தீர்வு எடுத்துக்காட்டுடன் | வேதிவினை, வேகவியல் - மூலக்கூறு எண் | 12th Chemistry : UNIT 7 : Chemical Kinetics
மூலக்கூறு எண்
வினைவேகவியல் சோதனைகள் மூலம் ஒரு வேதி வினையின் வினைவேகத்தினைக் கண்டறிவதோடு மட்டுமல்லாமல், அவ்வினை எவ்வழிமுறையில் நடைபெற்றிருக்கக் கூடும் என்பதற்கான தகுந்த வினைவழி முறையினையும் தீர்மானிக்கலாம். ஒரு வினைவழிமுறையில் அடங்கியுள்ள ஒவ்வொரு தனித்த படிநிலையும் அடிப்படை வினைகள் என அழைக்கப்படுகின்றன.
ஒரு அடிப்படை வினையானது அதன் மூலக்கூறு எண்ணின் அடிப்படையில் அறியப்படுகிறது. ஒரு அடிப்படை படிநிலையில், வினையில் ஈடுபடும் வினைபடு பொருள்களின் மொத்த எண்ணிக்கை அப்படி நிலையின் மூலக்கூறு எண் என வரையறுக்கப்படுகிறது. நாம் பதினொன்றாம் வகுப்பில் பயின்ற மூவிணைய பியூட்டைல் புரோமைடின் நீராற்பகுப்பு வினையினை மீட்டறிவோம். அவ்வினையின்
வினைவேகத்தை தீர்மானிக்கும் படிநிலையில், மூவிணைய பியூட்டைல் புரோமைடு மட்டுமே பங்கு பெறுவதால் அவ்வினை ஒரு மூலக்கூறு கருக்கவர் பொருள் பதிலீட்டு வினை (SN1) என அழைக்கப்படுகிறது.
அடிப்படை வினைகளை நாம் மேலும் புரிந்து கொள்ளும் பொருட்டு 1-வினைவேகமாற்றி முன்னிலையில் H2O2 சிதைவடையும், மற்றுமொரு வினையினைக் கருதுவோம்.
2H2O2 (aq) → 2H2O(l) + O2 (g)
மேற்கண்டுள்ள வினையானது, H2O2 மற்றும் I இரண்டையும் பொருத்து முதல் வகை வினை என சோதனை மூலம் கண்டறியப்பட்டது. இதிலிருந்து H2O2 சிதைவடையும் வினையில் I இடம் பெறுகிறது என நாம் அறிய முடிகிறது. இதனடிப்படையில் பின்வரும் படிநிலைகளை உள்ளடக்கிய வினைவழி முறையினைப் பின்பற்றி இவ்வினை நிகழ்ந்துள்ளது எனலாம்.
படிநிலை 1
H2O2 (aq) + I- (aq) → H2O (l) + OI- (aq)
படி நிலை 2
H2O2 (aq) + OI- (aq) → H2O(l) + I- (aq) + O2 (g)
ஒட்டு மொத்த வினை
2H2O2 (aq) → 2H2O(l) + O2(g)
மேற்கண்டுள்ள இரு வினைகளும் அடிப்படை வினைகளாகும். படிநிலை (1) மற்றும் படிநிலை (2) ல் உள்ள வினைகளுக்கான சமன்பாட்டினை ஒன்று சேர்ப்பதன் மூலம் ஒட்டு மொத்த வினைக்கான சமன்பாட்டினைப் பெறலாம். படிநிலை (1) ல் H2O2 மற்றும் I- ஆகிய இரண்டு வினைபடு பொருட்களும் இடம் பெறுவதால் அப்படி நிலையே வினை வேகத்தினை தீர்மானிக்கும் படிநிலையாகும். மேலும், ஒட்டு மொத்த வினை, ஒரு இருமூலக்கூறு வினையாகும்.
வினைவகை மற்றும் மூலக்கூறு எண் ஆகியவற்றிற்கிடையேயான வேறுபாடுகள்

வினை வகை
1. சோதனை மூலம் கண்டறியப்பட்ட வேகவிதியில் இடம் பெற்றுள்ள செறிவு உறுப்புகளின் அடுக்குகளின் கூடுதல் வினைவகை எனப்படும்.
2. பூஜ்யமாகவோ, பின்னமாகவோ பிற முழு எண்களாகவோ இருக்கலாம்.
3. ஒட்டுமொத்த வினைக்கும் வினைவகை வழங்கப்படுகிறது.
மூலக்கூறு எண்
1. ஒரு அடிப்படை வினையில், இடம் பெறும் வினைபடு மூலக்கூறுகளின் மொத்த எண்ணிக்கை மூலக்கூறு எண் எனப்படும்
2. இது எப்போதும் முழு எண் மதிப்பினை மட்டுமே பெறும். பூஜ்யமாகவோ, பின்ன எண்ணாகவோ இருக்க முடியாது.
3. வினை வழிமுறையில் இடம் பெற்றுள்ள ஒவ்வொரு படிநிலைக்கும் மூலக்கூறு எண் வழங்கப்படுகிறது.
எடுத்துக்காட்டு 1:
நைட்ரிக் ஆக்ஸைடானது, ஆக்சிஜனேற்றம் அடைந்து – NO2 உருவாகும் வினையினைக் கருதுவோம்.
2NO(g) + O2(g) → 2NO2 (g)
(அ) NO, O2 , மற்றும் NO2 ஆகியனவற்றின் செறிவுகளில் ஏற்படும் மாறுபாடுகளின் அடிப்படையில் வினை வேகத்தினைக் குறிப்பிடுக.
(ஆ) ஒரு குறிப்பிட்ட நேரத்தில் [O2] ன் செறிவு 0.2 mol L-1S-1 என்ற அளவில் குறைகிறது எனில் அந்நேரத்தில், [NO,] ன் செறிவு எந்த வீதத்தில் அதிகரிக்கும்?
தீர்வு :

(அ) வினை வேகம் =-1/ 2 d[NO] / dt = -d[O2] / dt = 1/2 d[NO2]/dt
(ஆ) - d[O2] / dt = 1/2 d[NO2]/dt
d[NO2]/dt = 2x (-d[O2] / dt = 2 x0.2 mol L-1S-1
= 0.4 mol L-1S-1
தன் மதிப்பீடு 1
1). பின்வரும் வினைகளை அடிப்படை வினைகளாகக் கருத்திற்கொண்டு அவ்வினைகளுக்கான வினைவேகத்தினைக் குறிப்பிடும் சமன்பாடுகளை எழுதுக.
i) 3A + 5B2 → 4CD
i) X2 +Y2 → 2XY
2). N2O5(g) சிதைவடைந்து NO2(g) மற்றும் O2(g) ஆகியனவற்றைத் தரும் வினைகளைக் கருதுக. ஒரு குறிப்பிட்ட நிலையில் N2O5(g) ன் மறைதல் வேகம் 2.5x10-2mol dm-3s-1 எனில், NO2 மற்றும் O2 ஆகியனவற்றின் உருவாதல் வேகத்தின் மதிப்புகளைக் காண்க. வினையின் வினைவேகம் என்ன?
எடுத்துக்காட்டு 2
1. பின்வரும் வினைகளில், ஒவ்வொரு வினைபடு பொருள்களைப் பொருத்து வினைவேகங்களைக் குறிப்பிடுக. வினையின் ஒட்டுமொத்த வினைவகையைக் கண்டறிக.
(அ). 5Br- (aq) + BrO3- (aq) + 6H+ (aq) → 3Br2 (l) + 3H2O(l)
சோதனை மூலம் கண்டறியப்பட்ட வேகவிதி
வினைவேகம் = k [Br-] [ BrO3-] [H+] 2
(ஆ) CH3CHO(g ) →Δ→ CH4 (g) + CO(g) சோதனை மூலம் கண்டறியப்பட்ட வேகவிதி
வினைவேகம் = k [CH2CHO]3/2
தீர்வு:
அ) Br- ஐப் பொருத்து முதல் வகை மேலும் Bro, ஐப் பொருத்து இரண்டாம் வகை. எனவே, வினையின் ஒட்டுமொத்த வினைவகை 1 + 1 + 2 = 4
ஆ) அசிட்டால்டிஹைடைப் பொருத்த வரையில் வினைவகை 3/2 . ஒட்டு மொத்த வினை வகையின் மதிப்பும் 3/2 ஆகும்.
எடுத்துக்காட்டு 3
2. x + 2y → விளைபொருள், [x]=[y]=0.2 M என்ற வினையின் வினைவேகமானது 4 x 10-3mol L-1s-1 எனும் போது, 400Kல் வினைவேக மாறிலி 2 x 10-2 s-1 இவ்வினையின் ஒட்டுமொத்த வினைவகையைக் கண்டறிக.
தீர்வு :
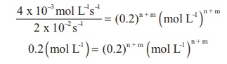
வினைவேகம் =k[x]n [y]m 4 x 10-3mol L-1s-1 = 2 x 10-2S-1 (0.2mol L-1)n(0.2mol L1)m
4 x 10-3mol L-1s-1 / 2 x 10-2S-1 = (0.2)n+m (mol L-1)n+m
0.2(mol L-1) = (0.2)n+m (mol L-1)n+m

இருபுறமும் அடுக்குகளை ஒப்பிடுக, வினையின் ஒட்டுமொத்த வினைவகை n + m = 1
தன்மதிப்பீடு 2
1). X + Y → விளைபொருள் என்ற வினையில், [x] ஐ நான்கு மடங்காக்கும் போது வினைவேகம் எட்டு மடங்காகிறது மேலும் [x] மற்றும் [y) ஆகிய இரண்டையும் நான்கு மடங்காக்கும் போது வினைவேகம் பதினாறு மடங்காகிறது எனில் X மற்றும் Y ஐப் பொருத்து வினைவகை மற்றும் ஒட்டுமொத்த வினைவகை ஆகியனவற்றினைக் கண்டறிக.
2). 2NO(g) + C12(g) → 2NOCI(g) என்ற வினைக்கு , கீழே கொடுக்கப்பட்டுள்ள தரவுகளின் அடிப்படையில் ஒவ்வொரு வினைபொருளைப் பொருத்து வினைவகை மற்றும் ஒட்டுமொத்த வினைவகை ஆகியனவற்றின் மதிப்புகளைக் காண்க.
