தளத்தில் ஒரு புள்ளியின் பிம்பம் (Image of a Point in a Plane)
கொடுக்கப்பட்ட புள்ளி A−ன் நிலை வெக்டர்
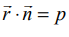
என்க. தளத்தின் சமன்பாடு
என்க. ஒரு தளத்தில் பிம்பம் காணவேண்டிய A என்ற புள்ளியின் பிம்பப்புள்ளி A'−ன் நிலைவெக்டர்
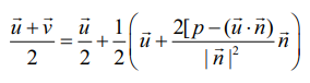
என்க. பின்னர்,
என்பது தளத்திற்குச் செங்குத்தாகும். எனவே,
என்பது
க்கு இணையாகும். பின்னர்

AA' –ன் மையப்புள்ளி M என்க. ஆகவே, M –ன் நிலைவெக்டர்
ஆகும். ஆனால், M ஆனது தளத்தின் மீது அமைந்துள்ளது.
குறிப்பு
AA' –ன் மையப்புள்ளி M ஆனது A என்ற புள்ளியிலிருந்து
என்ற தளத்திற்கு வரையப்படும் செங்குத்தின் அடியாகும். ஆகவே, செங்குத்தின் அடி M−ன் நிலைவெக்டர்

தளத்தில் பிம்பம் காண வேண்டிய புள்ளி (a1,a2,a3)−ன் நிலைவெக்டர்
என்க. பின்னர்,
ஆகும்.
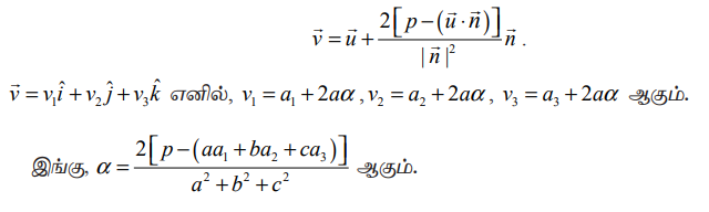
கொடுக்கப்பட்ட தளத்தின் சமன்பாடு ax + by + cz = p என்க. இச்சமன்பாட்டை வெக்டர் சமன்பாடாக
என எழுதலாம். இங்கு
ஆகும். ஆகவே, பிம்பப் புள்ளியின் நிலைவெக்டர்

எடுத்துக்காட்டு 6.55
என்ற நிலை வெக்டரைக் கொண்ட புள்ளியின் பிம்பப் புள்ளியை
என்ற தளத்தில் காண்க.
தீர்வு

குறிப்பு
என்ற நிலைவெக்டரைக் கொண்ட புள்ளியிலிருந்து கொடுக்கப்பட்ட தளத்திற்கு வரையப்படும் செங்குத்தின் அடியின் நிலைவெக்டர்
