அணிக்கோவைக்கும் அதன் இணைக்காரணி அணிக்கோவைக்கும் உள்ள தொடர்பு (Relation between a determinant and its cofactor determinant)

a1, b1, c1 ... என்பவற்றின் ஒத்த இணைக்காரணிகள் முறையே A1, B1, C1 .... என்க. எனவே, இணைக்காரணிகளின் அணிக்கோவை
ஆகும்.
| A | = a1A1 + b1B1 + c1C1
இதேபோன்று, |A|= a2A2 + b2B2 + c2C2 மற்றும் |A| = a3A3 + b3B3 + c3C3
அதாவது, ஓர் அணிக்கோவையில் ஏதேனும் ஒரு நிரையின் (அல்லது நிரலின்) உறுப்புகள் மற்றும் அவற்றின் ஒத்த இணைக்காரணிகள் ஆகியவற்றின் பெருக்கற்பலனின் கூடுதலானது அந்த அணிக்கோவையின் மதிப்பிற்குச் சமமாவதைக் கவனிக்கவும்.
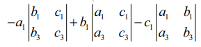
மேலும், a1A2 + b1B2 + c1C2 = 
= a1(b1c3 – b3c1) + b1(a1c3 − a3c1) − c1(a1b3 – a3b1)
= a1b1c3 + a1b3c1 + a1b1c3 − a3b1c1 – a1b3c1 + a3b1c1 = 0
இதேபோன்று நாம் பெறுவது
a1A3 + b1B3 + c1C3 ; a1A1 + b2B1 + c2C1 = 0 ;
a2A3 + b2B3 + c2C3 = 0;
குறிப்பு 7.12
ஓர் அணிக்கோவையில் ஏதேனும் ஒரு நிரையின் (அல்லது நிரலின்) உறுப்புகள் மற்றும் வேறேதேனும் நிரை (அல்லது நிரல்) உறுப்புகளின் ஒத்த இணைக்காரணிகள் ஆகியவற்றின் பெருக்கற்பலனின் கூடுதலானது பூஜ்ஜியமாகும்.
எடுத்துக்காட்டு 7.31
