கேள்விகளுக்கான பதில்கள், தீர்வுகள் - பயிற்சி 8.4 : பகுதி வகைக்கெழுக்கள் | 12th Maths : UNIT 8 : Differentials and Partial Derivatives
பயிற்சி 8.4
1. பின்வரும் சார்புகளுக்கு கொடுக்கப்பட்ட புள்ளிகளில் பகுதி வகைக்கெழுக்கள் காண்க.
(i) f (x,y) = 3x2 - 2xy + y2 + 5x + 2, (2,-5)
(ii) g(x,y) = 3x2 + y2 + 5x + 2, (1,-2)
(iii) h(x, y, z) = xsin(xy) + z2x, (2,π/4,1)
(iv) G(x,y) = ex+3y log(x2 + y2),(-1,1)

2. பின்வரும் சார்புகளுக்கு fx, fy , காண்க. மேலும் fxy = fyx. எனக் காட்டுக.
(i) f (x, y) = 3x / y + sin x
(ii) f (x,y) = tan-1(x/y)
(iii) f (x,y) = cos(x2 - 3xy)

3. If U (x, y, z) = x2 + y2 / xy + 3z2y, எனில் ∂U / ∂x , ∂U / ∂y, மற்றும் ∂U / ∂z -ஐக் காண்க.

4. If U(x, y, z) = log(x3 + y3 + z3) எனில் ∂U / ∂x + ∂U / ∂y + ∂U / ∂z -ஐக் காண்க.

5. பின்வரும் சார்புகளுக்கு gxy, gxx , gyy மற்றும் gyx ஆகியவற்றைக் காண்க. (i) g(x, y)= xey+3x2y
(ii) g(x,y) = log(5x + 3y)
(iii) g(x,y) = x2 +3xy-7y+cos(5x)

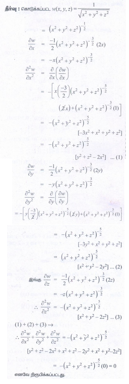
6. w(x, y, z) = 1 / √ x2 + y2 + z2 , (x,y,z) ≠ (0, 0, 0) எனில் ∂2W / ∂x2 + ∂2W / ∂y2 + ∂2W / ∂z2 = 0 எனக் காட்டுக.

7. V(x,y) = ex(x cos y - ysin y) எனில் ∂2V / ∂x2 + ∂2V / ∂y2 = 0 என நிறுவுக.
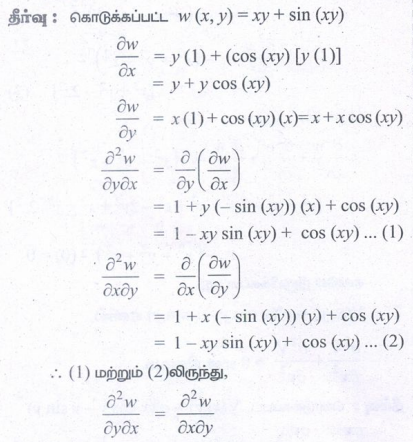
8. w(x,y) = xy + sin(xy) எனில் ∂2W / ∂y∂x = ∂2W / ∂x∂y என நிறுவுக.

9. v(x, y, z) = x3 + y3 + z3+ 3xyz எனில் ∂2V / ∂y∂z = ∂2V/ ∂z∂y என நிறுவுக.

10. ஒரு நிறுவனம் ஒவ்வொரு வாரமும் இரு விதமான கணிப்பான்களை உற்பத்தி செய்கின்றது. அவற்றில் A வகை கணிப்பான்கள் x எண்ணிக்கையும், B வகை கணிப்பான்கள் y எண்ணிக்கையும் உள்ளன. வார வரவு மற்றும் செலவுச் சார்புகள் (ரூபாயில்) முறையே R(x,y) = 80x + 90y + 0.04xy - 0.05x2 - 0.05y2 மற்றும் C(x,y) = 8x + 6y + 2000 எனத் தரப்பட்டுள்ளன.
(i) இலாபச் சார்பு P(x,y) -ஐக் காண்க.
(ii) ∂P / ∂x (1200, 1800) மற்றும் ∂p / ∂y (1200, 1800) ஆகியவற்றைக் கண்டு முடிவுகளை விளக்குக.

விடைகள் :
1. (i) 27, − 14 (ii) 11, −4 (iii) 2, 0, 4 (iv) e2((log 2)) − 1), e2(1+log 8)

10. (i) 72x + 84 y + 0.04xy − 0.05x2 − 0.05 y2 − 2000 (ii) 24, −48