புத்தக கணக்குகளுக்கான பதில்கள், தீர்வுகள் | கணக்கு - பயிற்சி 7.3: அணிக்கோவைகளுக்குக் காரணித் தேற்றத்தின் பயன்பாடு (Application of factor theorem to determinants) | 11th Mathematics : UNIT 7 : Matrices and Determinants
Posted On : 30.01.2024 04:52 am
11 வது கணக்கு : அலகு 7 : அணிகளும் அணிக்கோவைகளும் (Matrices and Determinants)
பயிற்சி 7.3: அணிக்கோவைகளுக்குக் காரணித் தேற்றத்தின் பயன்பாடு (Application of factor theorem to determinants)
11 வது கணக்கு : அலகு 7 : அணிகளும் அணிக்கோவைகளும் (Matrices and Determinants) : பயிற்சி 7.3 : பல்வேறு வினாக்களுக்கான பதில்கள் மற்றும் தீர்வுகள்
பயிற்சி 7.3
பின்வருவனவற்றிற்கு காரணித் தேற்றத்தை பயன்படுத்துக:
(1)
என நிறுவுக.

(2)
என நிறுவுக.

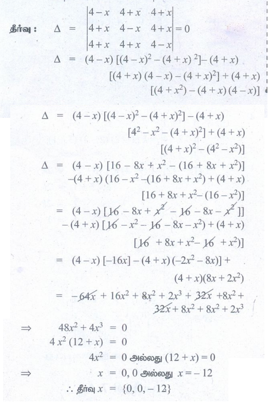
(3) தீர்க்க:

(4)
= (a + b+ c) (a − b) (b− c) (c − a) என நிறுவுக.

(5) தீர்க்க: 

(6)
= (x − y)(y − z)(z − x) என நிறுவுக.

Tags : Problem Questions with Answer, Solution | Mathematics புத்தக கணக்குகளுக்கான பதில்கள், தீர்வுகள் | கணக்கு.
11th Mathematics : UNIT 7 : Matrices and Determinants : Exercise 7.3: Application of Factor Theorem to Determinants Problem Questions with Answer, Solution | Mathematics in Tamil : 11th Standard
Tamil Medium School Samacheer Book Back Questions and answers, Important Question with Answer.
11 வது கணக்கு : அலகு 7 : அணிகளும் அணிக்கோவைகளும் (Matrices and Determinants) : பயிற்சி 7.3: அணிக்கோவைகளுக்குக் காரணித் தேற்றத்தின் பயன்பாடு (Application of factor theorem to determinants) - புத்தக கணக்குகளுக்கான பதில்கள், தீர்வுகள் | கணக்கு : 11 ஆம் வகுப்பு
புத்தகம் கேள்விகள் மற்றும் பதில்கள்.