வாயுக்களின் இயக்கவியற் கொள்கை | இயற்பியல் - சிறு வினாக்கள் மற்றும் விடைகள் | 11th Physics : UNIT 9 : Kinetic Theory of Gases
வாயுக்களின் இயக்கவியற் கொள்கை (இயற்பியல்)
சிறு வினாக்கள்
1. அழுத்தத்தின் நுட்பமான தோற்றம் பற்றி விளக்குக?
• கொள்கலனில் அடைத்து வைக்கப்பட்டுள்ள வாயு மூலக்கூறுகள் கொள்கலனின் சுவரின் மீது உந்தத்தினைக் கொடுப்பதால் அச்சுவரின் மீது அழுத்தம் ஏற்படுகிறது.
• அழுத்தம் P = 1/3 nmv2
(n - எண் அடர்த்தி, m - மூலக்கூறின் நிறை, v - திசைவேகம்)
2. வெப்பநிலையின் நுட்பமான தோற்றம் பற்றி விளக்குக?
• வாயு மூலக்கூறு ஒன்றின் வெப்ப நிலையை தீர்மானிப்பது, அவ்வாயுவின் இயக்க ஆற்றல் ஆகும்.
• 
3. நிலவிற்கு ஏன்வளிமண்டலம் இல்லை?
• நிலவின் குறைந்த ஈர்ப்பு விசையின் காரணமாக, நிலவுப்பரப்பில் உள்ள வாயுக்களின் சராசரி இருமடி மூல வேகமானது, அதன் விடுபடு வேகத்தை விட அதிகமாக உள்ளது.
• இதன் காரணமாக நிலவுப்பரப்பில் உள்ள அனைத்து வாயுக்களும் நிலவிலிருந்து வெளியேறி விடுகின்றன.
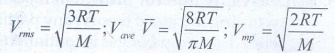
4. வாயு மூலக்கூறு ஒன்றின் சராசரி இருமடி மூல வேகம் (Vrms), சராசரி வேகம் ppppppp மற்றும் மிகவும் சாத்தியமான வேகம் (Vmp). இவற்றுக்கான கணிதச் சமன்பாடுகளை எழுதுக.
• 
• விகித அடிப்படையில் = 1.732 :1.6 :1.414
5. சராசரி இயக்க ஆற்றல் மற்றும் அழுத்தத்திற்கும் இடையேயான தொடர்புயாது?
• வாயுவின் அக ஆற்றல் விதிப்படி,
U = 3/2 NkT (or) U = 3/2 PV
ஏனெனில் PV = NKT
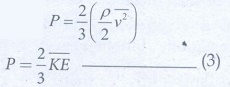
P = 2/3 U/V = 2/3 u …………(1)
• வாயுவின் அழுத்தமானது ஓரலகு பருமனுள்ள வாயுவின் அகஆற்றலின் (U/V) மூன்றில் இரண்டு பங்கிற்குச் சமமாகும். அல்லது அக ஆற்றல் அடர்த்தியின் மூன்றில் இரண்டு பங்கிற்குச் சமமாகும். (u = U/V)
• சராசரி இயக்க ஆற்றல் அடர்த்தியின் அடிப்படையில் வாயுவின் அழுத்தம்,

ρ = nm = நிறை அடர்த்தி (n என்பது எண்ணடர்த்தி
• வலது பக்கமுள்ள பதத்தை மட்டும் 2 ஆல் பெருக்கி, வகுக்கும்போது,

• அழுத்தம் என்பது ஓரலகு பருமனுள்ள வாயுவின் சராசரி இயக்க ஆற்றலின் மூன்றில் இரண்டு பங்கிற்குச் சமம்.
6. சுதந்திர இயக்கக்கூறுகள் வரையறு.
முப்பரிமாண வெளியிலுள்ள வெப்ப இயக்கவியல் அமைப்பு ஒன்றின் நிலை மற்றும் அமைப்பினை விவரிக்கத் தேவைப்படும் குறைந்தபட்ச சார்பற்ற ஆய அச்சுக்கூறுகளின் எண்ணிக்கையே சுதந்திர இயக்கக்கூறுகள் என அழைக்கப்படுகிறது.
7. ஆற்றல் சமபங்கீட்டு விதியைக் கூறுக.
• இயக்கவியல் கொள்கையின்படி, T என்ற கெல்வின் வெப்பநிலையில் வெப்பச்சமநிலையிலுள்ள அமைப்பு ஒன்றின் சராசரி இயக்க ஆற்றல், அவ்வமைப்பின் அனைத்து சுதந்திர இயக்கக்கூறுகளுக்கும் சமமாக பகிர்ந்தளிக்கப்படும்.
8. சராசரி மோதலிடைத் தூரத்திற்கான கோவையை எழுதி அதனை வரையறு.
• 
• இரண்டு அடுத்தடுத்த மோதல்களுக்கு இடையே மூலக்கூறு கடக்கும் சராசரி மோதலிடைத்தூரம் என அழைக்கப்படுகிறது.
9. இயக்கவியற் கொள்கையின் அடிப்படையில் சார்லஸ்விதியினை வருவி.
• ஒரு குறிப்பிட்ட அழுத்தத்தில், வாயு ஒன்றின் பருமன் அதன் அக ஆற்றலுக்கு நேர்த்தகவில் இருக்கும். (அல்லது) வாயுவின் சராசரி இயக்க ஆற்றலுக்கு நேர்த்தகவில் இருக்கும். மேலும் வாயுவின் சராசரி இயக்க ஆற்றல் அதன் கெல்வின் வெப்பநிலைக்கு நேர்த்தகவில் இருக்கும்.
• இதிலிருந்து, V α T (அல்லது) V/T = மாறிலி.
10. இயக்கவியற் கொள்கையின் அடிப்படையில் பாயில் விதியினை வருவி.
• PV = 2/3 U
• நல்லியல்பு வாயு ஒன்றின் அக ஆற்றல், அதன் ஒவ்வொரு மூலக்கூறின் சராசரி இயக்க ஆற்றலின் (E), N மடங்கிற்குச் சமமாகும். U = NE
• PV = 2/3 NE (PV = மாறிலி)
• “மாறா வெப்பநிலையில் கொடுக்கப்பட்ட வாயு ஒன்றின் அழுத்தம் அதன் பருமனுக்கு எதிர்த்தகவில் இருக்கும்."
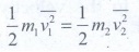
11. இயக்கவியற் கொள்கையின் அடிப்படையில் அவகாட்ரோ விதியினை வருவி.
1. மாறா வெப்பநிலை மற்றும் அழுத்தத்தில் சம பருமனுள்ள அனைத்து வாயுக்களும் ஒரே எண்ணிக்கையில் வாயு மூலக்கூறுகளைப் பெற்றிருக்கும்.
• 
2. இவ்விரண்டு வாயுக்களிலும் உள்ள வாயு மூலக்கூறு ஒன்றின சராசரி இயக்க ஆற்றல், ஒரே வெப்ப நிலையில் சமமதிப்பைப் பெற்றிருக்கும்.
………….(2)
இதுவே அவகாட்ரோ விதியாகும். சில நேரங்களில் அவகாட்ரோவின் எடுகோல் (அ) அவகாட்ரோவின் தத்துவம் எனவும் இது அழைக்கப்படும்.
12. சராசரி மோதலிடைத்தூரத்தை பாதிக்கும் காரணிகள் யாவை?
• வெப்பநிலை உயரும்போது, சராசரி மோதலிடைத் தூரமும் அதிகரிக்கும். ஏனெனில் வெப்பநிலை உயரும்போது, ஒவ்வொரு மூலக்கூறின் சராசரி வேகமும் அதிகரிக்கும். இதன் காரணமாகத்தான் குளிர்ந்த நிலையிலுள்ள உணவுப்பொருளின் வாசனையை விட, சூடாக சமைக்கப்பட்ட உணவுப்பொருளின் வாசனை நீண்ட தொலைவிற்கு வீசுகிறது.
• சராசரி மோதலிடைத்தூரம் வாயுவின் அழுத்தம் குறையும் போதும் மற்றும் வாயு மூலக்கூறின் விட்டம் குறையும் போதும் அதிகரிக்கும்.
13. பிரௌனியன் இயக்கத்திற்கான காரணம் யாது?
• இயக்கவியல் கொள்கையின்படி, திரவம் (அல்லது) வாயுவில் மிதந்து கொண்டிருக்கும் எந்த ஒரு துகளும் அனைத்து திசைகளிலிருந்தும் தொடர்ந்து தாக்கப்படும்.
• இதனால் துகள்கள் ஒழுங்கற்ற மற்றும் குறுக்கு நெடுக்கான இயக்கத்தை மேற்கொள்ளும்.