அலைவுகள் (இயற்பியல்)
சரியான விடையைத் தேர்ந்தெடுத்து எழுதுக
1. தனிசீரிசை இயக்கத்தில் ஒரு முழு அலைவிற்கான இடப்பெயர்ச்சிக்கு எதிரான முடுக்கமானது ஏற்படுத்துவது
a) நீள்வட்டம்
b) வட்டம்
c) பரவளையம்
d) நேர்கோடு
விடை : d) நேர்கோடு
2. சீரிசை இயக்கத்தை மேற்கொள்ளும் துகள், A மற்றும் B என்ற புள்ளிகளை ஒரே திசை வேகத்துடன் கடக்கிறது. A யிலிருந்து B க்கு செல்ல எடுத்துக்கொள்ளும் நேரம் 3 S - மற்றும் Bயிலிருந்து Aக்கு செல்ல மீண்டும் 3S எடுத்துக் கொள்ளுகிறது எனில் அதன் அலைவுநேரம்.
a) 15 s
b) 6 s
c) 12 s
d) 9 s
விடை : c) 12s
தீர்வு :

3. புவியின் மேற்பரப்பில் உள்ள வினாடி ஊசலின் நீளம் 0.9m புவியைப்போல n மடங்கு முடுக்கத்தைப் பெற்றுள்ள X என்ற கோளின் மேற்பரப்பில் உள்ளபோது அதே ஊசலின் நீளம்
(a) 0.9n
(b) 0.9/n m
(c) 0.9n2m
(d) 0.9/n2
விடை : (a) 0.9 n
தீர்வு :
முடுக்கம் n மடங்கு அதிகரித்தால் நீளம் 0.9m × n = 0.9n
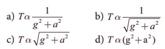
4. a முடுக்கத்துடன், கிடைத்தளத்தில் இயங்கிக் கொண்டிருக்கும் பள்ளி வாகனத்தின் மேற்கூரையில் கட்டி தொடங்க விடப்பட்ட தனி ஊசல் ஒன்றின் அலைவு நேரம்

விடை : b) 1 / √ [g2 + a2]
தீர்வு :

T ∝ 1 / √ [g2 + a2]
gef2 = a2 + g2;
gef = √[a2 + g2]
5. 1:2 என்ற விகிதத்தில் நிறைகொண்ட A மற்றும் B என்ற இருபொருள்கள், முறையே kA மற்றும் kB சுருள்மாறிலி கொண்ட நிறையற்ற இரு சுருள்வில்கள் மூலம் தனித்தனியே தொங்கவிடப்பட்டுள்ளது. இரு பொருள்களும் செங்குத்தாக அலைவுறும் போது அவற்றின் பெருமத் திசைவேகங்கள் 1:2 என்ற விகிதத்தில் உள்ளபோது A யின் வீச்சனாது Bயின் வீச்சைப் போல் ...... மடங்காகும்.

விடை : b) √[kB / 8kA]
தீர்வு :
A = √[2E / K]. E = 1/2 mv2
AA / AB = √[ (mAvA) / kA ] × [ KB / (mBvB2 )]
AA / AB = {√[mv2 ] / kA } × { KB / 2m(4v2) }
AA / AB = KB / gkA
6. m நிறையுடன் இணைக்கப்பட்ட சுருள் வில்லானது செங்குத்தாக அலைவுறும்போது அதன் அலைவுநேரம் T ஆகும். அச்சுருள் வில்லானது இரு சமபாகங்களாக வெட்டப் பட்டு அவற்றுள் ஒன்றுடன் அதே நிறை தொங்க விடப்பட்டுள்ளது. அதன் செங்குத்து அலைவின் அலைவுநேரம்
a) T’=√2T
b) T’=T/√2
c) T’=√2√T
d) T’=√2/√T
விடை : b) T’ = T/√2
தீர்வு :
T = 2π √(l / g)
T´ = 2π√( 1/2 × l/g )
T´ = T / √2
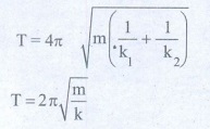
7. m நிறை கொண்ட பொருளானது புறக்கணித்தக்க நிறை கொண்ட கப்பியின் வழியாக K1, K2 சுருள் மாறிலி கொண்ட நல்லியல்பு சுருள்கள் மூலம் படத்தில் காட்டியுள்ளவாறு தொங்கவிடப்பட்டுள்ளது. அதன் செங்குத்து அலைவின் அலைவு நேரம்.

விடை : a) a) T = 4π√[m (1/k1 + 1/k2 )]
தீர்வு :

8. ஒரு தனி ஊசலின் அலைவுநேரம் T1 அது தொங்கவிடப்பட்டுள்ள புள்ளியானது y = Kt2 என்ற சமன்பாட்டின்படி செங்குத்தாக மேல் நோக்கி இயங்குகின்றது. இங்கு y என்பது கடந்த செங்குத்து தொலைவு மற்றும் K = 1ms-2 ,இதன் அலைவு நேரம் T2 எனில் T12/T22 (g=10ms-2) என்பது
(a) 5/6
(b) 11/10
(c) 6/5
(d) 5/6
விடை : c) 6 / 5
தீர்வு :
a = d2y / dt2 = 2k = 2(1) = 2ms-2
T1 = 2π√(l/g) = 2π√(l /10)
T2 = 2π√[l / (g+a)] = 2π√(l /12)
T12 / T22 = 12/ 10 = 6 / 5
9. k சுருள் மாறிலி கொண்ட நல்லியல்பு சுருள் வில்லானது ஓர் அறையொன்றின் மேற் கூரையில் பொருத்தப்பட்டு அதன் கீழ்முனை யில் M நிறை கொண்ட பொருளானது தொங்கவிடப்பட்டுள்ளது. சுருள்வில்லை நீட்சியுறாத நிலையில் பொருளை விடுவிக்கும் போது சுருள் வில்லின் பெரும நீட்சி.
(a) 4 Mg/k
(b) Mg/k
(c) 2 Mg/k
(d) Mg/2k
விடை : c) 2(Mg/k)
தீர்வு :
வேலை ஆற்றல் தேற்றத்திலிருந்து
Wg + Ws = 0 ⇒ mgx - (1/2) Kx2 = 0
x = 2Mg / K
10. தனி ஊசல் ஒன்று மிக அதிக உயரம் கொண்ட கட்டிடத்தில் தொங்கவிடப்பட்டுள்ள போது, சீரிசை அலை இயற்றியைப் போல தன்னிச்சையான முன்னும் பின்னும் இயக்கத்தை மேற்கொள்கிறது. சமநிலைப் புள்ளியிலிருந்து 4m தொலைவில், ஊசல் குண்டின் முடுக்கமானது 16 ms-2 எனில் அதன் அலைவுநேரம்
a) 2 s
b) 1 s
c) 2π s
d) π s
விடை : d) π s
தீர்வு :
a = −ω2y
ω = √[a / y] = √[16/4]
ω = 2 rad s −1
T = 2π / w = 2π / 2 = π s
11. ஒரு உள்ளீடற்ற கோளகம் நீரினால் நிரப்பப் பட்டுள்ளது இது ஒரு நீண்ட கயிற்றினால் தொங்கவிடப்பட்டுள்ளது. கோளத்தின் அடிப்பகுதியில் உள்ள ஒரு சிறு துளையினால் நீரானது வெளியேறும் நிலையில் கோளம் அலைவுறும் போது அதன் அலைவுநேரம்
a) ஆரம்பத்தில் அதிகரித்து பிறகு குறையும்
b) ஆரம்பத்தில் குறைந்து பிறகு அதிகரிக்கும்
C) தொடர்ந்து அதிகரிக்கும்
d) தொடர்ந்து குறையும்
விடை : a) ஆரம்பத்தில் அதிகரித்து பிறகு குறையும்
தீர்வு :
T = 2π / ω ;
ω = √(K/M)
T = 2π / √(K/M) = 2π √(M/K) ;
T ∝√M
12. அலையியற்றியின் தடையுறு விசை யானது திசைவேகத்திற்கு நேர்த்தகவில் உள்ளது எனில் தகவு மாறிலியின் அலகு
a) kg m s-1
b) kg m s-2
c) kg s-1
d) kg s
விடை : c) kg s-1
தீர்வு :
F α v
F = Kv
K = F/V ;
K = kgms-1 / ms-1
K = kg s-1
13. தடையுறு அலையியற்றியானது 100 அலைவுகளை முழுமைப்படுத்தும் பொழுது வீச்சானது அதன் ஆரம்ப வீச்சின் 1/3 மடங்காகக் குறைகின்றது. 200 அலைவுகளை முழுமைப்படுத்தும்போது அதன் வீச்சின் மதிப்பு என்ன?
a) 1/5
b) 2/3
c) 1/6
d) 1/9
விடை : d) 1 / 9
14. கீழ்க்கண்டவற்றுள் எந்த வகைக்கெழு சமன்பாடு தடையுறு அலையியற்றியை குறிக்கும்?

விடை : b) d2y/dt2 + γ dy/dt + y = 0
15. l நீளமுடைய தனிஊசல் ஒன்றின் நிலைம நிறை மற்றும் ஈர்ப்பியல் நிறை சமமற்றது எனில் அதன் அலைவுநேரம்

விடை : a) T = 2π √[ mil / mgg ]
T = 2π √(l / k) ;
l = m ;
m/k= l / g ;
k = mg / l
T = 2π √[mi / (mgg / l )];
T = 2π √[mil / mgg]
விடைகள்:
1) d 2) c 3) a 4) b
5) b 6) b 7) a 8) c
9) c 10) d 11) a 12) c
13) d 14) b 15) a