அர்ஹீனியஸ் சமன்பாடு - வினைவேகத்தின் மீது வெப்பநிலையின் விளைவு
பொதுவாக, வெப்பநிலை அதிகரிக்கும் போது, வினைவேகமும் அதிகரிக்கும். எனினும் இதில் சில விதிவிலக்குகளும் உண்டு. மேலும் வினைவேக அதிகரிப்பின் மதிப்பானது வினைக்கு வினை மாறுபடும். பெரும்பாலான வினைகளுக்கு 10°C வெப்ப நிலை அதிகரிப்பிற்கு வினைவேகம் தோராயமாக இரு மடங்கு அதிகரிக்கும் எனலாம்.
செயல்பாடு
வினைவேகத்தின் மீது வெப்பநிலையின் விளைவினை புரிந்து கொள்ள நாம் இச்சோதனையினை மேற்கொள்வோம்.
(i) இரு சோதனைக் குழாய்களை எடுத்துக் கொண்டு, அவைகளை A,B எனப் பெயரிடுக.
(ii) Aல் 5ml குளிர்ந்த நீர், ஒரு துளி ஃபினாப்தலின் நிறங்காட்டி மற்றும் மெக்னீசியத் துருவல் ஆகியனவற்றைச் சேர்க்க.
iii)Bல் இதே சோதனையை 5 ml சூடான நீரைக் கொண்டு மேற்கொள்ளவும்.
(iv) இரு சோதனைக் குழாய்களையும் உற்றுநோக்க.
(v) உற்றுநோக்கலின் மூலம் சோதனைக் குழாய் Bல் உள்ள கரைசல் இளஞ்சிவப்பு நிறமாக மாற்றமடைவதையும், அவ்வாறான மாற்றம் ஏதும் சோதனைக் குழாய் Aல் ஏற்படுவதில்லை என்பதனையும் அறியலாம். அதாவது சூடான நீர் மெக்னீசியத்துடன் பின்வருமாறு வினைபுரிகிறது. இவ்வினை குளிர்ந்த நீரில் நிகழ்வதில்லை .
Mg + 2H2O → Mg2+ + 2OH - + H2

(vi) இவ்வினையின் காரணமாக கரைசல் காரத் தன்மை பெறுவதால் பினாப்தலீன் இளஞ்சிவப்பு நிறமாகிறது.
அறைவெப்பநிலையில் நிகழாத பல வினைகள், உயர் வெப்பநிலையில் நிகழ்வதை நாம் அறிவோம். எடுத்துக்காட்டாக, அறைவெப்பநிலையில் H2 மற்றும் O2 வினைபுரிந்து நீரைத் தருவதில்லை ஆனால் மின்பாய்ச்சல் நிகழ்த்தும் போது H2O உருவாகிறது.
பெரும்பாலான வினைகளில், அவ்வினையின் வினைவேக மாறிலியானது, e-(Ea/RT) க்கு நேர்விகிதத்தில் அமையுமாறு வெப்பநிலையினைப் பொருத்து வினைவேகம் மாறுபடுகிறது என அர்ஹீனியஸ் கருதினார். மேலும் அவைகளுக்கிடையேயான பின்வரும் தொடர்பினையும் அவர் முன்மொழிந்தார்.
k = Ae-(Ea/RT) ... (1)

இங்கு A என்பது அதிர்வெண் காரணி
R என்பது வாயு மாறிலி
Ea என்பது வினையின் கிளர்வு ஆற்றல் மற்றும்
T என்பது தனிவெப்பநிலை (K அலகில்)
அதிர்வெண் காரணி (A) ஆனது ஒரு வினாடியில் வினைபடும் மூலக்கூறுகளுக்கிடையே நிகழும் மோதல்களின் எண்ணிக்கையோடு தொடர்புடையது. இது வெப்பநிலையைப் பொருத்து குறிப்பிடத்தகுந்த அளவு மாற்றமடையாததால் இதனை நாம் மாறிலியாகக் கருதலாம்.
Ea என்பது கிளர்வு ஆற்றலாகும். ஒரு மூலக்கூறானது வேதி வினைபுரிய பெற்றிருக்க வேண்டிய குறைந்தபட்ச ஆற்றல் என இதனை அர்ஹீனியஸ் கருதினார்.
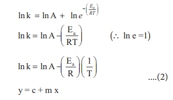
சமன்பாடு (1)ன் இருபுறமும் மடக்கை எடுக்க
1n k = 1n A + 1ne (-Ea/RT)
In k = In A – (Ea/RT) (ஃ in e = 1 )
In k = In A –(Ea/R) (1/T) ....(2)
y = c +m x

மேற்கண்டுள்ள சமன்பாடு y = mx + c என்ற வடிவில் உள்ளது.
In k Vs 1/T ஆகியவற்றிற்கிடையேயான வரைபடம் ஆனது –Ea/R ஐ சாய்வாக உடைய ஒரு நேர் கோடாகும். இரு வேறு வெப்பநிலைகளில், வினைவேக மாறிலியின் மதிப்புகள் தெரிந்திருப்பின், கிளர்வு ஆற்றலை நாம் கணக்கிட இயலும்.
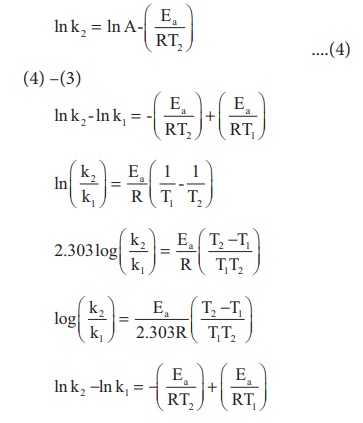
T=T1 எனும் போது வினைவேக மாறிலி k =k1
1n k1 = In A-(Ea/RT1) ..... (3)

வெப்பநிலை T=T2 எனும் போது, வினைவேக மாறிலி k = k2
1n k2 = In A-((Ea/RT1) ....(4)
(4) -(3)
1n k2 = 1n k1 = -(Ea/RT2) + (Ea/ RT1)
1n (k2 / k1 ) = Ea/R (1/T1- 1/T2)
2.303 log (k2 / k1 ) = Ea/ R (T2 – T1 /T1 T2 )
Log(k2/k1) = Ea/2.303R (T2 – T1 / T1 T2 )
1n k2 – 1n k1 = -(Ea/RT2) + (Ea/RT1)

T1 மற்றும் T2 வெப்பநிலைகளில் வினைவேக மாறிலிகள் k1 மற்றும் k2 ஆகியனவற்றின் மதிப்புகளிலிருந்து மேற்கண்டுள்ள சமன்பாட்டினைப் பயன்படுத்திக் கிளர்வு ஆற்றல் Ea -ஐ கண்டறியலாம்.
எடுத்துக்காட்டு 7
400K மற்றும் 200K ஆகிய வெப்பநிலைகளில் வினைவேக மாறிலிகள் முறையே 0.04 மற்றும் 0.02s-1 எனில் கிளர்வு ஆற்றலைக் கணக்கிடுக.
தீர்வு
அர்ஹீனியஸ் சமன்பாட்டின்படி,

Log(k2/k1) = Ea/2.303R (T2-T1/T1T2)
T2 = 400K ; k2 = 0.04 s-1
T1 = 200K ; k1 = 0.02 s-1
log(0.04 s-1 / 0.02 s-1 ) Ea / 2.303 x 8.314 JK-1 mol-1 ( 400K -200K / 200K × 400K)
log(2) = Ea / 2.303 × 8.314 JK-1 mol-1 (1/ 400K)
Ea = log(2) × 2.303 x 8.314 JK-1 mol-1 × 400K
Ea = 2305 J mol-1
எடுத்துக்காட்டு 8
ஒரு வினையின் வினைவேக மாறிலி k ஆனது வெப்பநிலையினைப் பொருத்து பின்வருமாறு அர்ஹினீயஸ் சமன்பாட்டின் படி மாற்றமடைகிறது.

இங்கு Ea என்பது கிளர்வு ஆற்றல் logk Vs 1/T வரைபடம் வரையும் போது- 4000K சாய்வு உடைய நேர்கோடு பெறப்படுகிறது. கிளர்வு ஆற்றலைக் கணக்கிடுக.
தீர்வு
logk = log A- Ea / 2.303R (1/T)
y = c + mx
m = - Ea / 2.303R
Ea = -2.303 Rm

Ea = -2.303 x 8.314 JK-1 mol-1 (- 4000K)
Ea = 76,589J mol-1
Ea = 76.589 kJ mol-1
தன்மதிப்பீடு
500K வெப்பநிலையில், ஒரு முதல் வகை வினைக்கு வினைவேக மாறிலி 8 × 10-4 s-1 ஆகும். அவ்வினையின் கிளர்வு ஆற்றல் 190 kJ mol-1 எனில் அதிர்வுக் காரணியைக் கணக்கிடுக.