புத்தக கணக்குகளுக்கான பதில்கள், தீர்வுகள் | கணக்கு - பயிற்சி 7.1: அணிகள் | 11th Mathematics : UNIT 7 : Matrices and Determinants
பயிற்சி 7.1
(1) (i) aij = (i −2j)2 /2 , m = 2, n = 3 (ii) aij = |3i − 4j| /4 , m = 3, n = 4 என இருக்குமாறு உறுப்புகளைக் கொண்ட m × n வரிசை உடைய A = [aij] அணிகளை உருவாக்குக.

(2)
எனில், p, q, r, s ஆகியவற்றின் மதிப்புகளைக் காண்க.

(3)
எனில், x + y −ஐ காண்க.

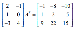
(4)
என்ற அணிச் சமன்பாடுகளை நிறைவு செய்யும் A, B என்ற அணிகளைக் காண்க.

(5)
எனில், A4 −ஐ காண்க.

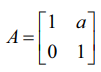
(6) 
(i) Aα Aβ = A(α + β) என நிறுவுக.
(ii) Aα + AαT = I என்ற நிபந்தனையை நிறைவு செய்யும் α −ன் அனைத்து மெய் மதிப்புகளையும் காண்க.

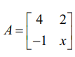
(7) A =
மற்றும் (A – 2I) (A − 3I) = 0 எனில், x−ன் மதிப்பைக் காண்க.

(8)
எனில், A2 என்பது அலகு அணியாகும் என நிறுவுக.

(9)
மற்றும் A3 – 6A2 + 7A + kI = 0, எனில். k−ஐ காண்க.

(10) பின்வரும் நிபந்தனைகள் ஒவ்வொன்றையும் நிறைவுசெய்யும் அணிகளுக்கான எடுத்துக்காட்டுகளைத் தருக.
(i) AB ≠ BA எனுமாறுள்ள A மற்றும் B அணிகள்
(ii) AB = O = BA, A ≠ O மற்றும் B ≠ O எனுமாறுள்ள A, B அணிகள்
(iii) AB = O மற்றும் BA ≠ O எனுமாறுள்ள A, B அணிகள்

(11) f(x) =
எனில், f(x) f(y) = f(x + y) என நிறுவுக.

(12) A என்பது A2 = A என்றவாறுள்ள ஒரு சதுர அணி எனில், 7A − (I+A)3 −ன் மதிப்புக் காண்க.

(13)
எனில், A(B + C) = AB + AC எனும் பண்பினைச் சரிபார்க்க.

(14)
என்ற அணிச்சமன்பாட்டினை நிறைவு செய்யும் A என்ற அணியைக் காண்க.

(15)
எனில், பின்வருவனவற்றைச் சரிபார்க்க.
(i) (A + B)T = AT + BT = BT + AT
(ii) (A − B) T = AT – BT
(iii) (BT)T = B

(16) 3 × 4 வரிசை உடைய ஒரு அணி A மற்றும் B என்ற இரண்டு அணிகளும் ATB மற்றும் BAT ஆகிய இரண்டையும் வரையறை செய்யுமாறுள்ள அணிகள் எனில், B அணியின் வரிசையைக் காண்க.

(17) பின்வரும் அணிகளை சமச்சீர் மற்றும் எதிர் சமச்சீர் அணிகளின் கூடுதலாக எழுதுக.


(18)
எனுமாறுள்ள A என்ற அணியைக் காண்க.

(19)
மற்றும் AAT = 91 எனில், x, y−ன் மதிப்புகளைக் காண்க.

(20) (i) x−ன் எம்மதிப்புக்கு,
என்பது எதிர் சமச்சீர் அணியாகும்?
(ii)
என்பது எதிர் சமச்சீர் அணி எனில், p, q, r−ன் மதிப்புகளைக் காண்க.

(21) aij = i − j எனில், A = [aij]3×3 என்ற அணியை உருவாக்குக. மேலும், A என்பது சமச்சீர் அணியா அல்லது எதிர் சமச்சீர் அணியா எனக் கூறுக.

(22) A, B என்பன இரு சமச்சீர் அணிகள் என்க. AB = BA எனில், AB என்பது சமச்சீர் அணியாகும் என நிறுவுக. மேலும் இதன் மறுதலையும் உண்மை என நிறுவுக.

(23) A, B என்பன சமவரிசையுள்ள இரு சமச்சீர் அணிகள் எனில், பின்வருவனவற்றை நிறுவுக.
(i) AB + BA என்பது சமச்சீர் அணியாகும்
(ii) AB − BA என்பது எதிர் சமச்சீர் அணியாகும்

(24) ஓர் அங்காடியில் முந்திரி, உலர் திராட்சை மற்றும் பாதாம் பருப்பு ஆகியவற்றைக் கொண்டு மூன்று விதமான பரிசுப் பைகள் தயார் செய்யப்படுகின்றன.
பை I−ல் 100 கிராம் முந்திரி, 100 கிராம் உலர் திராட்சை மற்றும் 50 கிராம் பாதாம் பருப்பும்,
பை II−ல் 200 கிராம் முந்திரி, 100 கிராம் உலர் திராட்சை மற்றும் 100 கிராம் பாதாம் பருப்பும்,
பை III−ல் 250 கிராம் முந்திரி, 250 கிராம் உலர் திராட்சை மற்றும் 150 கிராம் பாதாம் பருப்பும் உள்ளன.
50 கிராம் முந்திரியின் விலை ₹ 50, 50 கிராம் உலர் திராட்சையின் விலை ₹ 10 மற்றும் 50 கிராம் பாதாம் பருப்பின் விலை ₹ 60 எனில், ஒவ்வொரு பரிசுப் பையின் விலையைக் காண்க.
