சராசரி (Mean), பரவற்படி அல்லது மாறுபாட்டளவை (Variance) | நிகழ்தகவு பரவல்கள் | கணிதவியல் - கணித எதிர்பார்ப்பு (Mathematical Expectation) | 12th Maths : UNIT 11 : Probability Distributions
கணித எதிர்பார்ப்பு (Mathematical Expectation)
சமவாய்ப்பு மாறியின் முக்கியமான சிறப்பியல்புகளில் ஒன்று அதன் கணித எதிர்பார்ப்பு ஆகும். கணித எதிர்பார்ப்பின் பிற பெயர்கள் எதிர்பார்ப்பு மதிப்பு, சராசரி, மற்றும் முதல் விலக்கப் பெருக்கத் தொகை முதலியன.
வழக்கமாக எண் சராசரி முறையிலேயே கணித எதிர்பார்ப்பும் அதனையொட்டி வரையறுக்கப்படுகிறது.
n எண்களின் a1 , a2 , a3 , …. , an -ன் சராசரி எண் மதிப்பு,
ஆகும்.
a1 , a2 , a3 , …. , an ஆகிய n எண்களின் முழு தொகுப்பையும் தொகுத்து ஒற்றை மதிப்பில் சுருக்கமாகவோ அல்லது வகைப்படுத்தவோ சராசரி உதவுகிறது.
விளக்க எடுத்துக்காட்டு 11.7
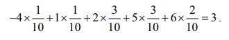
6,2,5,5, 2, 6,2,-4, 1, 5 எனும் பத்து எண்களைக் கருதுக.
இதன் சராசரி [6 + 2 + 5 + 5 + 2 + 6 + 2 − 4 + 1 + 5]/10 = 3 ஆகும்.
6, 2, 5, 5, 2, 6, 2, − 4, 1, 5 ஆகிய 10 எண்களையும் சமவாய்ப்பு மாறி X-ன் மதிப்புகளாக கருதினால் நிகழ்தகவு நிறை சார்பு

ஆகும். சராசரிக்கான மேற்கண்ட கணக்கீட்டை
எனவும் மாற்றி எழுதலாம்.
இவ்வெடுத்துக்காட்டின் மூலம் சமவாய்ப்பு மாறியின் ஓவ்வொரு மதிப்பையும் அதன் நிகழ்தகவால் பெருக்கி கிடைக்கும் பெருக்கல்களின் கூட்டலாக எந்தவொரு சமவாய்ப்பு மாறியின் சராசரி அல்லது எதிர்பார்ப்பு மதிப்பைப் பெறலாம் என்பது தெளிவாகிறது.
எனவே சராசரி = ∑ (x-இன் மதிப்பு) × (நிகழ்தகவு )
சமவாய்ப்பு மாறி தனிநிலை எனில் இக்கூற்று மெய்யாகும். தொடர்ச்சியான சமவாய்ப்பு மாறியைப் பொறுத்தவரையில், கணித எதிர்பார்ப்பும் கூட்டலுக்கு பதிலாக தொகையிடலின் அடிப்படையிலேயே அமையும்.
சமவாய்ப்பு மாறி X - க்கான நிகழ்தகவு பரவலுக்கு தொகுக்க பொதுவாக இரு அளவுகள் பயன்படுத்தப்படுகின்றன. புள்ளியியலைப் பொறுத்தவரை ஒன்று மையப்போக்கு மற்றொன்று சிதறல் அல்லது நிகழ்தகவு பரவலின் மாறுபாடு எனலாம். நிகழ்தகவு பரவலின் மையப்போக்கின் அளவையே சராசரி ஆகும். மேலும் சிதறலின் அளவையே பரவற்படி அல்லது பரவலின் மாறுபாடு ஆகும். ஆனால் இவ்விரு அளவைகளும் ஒரு நிகழ்தகவு பரவலினை தனிச்சிறப்புப்பட இனங் காணவில்லை. அதாவது இரு வெவ்வேறு பரவல்களுக்கும் ஒரே சராசரியும் சிதறலும் அமையலாம். இருப்பினும் இத்தகு அளவைகள் எளிதாக கணிக்க இயலும். சமவாய்ப்பு மாறி X -இன் நிகழ்தகவுப் பரவலினைப் பற்றி கற்க உதவுகின்றன.
சராசரி (Mean)
வரையறை 11.8 (சராசரி)
ஒரு சமவாய்ப்பு மாறி X -இன் நிகழ்தகவு பரவல் சார்பு f (x) என்க. E(X) அல்லது μ எனக் குறிப்பிடப்படும்

என்பது எதிர்பார்ப்பின் மதிப்பு அல்லது சராசரி அல்லது X -இன் கணித எதிர்பார்ப்பு என வரையறுக்கப்படுகிறது.
எதிர்பார்க்கப்படும் மதிப்பு பொதுவாக சமவாய்ப்பு மாறி கொள்ளும் மதிப்பாக இருக்காது. பன்முறை சார்பற்று செய்யப்படும் ஒரு சோதனையில் ஒரு சமவாய்ப்பு மாறியின் எதிர்பார்ப்பை புரிந்து கொள்ள இந்த எதிர்பார்க்கப்படும் மதிப்பு உதவும்.
தேற்றம் 11.3 (நிரூபணமின்றி
நிகழ்தகவு பரவல் சார்பு f (x) உடைய ஒரு சமவாய்ப்பு மாறி X என்க. g (X) எனும் புதிய சமவாய்ப்பு மாறியின் சார்பின் எதிர்பார்ப்பு மதிப்பு,

g(x) = xk, எனில் மேற்கண்ட தேற்றம் தரும் எதிர்பார்க்கப்படும் மதிப்பு சமவாய்ப்பு மாறி X-ன் ஆதிபுள்ளியில் உள்ள k -வது விலக்கப் பெருக்கத் தொகை எனப்படுகிறது.

பரவற்படி அல்லது மாறுபாட்டளவை (Variance)
பரவற்படி எனும் புள்ளியியல் அளவை தரவுகளின் தொகுப்பின் சராசரி மதிப்பிலிருந்து அளவிடப்பட்ட தரவு எவ்வாறு மாறுபடுகிறது என்பதைக் கூறுகிறது. கணித ரீதியாக, மாறுபாட்டளவை என்பது ஒரு தரவு தொகுப்பின் எண்கணித சராசரியிலிருந்து விலகல்களின் வர்க்கங்களின் சராசரியாகும். மாறுபாடு, பரவல் மற்றும் சிதறல் ஆகிய சொற்கள் ஒத்தவையாகும், மேலும் பரவல் எவ்வாறு பரவுகிறது என்பதைக் குறிக்கிறது.
வரையறை 11.9 (பரவற்படி)
V ( X ) or σ 2 (or σx2 ) எனக் குறிப்பிடப்படும் சமவாய்ப்பு மாறி X-ன் பரவற்படி
V (X ) = E(X − E(X ))2 = E(X − μ)2 ஆகும்.
பரவற்படியின் வர்க்கமூலம் திட்ட விலக்கம் எனப்படும். அதாவது திட்ட விலக்கம் σ = √V( X )ஆகும். சமவாய்ப்பு மாறியின் பரவற்படியும் திட்டவிலக்கமும் குறையற்ற எண்ணாகத்தான் இருக்கும்.