.
தீர்வு
x12 + y12 + 2gx1 + 2fy1 + c = 22 + 32 – (6 × 2) – (8 × 3) + 12,
= 4 + 9 – 12 – 24 + 12 = −11 < 0.
எனவே புள்ளி (2,3) தேற்றம் 5.3−ன் படி வட்டத்திற்கு உள்ளே அமையும்.
எடுத்துக்காட்டு 5.6
3x + 4y − 12 = 0 என்ற நேர்க்கோடு ஆய அச்சுகளை A மற்றும் B என்ற புள்ளிகளில் சந்திக்கின்றது. கோட்டுத்துண்டு AB −ஐ விட்டமாகக் கொண்ட வட்டத்தின் சமன்பாடு காண்க.
தீர்வு
நேர்க்கோடு 3x + 4y = 12 −ஐ வெட்டுத்துண்டு வடிவில் எழுத x/4 + y/3 = 1 எனக் கிடைக்கும். எனவே புள்ளிகள் A மற்றும் B முறையே (4, 0) மற்றும் (0, 3).
வட்டத்தின் சமன்பாடு விட்ட வடிவம்
(x − x1)(x – x2) + (y − y1)(y – y2) = 0
(x − 4) (x − 0) + (y − 0)(y − 3) = 0
x2 + y2 − 4x − 3y = 0.
எடுத்துக்காட்டு 5.7
ஒரு நேர்க்கோடு 3x + 4y + 10 = 0, மையம் (2,1) உள்ள ஒரு வட்டத்தில் 6 அலகுகள் நீளமுள்ள ஒரு நாணை வெட்டுகின்றது. அந்த வட்டத்தின் பொதுச் சமன்பாடு காண்க.
தீர்வு
மையம் (2, 1) உடைய வட்டத்தில் 3x + 4y + 10 = 0 என்ற நேர்க்கோடு AB என்ற நாணை வெட்டுகின்றது. AB −ன் மையப்புள்ளி M என்க.

AM = BM = 3. BMC ஒரு செங்கோண முக்கோணம்
CM = |3(2) + 4(1) + 10| / √[32 + 42] = 4.
பிதாகரஸ் தேற்றப்படி BC2 = BM2 + MC2 = 32 + 42 = 25 .
BC = 5 = ஆரம்
தேவையான வட்டத்தின் சமன்பாடு (x − 2)2 + (y − 1)2 = 52
அதாவது x2 + y2 − 4x − 2y − 20 = 0 .
எடுத்துக்காட்டு 5.8
ஆரம் 3 அலகுகள் கொண்ட ஒரு வட்டம் ஆய அச்சுகளைத் தொட்டுச் செல்கின்றவாறு உருவாகும் அனைத்து வட்டங்களின் பொதுச் சமன்பாடுகளையும் காண்க.
தீர்வு

வட்டம் இரு அச்சுகளையும் தொட்டுச் செல்வதால் அச்சுகளிலிருந்து வட்டத்தின் மையத்திற்கு உள்ள தூரம் 3 அலகுகள். எனவே மையம் (±3, ±3) ஆக இருக்கும். அதனால் ஆரம் 3 உடைய நான்கு வட்டங்களின் சமன்பாடுகள் x2 + y2 ± 6x ± 6y + 9 = 0 ஆகும்.
எடுத்துக்காட்டு 5.9
ஒரு வட்டத்தின் சமன்பாடு 3x2 + (a + 1)y2 + 6x − 9y + a + 4 = 0 எனில் அதன் மையம், ஆரம் காண்க.
தீர்வு
x2 −ன் கெழு = y2 −ன் கெழு (இருபடிச் சமன்பாட்டின் பண்பு (ii)−ன் படி)
ஆதலால் 3 = a + 1, a = 2 எனக் கிடைக்கின்றது. எனவே வட்டத்தின் சமன்பாடு
3x2 + 3y2 + 6x − 9y + 6 = 0
x2 + y2 + 2x − 3y + 2 = 0
மையம் (−1, 3/2) மற்றும் ஆரம் r = √[ 1+ 9/4 – 2] = √5/2 .
எடுத்துக்காட்டு 5.10
(1, 1), (2, −1), மற்றும் (3, 2) என்ற மூன்று புள்ளிகள் வழிச்செல்லும் வட்டத்தின் சமன்பாடு காண்க.
தீர்வு
வட்டத்தின் பொதுச் சமன்பாடு x2 + y2 + 2gx + 2fy + c = 0 …..(1)
இது (1, 1), (2, −1) மற்றும் (3, 2) என்ற புள்ளிகள் வழிச்செல்வதால்
2g + 2f + c = −2, …….(2)
4g − 2f + c = −5, …….(3)
6g + 4f + c = −13. …….(4)
(2) − (3) −இலிருந்து −2g + 4f = 3. …..... (5)
(4) − (3) −இலிருந்து 2g + 6f = −8. …….(6)
(5) + (6) −இலிருந்து f = −1/2 என கிடைக்கும் மதிப்பை (6)இல் பிரதியிட g = −5/2, f, g இன் மதிப்புகளை (2)இல் பிரதியிட c = 4 எனவும் கிடைக்கிறது.
எனவே தேவையான வட்டத்தின் சமன்பாடு
x2 + y2 + 2(−5/2)x + 2(−1/2)y + 4 = 0
அதாவது x2 + y2 − 5x – y + 4 = 0.