இயற்பியல் ஆய்வக நடைமுறை பரிசோதனை - சுரமானியைப் பயன்படுத்தி மாறா அதிர்வெண்ணிற்கு கொடுக்கப்பட்ட கம்பியின் அதிர்வடையும் பிரிவின் நீளத்திற்கும் இழுவிசைக்கும் இடையேயான தொடர்பை அறிதல் | 11th Physics : Practical Experiment
சுரமானியைப் பயன்படுத்தி மாறா அதிர்வெண்ணிற்கு கொடுக்கப்பட்ட கம்பியின் அதிர்வடையும் பிரிவின் நீளத்திற்கும் இழுவிசைக்கும் இடையேயான தொடர்பை அறிதல்
நோக்கம்
சுரமானியைப் பயன்படுத்தி, மாறா அதிர்வெண்ணிற்கு கொடுக்கப்பட்ட கம்பியின் அதிர்வடையும் பிரிவின் நீளத்திற்கும் இழுவிசைக்கும் இடையேயான தொடர்பினை அறிதல்.
தேவையான கருவிகள்
சுரமானி, அதிர்வெண் தெரிந்த ஆறு இசைக்கவைகள், மீட்டர் அளவுகோல்,இரப்பர் அட்டை, சிறுகாகிதத் துண்டுகள், எடைத்தாங்கி மற்றும் 0.5 kg எடைக்கற்கள், கூரிய விளிம்புக்கட்டைகள்.
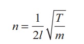
வாய்ப்பாடு
அதிர்வடையும் கம்பியின் அடிப்படைச்சுரத்திற்கான அதிர்வெண்

மாறா நிறைகொண்ட கொடுக்கப்பட்ட கம்பிக்கு n- என்பது மாறிலி எனில்

இங்கு
n → அதிர்வடையும் கம்பியின் அடிப்படைச் சுரத்திற்கான அதிர்வெண் (Hz)
m → கம்பியின் ஓரலகு நீளத்திற்கான நிறை (kg m-1)
l → இரு விளிம்புகளுக்கு இடையேயான நீளம் (m)
T → கம்பியின் இழுவிசை (நிறைத்தாங்கியின் நிறையும் சேர்ந்தது) = Mg (N)
M → தொங்கவிடப்பட்ட நிறை (நிறைத்தாங்கியின் நிறையும் சேர்ந்தது) (kg)
விளக்கப்படம்

செய்முறை
• சுரமானியை மேஜையின் மீது வைத்து அதனுடன் இணைக்கப்பட்ட கப்பியின் பள்ளம் தூய்மையாகவும் குறைந்த உராய்விலும் இருப்பதை உறுதி செய்தல் வேண்டும்.
• தெரிந்த அதிர்வெண் கொண்ட இசைக்கவையை இரப்பர் அட்டையால் தட்டி அதிர்வுறச் செய்யவேண்டும். சுரமானி கம்பியை அதிர்வுறச் செய்து, இரு அதிர்வு ஒலிகளையும் ஒப்பிடவேண்டும்.
• ஒலியானது ஒரே அளவாக கேட்கும் வரை விளிம்புக்கட்டை B-யை நகர்த்தி அதிர்வடையும் பிரிவின் நீளத்தை சரிசெய்யவேண்டும்.
• எடைதாங்கியில், ஆரம்ப நிறை 1 kg ஐ ஏற்றவேண்டும்.
• இறுதியாக சரிசெய்தபிறகு AB-கம்பியின் மையத்தில் சிறிய காகிதத்துண்டு (R) ஐ வைக்க வேண்டும்.
• இப்பொழுது இசைக்கவையை அதிர்வுறச் செய்து அதன் அடிப்பகுதியை விளிம்புக்கட்டை A-யின் மீது வைத்து, விளிம்புக்கட்டை B-யைச் சரிசெய்து காகிதத்துண்டு ஒத்ததிர்வினால் கிளர்ந்துறச் செய்யவேண்டும்
• விளிம்புக்கட்டை A,B- க்கிடையேயான நீளத்தை அளவிடவேண்டும். இந்த அளவானது இசைக்கவையின் அதிர்வெண்ணிற்கான அடிப்படைச் சுரமாகும்.
• நிறைத்தாங்கியில் 0.5 kg எடைகளை படிப்படியாக உயர்த்தி, அதே இசைக்கவைக்கு ஒவ்வொரு நிறைக்கும் ஒத்ததிர்வு நீளம் கணக்கிடப்படுகிறது.
• உற்று நோக்கிய அளவீடுகள் பதியப்பட்டு அட்டவணைப்படுத்தப்படுகிறது.
மாதிரி வரைபடம்

காட்சிப்பதிவுகள்
இசைக்கவையின் அதிர்வெண் = .........................Hz

கணக்கீடு
ஒவ்வொரு நிகழ்விற்கான இழுவிசைக்கும் √T/l மதிப்பு கணக்கிடப்படவேண்டும்.
முடிவு
• கொடுக்கப்பட்ட அதிர்வெண்ணின் அதிர்வுகளுக்கு ஒத்ததிர்வின் நீளம் இழுவிசையின் இருமடிமூலத்திற்கேற்ப மாற்றமடைகிறது.
• கண்டறியப்பட்ட √T/l ஓர் மாறிலி