புள்ளியியல் நுட்பங்கள் - மைய நிலைப்போக்கு அளவைகள் (Statistical Techniques - Measures of Central tendency)
ஒட்டு மொத்த தரவின் பண்புகளை ஒரே ஒரு மதிப்பில் விவரிப்பது புள்ளியியல் பகுப்பாய்வின் முக்கியமான நோக்கங்களில் ஒன்றாகும். பொதுவாக மைய நிலைப்போக்கு அளவைகளை "சராசரி" என்கிறோம். எடுத்துக்காட்டாக, ஒரு கல்லூரியின் 5000 மாணவர்களின் உயரங்களை சேகரித்தால், 5000 புள்ளி விவரங்கள் கிடைக்கும். அனைத்து தரவுகளையும் ஒரே நேரத்தில் நம்மால் மனதில் பதிவு செய்ய இயலாது. எனவே, நமக்கு ஒட்டு மொத்த தரவை ஒரே மதிப்பில் குறிக்கும் ஒரு எண் தேவை. அந்த ஒற்றை மதிப்பை சராசரி என்கிறோம். சராசரியானது மொத்த தரவை குறிப்பதால், அவற்றின் மதிப்பு அதிகபட்ச மதிப்பு மற்றும் குறைந்தபட்ச மதிப்பிற்கும் இடையில் காணப்படும். இந்த காரணத்தினால் தான் சராசரியை மையப்போக்கு அளவைகள் என்கிறோம்.

கொடுக்கப்பட்டுள்ள மதிப்புகளின் கூட்டுத் தொகையை மொத்த மதிப்புகளின் எண்ணிக்கையால் வகுத்தால் கிடைக்கும் மதிப்பே சராசரி. இதை கூட்டு சராசரி எனவும் அழைக்கலாம்.

கடலூர் மாவட்டத்தின் மாதாந்திர சராசரி வெப்பநிலை கீழே கொடுக்கப்பட்டுள்ளன. அவற்றின் வருடாந்திர வெப்பநிலையைக் காண்க.



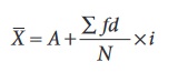
A = அனுமான சராசரி (ஏதேனும் ஒரு மதிப்பு)
f = நிகழ்வெண்
i = பிரிவு இடைவெளியின் அகலம்,
x = பிரிவு இடைவெளியின் மையப்புள்ளி
d = அனுமான சராசரியிலிருந்து விலக்கம்
N =நிகழ்வெண்களின் மொத்த மதிப்பு
d = ( x - A / i )
கீழே கொடுக்கப்பட்டுள்ள தோட்டத்தில் உள்ள செடிகளின் உயரம் குறித்த தரவுகளுக்கு சராசரியை கணக்கிடுக.



இறங்கு வரிசையிலோ அல்லது ஏறுவரிசையிலோ ஒழுங்கமைக்கப்பட்ட வரிசையின் மைய மதிப்பே இடைநிலை எனப்படுகிறது. இது கொடுக்கப்பட்ட புள்ளி விவரத் தொகுதியை இரண்டு சம்பாகங்களாகப் பிரிக்கிறது.
சென்னை மாவட்டத்தின் மாதாந்திர குறைந்தபட்ச வெப்பநிலை கீழே கொடுக்கப்பட்டுள்ளன. அவற்றின் இடைநிலையைக் காண்க.

சூத்திரம்
இடைநிலை = ( N+1 / 2 ) வது உறுப்பின் மதிப்பு
இடைநிலை = (12+1 / 2 ) வது உறுப்பின் மதிப்பு
இடைநிலை = (13 / 2) வது உறுப்பின் மதிப்பு
இடைநிலை =6.5 வது உறுப்பின் மதிப்பு
இடைநிலை = ( 6 வது உறுப்பின் மதிப்பு + 7 வது உறுப்பின் மதிப்பு / 2 ) இடைநிலை = - 24.6+25.6 / 2
விடை : இடைநிலை = 25.1

N = 371, ( N / 2 ) = ( 371 / 2 ) = 185.5
எனவே இடைநிலை பிரிவு இடைவெளி = 20-25

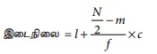
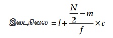
| = இடைநிலை பிரிவின் கீழ் எல்லை மதிப்பு
N = மொத்த நிகழ்வெண்கள்
f = இடைநிலைப் பிரிவின் நிகழ்வெண்
m = இடைநிலைப் பிரிவுக்கு முந்தைய குவிவு நிகழ்வெண்
c = இடைநிலைப் பிரிவின் பிரிவு இடைவெளி

I = 20, f =73.2, m = 183.3 c = 5
இடைநிலை = 20 + (185.5 – 183.3 / 73.2) x 5
இடைநிலை = 20 + (2.2 / 73.2) x 5
இடைநிலை = 20 + (0.03 x 5 )
இடைநிலை = 20 + 0.15
விடை : இடைநிலை = 20.15
நிகழ்வெண் பரவலில் மிகப்பெரிய நிகழ்வெண்களை பெற்றுள்ள உறுப்பின் மதிப்பு முகடு எனப்படும்.
கீழ்க்காணும் தரவிற்கு முகடு காண்க.

தீர்வு
கொடுக்கப்பட்டுள்ள தரவில் எண் 25 அதிகபட்சமாக மூன்று முறை வந்துள்ளது. எனவே முகடு = 25.
விடை : முகடு = 25.

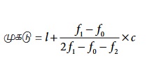
அதிகபட்ச நிகழ்வெண் = 15 எனவே, முகடு பிரிவு இடைவெளி 50 - 60

அதிகபட்ச நிகழ்வெண் கொண்ட பிரிவே முகடு பிரிவாகும்.
f1, = முகட்டு குழுவிலுள்ள நிகழ்வெண்
fo, = முகடு பிரிவுக்கு முந்தைய நிகழ்வெண்
f2, = முகடு பிரிவுக்கு பிந்தைய நிகழ்வெண்
c = பிரிவு எல்லையின் வித்தியாசம்
| = முகடு பிரிவிலுள்ள கீழ் எல்லை மதிப்பு
I = 50, fo = 12, f1 , = 15, f2 , = 12

முகடு = 50 + (15-12 / 2 x 15 – 12 -12 ) x 10
முகடு = 50 + ( 3 / 30 - 24 ) x 10
முகடு = 50 + ( 30 / 6 )
முகடு = 50 + 5
விடை : முகடு = 55