கேள்விகளுக்கான பதில்கள், தீர்வுகள் - பயிற்சி 8.2 : வகையீடுகள் | 12th Maths : UNIT 8 : Differentials and Partial Derivatives
பயிற்சி 8.2
1. பின்வரும் சார்புகளுக்கு வகையீடு dy காண்க:
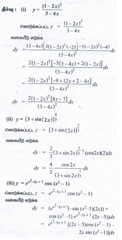
(i) y = (1-2x)3 / 3 - 4x
(ii) y = (3 + sin(2x))2/3
(iii) y = ex2-5x+7 cos (x2-1)

2. f (x) = x2 +3x என்ற சார்பிற்கு df காண்க மற்றும்
(i) x = 2, dx = 0.1
(ii) x = 3 மற்றும் dx = 0.02 எனும்போது df -ஐ மதிப்பிடுக.

3. f என்ற சார்பிற்கு கொடுக்கப்பட்ட x, ∆x மதிப்புகளுக்கு ∆f மற்றும் df காண்க. மேலும்அவற்றை ஒப்பிடுக.
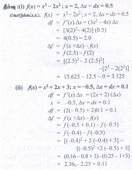
(i) f (x) = x3 - 2x2; x = 2, ∆x = dx = 0.5
(ii) f (x) = x2 + 2x + 3; x = -0.5, ∆x = dx = 0.1

4. log10e = 0.4343 எனக்கொண்டு log10 1003 -ன் தோராய மதிப்பைக் காண்க.
5. ஒரு மரத்தின் அடிப்பகுதியின் விட்டம் 30 செமீ. அடுத்த ஆண்டு அதன் சுற்றளவு 6 செமீஅதிகரிக்கின்றது எனில்
(i) தோராயமாக மரத்தின் விட்டம் எவ்வளவு வளர்ந்துள்ளது?
(ii) அதன் குறுக்கு வெட்டுப் பரப்பானது எவ்வளவு சதவீதம் அதிகரித்திருக்கும்?

6. ஒரு குறிப்பிட்ட பறவையின் முட்டை கிட்டத்தட்ட கோள வடிவமாக உள்ளது. முட்டையின் ஆரம் ஓட்டிற்கு உள்ளே 5 மிமீ ஆகவும் ஓட்டிற்கு வெளியே 5.3 மிமீ ஆகவும் உள்ளது எனில் ஓட்டின் தோராய கன அளவைக் காண்க.

7. மனிதனின் இரத்தக் குழாயின் (தமனியின்) குறுக்கு வெட்டானது வட்ட வடிவம் எனக் கொள்க. ஒரு நோயாளிக்கு இரத்தக் குழாய் விரிவடைவதற்கான மருந்து கொடுக்கப்பட்டுள்ளது. இரத்தக் குழாயின் ஆரம் 2 மிமீ இலிருந்து 2.1 மிமீ ஆக அதிகரிக்கும்போது அதன் குறுக்கு வெட்டின் பரப்பு தோராயமாக எந்த அளவு அதிகரிக்கும்?
8.புதிதாக உருவாக்கப்பட்ட ஒரு நகரத்தின் வாக்காளர்களின் எண்ணிக்கையின் (ஆயிரங்களில்) அதிகரிப்பு V(t) = 30 + 12t2 – t3 0 ≤ t ≤ 8 என்பதால் மதிப்பிடப்படுகின்றது. இங்கு t என்பது ஆண்டுகளை குறிக்கின்றது. காலம் 4-இலிருந்து 4 1/6 வருடமாக இருக்கும்போது ஏற்படும்தோராய வாக்காளர்களின் எண்ணிக்கை மாற்றத்தைக் காண்க.

9. ஒரு மனிதன் x மணி நேரத்தில் கற்கும் y வார்த்தைகளுக்கான தொடர்பு y = 52√x, 0 ≤ x ≤ 9 எனக் கொடுக்கப்பட்டுள்ளது. x-ன் மதிப்பு பின்வருமாறு மாறும்போது கற்றல் வார்த்தைகளின் எண்ணிக்கையில் ஏற்படும் தோராய மாற்றத்தைக் காண்க.
(i) 1 இலிருந்து 1.1 மணி? (ii) 4 இலிருந்து 4.1 மணி?

10. ஒரு வட்ட வடிவத் தகடு வெப்பத்தினால் சீராக விரிவடைகின்றது என்க. அதன் ஆரம் 10.5 செமீ-இலிருந்து 10.75 செ.மீ-ஆக அதிகரிக்கும்போது அதன் பரப்பில் ஏற்படும் தோராய அதிகரிப்பு மற்றும் தோராய சதவீத அதிகரிப்பு ஆகியவற்றைக் காண்க
.
11. 10 செமீ பக்க அளவு கொண்ட ஒரு கன சதுரத்தின் பக்கங்களுக்கு 0.2 செமீ கனத்திற்குவர்ணம் பூசப்படுகின்றது. வகையீடுகளைப் பயன்படுத்தி அந்த கன சதுரத்தின் வர்ணப் பூச்சிற்கு தோராயமாக எத்தனை கன செமீ அளவிற்கு வர்ணம் பயன்படுத்தப்பட்டது எனக்காண்க. மேலும் துல்லியமாக எவ்வளவு வர்ணம் பயன்படுத்தப்பட்டது என்பதையும் காண்க.

விடைகள் :
1. 
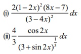
(iii) ex2− 5 x+7 [(2x − 5) cos(x2 −1) − 2x sin(x2 −1)] dx
2. (i) 0.7 (ii) 0.18
3. (i) Δf = 3.125 , df = 2.0 (ii) Δf = 0.11, df = 0.1
4. 3.0013029
5. (i) 6/π cm (ii) 40/π %
6. 30π mm3
7. 0.4π mm2
8. 8000
9. (i) ≈ 3 வார்த்தைகள் (ii) ≈ 1
10. 5.25π , 4.76%
11. 60 cm3 , 61.2 cm3