புத்தக கணக்குகளுக்கான பதில்கள், தீர்வுகள் | கணக்கு - பயிற்சி 7.2: அணிகள் | 11th Mathematics : UNIT 7 : Matrices and Determinants
பயிற்சி 7.2
(1) அணிக்கோவையை விரிவுபடுத்தாமல்,
என நிறுவுக.

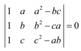
(2)
= 0 என நிறுவுக.

(3)
= 4a2b2c2 என நிறுவுக.

(4)
என நிறுவுக.

(5)
= 0 என நிறுவுக.

(6)
= 0 என நிறுவுக.

(7) 3 × 3 வரிசை உடைய எதிர் சமச்சீர் அணியின் பொது வடிவத்தை எழுதுக. அதன் அணிக்கோவையின் மதிப்பு 0 எனக் காட்டுக.

(8)
எனில், a, b, c என்பன G.P.−ல் அமையும் அல்லது α என்பது ax2 + 2bx + c = 0−ன் ஒரு மூலமாகும் என நிறுவுக.

(9)
என நிறுவுக.

(10) a, b, c என்பன ஒரு A.P.−ன் p, q மற்றும் r−ஆவது உறுப்புகள் எனில்,
−ன் மதிப்பு காண்க.

(11)
என்ற அணிக்கோவை x4ஆல் வகுபடும் என நிறுவுக.

(12) a, b, c என்பவை மிகை மற்றும் அவை ஒரு G.P.−ன் p, q மற்றும் rஆவது உறுப்புகள் எனில்,
என நிறுவுக.

(13) x, y, z ≠ 1 எனில்,
–ன் மதிப்பு காண்க.

(14)
என நிறுவுக.

(15) விரிவுபடுத்தாமல் பின்வரும் அணிக்கோவைகளின் மதிப்பைக் காண்க. :


(16) A என்பது ஒரு சதுர அணி மற்றும் | A | = 2 எனில், | AAT| −ன் மதிப்பைக் காண்க.

(17) A, B என்பன | A | = −1 மற்றும் | B | = 3 எனுமாறு உள்ள 3 வரிசை சதுர அணிகள் எனில்,|3AB |−ன் மதிப்பைக் காண்க.

(18) λ = −2 எனில்,
−ன் மதிப்பைக் காண்க.

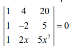
(19)
என்ற சமன்பாட்டின் மூலங்களைக் காண்க.

(20)
என்ற அணிகளுக்கு det(AB) = (det A) (det B) என சரிபார்க்க.

(21)
என்ற அணியின் இரண்டாம் நிரையில் உள்ள உறுப்புகளின் இணைக்காரணிகளைப் பயன்படுத்தி, | A |−ன் மதிப்பைக் காண்க.
