இயற்பியல் ஆய்வக நடைமுறை பரிசோதனை - தனிஊசலைப் பயன்படுத்தி புவிஈர்ப்பு முடுக்கம் காணல் | 11th Physics : Practical Experiment
தனிஊசலைப் பயன்படுத்தி புவிஈர்ப்பு முடுக்கம் காணல்
நோக்கம்
தனிஊசலைப் பயன்படுத்தி புவிஈர்ப்பு முடுக்கத்தைக் கணக்கிடுதல்.
தேவையான கருவி
தாங்கி, ஊசல்குண்டு, நூல், அளவுகோல், நிறுத்துக் கடிகாரம்
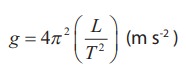
வாய்ப்பாடு
புவிஈர்ப்பு முடுக்கம்

இங்கு
T → என்பது தனி ஊசலின் அலைவுநேரம் (s)
g → என்பது புவிஈர்ப்பு முடுக்கம் (m S-2 )
L → தனி ஊசலின் நீளம் (m)
விளக்கப்படம்

செய்முறை
• ஒரு சிறிய பித்தளைக்குண்டினை நூலில் இணைக்கவும்.
• இந்த நூலானது தாங்கியுடன் பொருத்தப்படுகிறது.
• நூலின் மேற்பகுதியிருந்து ஊசல்குண்டின் மையப்பகுதிவரை உள்ள நீளம் அளவிடப்படுகிறது. கீழ்க்காணும் அட்டவணையில் ஊசலின் நீளமானது பதிவிடப்படுகிறது.
• நிறுத்துக் கடிகாரத்தைக் கொண்டு 10 அலைவுகளுக்கான நேரம் (t) குறிக்கப்படுகிறது.
• அலைவுநேரம் T = t/10 எனும் சமன்பாட்டிலிருந்து கணக்கிடப்படுகிறது
• ஊசலின் வெவ்வேறு நீளங்களுக்கு (L) சோதனை மீண்டும் செய்யப்படுகிறது. கொடுக்கப்பட்ட வாய்ப்பாட்டினைப் பயன்படுத்தி புவிஈர்ப்பு முடுக்கம் (g) கண்டறியப்படுகிறது.
காட்சிப்பதிவுகள்
புவிஈர்ப்பு முடுக்கம் 'g' ஐக் கணக்கிடல்

மாதிரி வரைபடம்

முடிவு
தனிஊசலைப் பயன்படுத்தி கண்டறியப்பட்ட புவிஈர்ப்பு முடுக்கத்தின் (g) மதிப்பு
i) கணக்கீட்டிலிருந்து = . . . . . . . . . m s-2
ii) வரைபடத்திலிருந்து = . . . . . . . . . m s-2