வரையறை, தேற்றம், நிரூபணம், எடுத்துக்காட்டு கணக்குகள் - கொடுக்கப்பட்ட இரண்டு புள்ளிகள் வழியாகச் செல்லும் நேர்க்கோட்டின் சமன்பாடு (Straight Line passing through two given points) | 12th Maths : UNIT 6 : Applications of Vector Algebra
(a) துணையலகு வெக்டர் சமன்பாடு (Parametric form of vector equation)
தேற்றம் 6.12
கொடுக்கப்பட்ட நிலைவெக்டர்கள்
கொண்ட இரு புள்ளிகள் வழியாகச் செல்லும் நேர்க்கோட்டின் துணையலகு வடிவ வெக்டர் சமன்பாடு 
(b) துணையலகு அல்லாத வெக்டர் சமன்பாடு (Non−parametric form of vector equation)
மேற்கண்ட சமன்பாட்டினை துணை அல்லாத வடிவ வெக்டர் சமன்பாடாக
என எழுதலாம்.
(c) கார்டீசியன் சமன்பாடு (Cartesian form of equation)
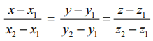
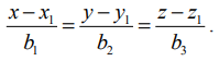
A, B என்ற புள்ளிகளின் அச்சுத்தூரங்கள் முறையே (x1, y1, z1) மற்றும் (x2, y2, z2 ) என்க. P−ன் அச்சுத்தூரங்கள் (x,y,z) என்க. பின்னர்
மற்றும்
எனத் தேற்றம் 6.12−ல் உள்ள சமன்பாட்டில் பிரதியிட்டு,
ஆகியவற்றின் கெழுக்களை ஒப்பிட, x−x1 = t(x2−x1), y−y1 = t(y2,−y1), z−z1 = t(z2−z1) எனப் பெறுகிறோம். ஆகவே, (x1, y1, z1) மற்றும் (x2, y2, z2) என்ற இரு புள்ளிகள் வழியாகச் செல்லும் நேர்க்கோட்டின் கார்டீசியன் சமன்பாடு
எனக் கிடைக்கிறது.

இச்சமன்பாட்டிலிருந்து (x1, y1, z1) மற்றும் (x2, y2, z2) என்ற புள்ளிகள் வழியாகச் வழியாகச் செல்லும் நேர்க்கோட்டின் திசை விகிதங்கள் x2 – x1, y2 – y1, z2 − z1 ஆகும் எனக் காண்கிறோம். மேலும் இவற்றுக்கு விகிதச் சமமமாக உள்ள ஏதேனும் மூன்று எண்கள், குறிப்பாக x1 – x2, y1 – y2, z1 – z2 என்பவை இக்கோட்டின் திசை விகிதங்களாக அமைவதைக் காணலாம்.
எடுத்துக்காட்டு 6.24
ஒரு நேர்க்கோடு (1,2,−3) என்ற புள்ளி வழியாகச் செல்கிறது மற்றும் என்ற வெக்டருக்கு இணையாக உள்ளது எனில், அக்கோட்டின் (i) துணை அலகு வெக்டர் சமன்பாடு (ii) துணை அல்லாத வெக்டர் சமன்பாடு (iii) கார்டீசியன் சமன்பாடுகளைக் காண்க.
தீர்வு
தேவையான கோடு (1,2,−3) என்ற புள்ளி வழியாகச் செல்கிறது. ஆகவே, இப்புள்ளியின் நிலை வெக்டர்
ஆகும்.
என்க. பின்னர்
(i) தேவையான கோட்டின் துணை அலகு வெக்டர் சமன்பாடு
இங்கு t ∈ ℝ ஆகும். எனவே, 
(ii) தேவையான கோட்டின் துணை அலகு அல்லாத வெக்டர் சமன்பாடு
ஆகும். எனவே, 
(iii) தேவையான கோட்டின் கார்டீசியன் சமன்பாடுகள்
இங்கு, (x1 y1 z1) = (1,2,−3) மற்றும் தேவையான கோட்டின் திசை விகிதங்கள் 4,5,−7 என்பவற்றுக்கு விகிதச் சமமானவையாகும். எனவே, தேவையான நேர்க்கோட்டின் கார்டீசியன் சமன்பாடுகள் 
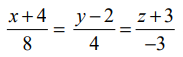
எடுத்துக்காட்டு 6.25
ஒரு நேர்க்கோட்டின் துணையலகு வெக்டர் சமன்பாடு
எனில், அக்கோட்டின் (i) திசைக்கொசைன்கள் (ii) துணையலகு அல்லாத வெக்டர் சமன்பாடு (iii) கார்டீசியன் சமன்பாடுகள் ஆகியவற்றைக் காண்க.
தீர்வு
கொடுக்கப்பட்ட வெக்டர் சமன்பாட்டையும்
என்ற கோட்டின் சமன்பாட்டையும் ஒப்பிட நமக்குக் கிடைப்பது
எனவே,
(i)
எனில், கோட்டின் திசை விகிதங்கள் b1, b2, b3 ஆகும். எனவே, கொடுக்கப்பட்ட கோட்டின் திசை விகிதங்கள் 2,−1,3 என்பவற்றுக்கு விகிதச் சமமானவையாகும். ஆகவே, கொடுக்கப்பட்ட கோட்டின் திசைக் கொசைன்கள்
ஆகும்.
(ii) கோட்டின் துணை அலகு அல்லாத வடிவ வெக்டர் சமன்பாடு
எனவே, 
(iii) இங்கு (x1, y1, z1) = (3,−2,6) மற்றும் கோட்டின் திசை விகிதங்கள் 2,−1,3 என்பவற்றுக்கு விகிதச் சமமானவை.
எனவே, கோட்டின் கார்டீசியன் சமன்பாடுகள்
ஆகும்.
எடுத்துக்காட்டு 6.26
(–4,2,−3) என்ற புள்ளி வழிச் செல்வதும்
என்ற கோட்டிற்கு இணையானதுமான கோட்டின் துணையலகு வடிவ வெக்டர் சமன்பாடு மற்றும் கார்டீசியன் சமன்பாடுகளைக் காண்க.
தீர்வு
கொடுக்கப்பட்ட சமன்பாடுகளை
உடன் ஒப்பிடக் கிடைப்பது,
இதிலிருந்து
ஆனது
என்ற வெக்டருக்கு இணையானது எனத் தெளிவாகக் காணலாம்.
எனவே, தேவையான நேர்க்கோடு (–4,2,−3) என்ற புள்ளி வழிச் செல்வதுடன்
என்ற வெக்டருக்கு இணையாகவும் உள்ளது. ஆதலால், தேவையான கோட்டின் துணையலகு வெக்டர் சமன்பாடு

மேலும், தேவையான கோட்டின் கார்டீசியன் சமன்பாடுகள்
ஆகும்.
எடுத்துக்காட்டு 6.27
(−5,7,−4) மற்றும் (13,–5,2) என்ற புள்ளிகள் வழியாகச் செல்லும் நேர்க்கோட்டின் துணையலகு வெக்டர் சமன்பாடு மற்றும் கார்டீசியன் சமன்பாடுகளைக் காண்க. மேலும், இந்த நேர்க்கோடு xy−தளத்தை வெட்டும் புள்ளியைக் காண்க.
தீர்வு
தேவையான நேர்க்கோடு (−5,7,−4) மற்றும் (13,–5,2) என்ற புள்ளிகள் வழியாகச் செல்கிறது. எனவே, இப்புள்ளிகளை இணைக்கும் கோட்டின் திசை விகிதங்கள் 18,−12,6 ஆகும். அதாவது 3,−2,1 ஆகும்.
ஆதலால், தேவையான நேர்க்கோடு
என்ற வெக்டருக்கு இணையாக இருக்கும். எனவே,
• தேவையான நேர்க்கோட்டின் துணையலகு வடிவ வெக்டர் சமன்பாடு
இங்கு s, t ∈ ℝ ஆகும்.
• தேவையான கோட்டின் கார்டீசியன் சமன்பாடுகள்
ஆகும்.
• இந் நேர்க்கோட்டில் உள்ள ஏதேனும் ஒரு புள்ளியின் அமைப்பு (3t −5,− 2t+ 7, t−4) அல்லது (3s + 13, − 2s − 5, s + 2)
நேர்க்கோடு xy−தளத்தை சந்திப்பதால், வெட்டும் புள்ளியின் z−அச்சுத் தொலைவு பூச்சியமாகும். எனவே, t − 4 = 0, அதாவது, t = 4 ஆகும். ஆகையால், நேர்க்கோடு xy−தளத்தை வெட்டும் புள்ளி (7,−1,0) ஆகும்.
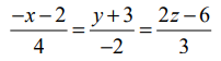
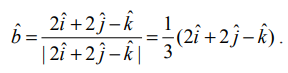
எடுத்துக்காட்டு 6.28
என்ற நேர்க்கோடு ஆய அச்சுகளுடன் ஏற்படுத்தும் கோணங்களைக் காண்க.
தீர்வு
கொடுக்கப்பட்ட நேர்க்கோட்டுக்கு இணையாக உள்ள ஓரலகு வெக்டர்
என்க. பின்னர்,
ஆகவே,
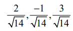
−ன் திசைக் கொசைன்களின் வரையறைப்படி, நாம் பெறுவது

இங்கு α, β, γ என்பன முறையே மிகை x−அச்சு, மிகை y−அச்சு மற்றும் மிகை z−அச்சுக்களுடன்
ஏற்படுத்தும் கோணங்கள் ஆகும். கொடுக்கப்பட்ட நேர்க்கோடு ஆய அச்சுகளுடன் ஏற்படுத்தும் கோணங்களும்,
முறையே ஆய அச்சுகளுடன் ஏற்படுத்தும் கோணங்களும் சமம் என்பதால்
எனப் பெறுகிறோம்.