வகைப்பாடு, வினைசெயல் தொகுதியின் அமைப்பு, IUPAC பெயரிடும் முறை - ஈதர்கள் | 12th Chemistry : UNIT 11 : Hydroxy Compounds and Ethers
ஈதர்கள்
இரண்டு ஆல்கைல் / அரைல் தொகுதிகளை ஒரு ஆக்ஸிஜன் அணுவின் மூலம்
இணைக்கும் கரிமச் சேர்மங்களுக்கு ஈதர்கள் என்று பெயர். ஹைட்ரோ கார்பனில் உள்ள ஒரு ஹைட்ரஜன் அணுவிற்கு பதிலாக ஆல்காக்ஸி (-OR) அல்லது அரைல் தொகுதி (-OAr) களால் பதிலீடு செய்யப்பட்ட ஹைட்ரோ கார்பனின் பெறுதிகள் என ஈதர்கள் கருதப்படுகின்றன. அலிபாட்டிக் ஈதர்களின் பொதுவாய்பாடு CnH2n+2+O.
வகைப்பாடு:

வினைசெயல் தொகுதியின் அமைப்பு
ஈதரில் உள்ள இரண்டு ஆல்கைல் தொகுதிகளுக்கு இடையில் அமையும் ஆக்ஸிஜன் அணு ஆல்கஹாலில் உள்ள - O-H தொகுதியை ஒத்துள்ளது. ஆக்ஸிஜன் அணு sp3 இனக்கலப்பை பெற்றுள்ளது. ஆக்ஸிஜனின் sp3 இனக்கலப்பு ஆர்பிட்டால் அதனுடன் இணைந்துள்ள இரண்டு ஆல்கைல் தொகுதி Cன் sp3 இனக்கலப்பு ஆர்பிட்டாலுடன் நேர்கோட்டில் மேல் பொருந்தி இரண்டு σ பிணைப்பை உருவாக்குகிறது. C-O-C பிணைப்பு கோணம் நான்முகி பிணைப்பு கோணத்தை விட சற்று அதிகமாக இருக்கும். ஏனெனில் இரண்டு பெரிய ஆல்கைல் தொகுதிகளுக்கிடையே விலக்கு இடையீடு இருப்பதே காரணமாகும்.

IUPAC பெயரிடும் முறை:
பின்வரும் அட்டவணையில் ஈதர்களுக்கு IUPAC முறையில் பெயரிடுதல் விளக்கப்பட்டுள்ளது.

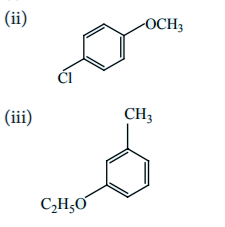
தன்மதிப்பீடு
பின்வரும் ஈதர்களின் IUPAC பெயரினை எழுதி அதனை எளிய மற்றும் கலப்பின ஈதர்களாக வரிசைப்படுத்துக.
(i) CH3 – CH2 – O - (CH2)3 -CH3

(iv) (CH3) 3C—O-C (CH3) 3
(v) CH2 = CH-CH(CI)-O-CH3
(vi) டைபென்சைல் ஈதர்
(vii) வினைல் அல்லைல் ஈதர்