கேள்விகளுக்கான பதில்கள், தீர்வுகள் - பயிற்சி 6.4: முப்பரிமாண வடிவக் கணிதத்தில் வெக்டர்களின் பயன்பாடு (Application of Vectors to 3−Dimensional Geometry) | 12th Maths : UNIT 6 : Applications of Vector Algebra
பயிற்சி 6.4
1.
என்ற வெக்டரை நிலை வெக்டராகக் கொண்ட புள்ளி வழிச் செல்வதும்
என்ற வெக்டருக்கு இணையானதுமான நேர்க்கோட்டின் துணை அலகு அல்லாத வெக்டர் சமன்பாடு, மற்றும் கார்டீசியன் சமன்பாடுகளைக் காண்க.

2. (−2,3,4) என்ற புள்ளி வழியாகச் செல்வதும்
என்ற கோட்டிற்கு இணையானதுமான நேர்க்கோட்டின் துணை அலகு வெக்டர், சமன்பாடு மற்றும் கார்டீசியன் சமன்பாடுகளைக் காண்க.

3. (6,7,4) மற்றும் (8,4,9) என்ற புள்ளிகள் வழியாகச் செல்லும் நேர்க்கோடு xz மற்றும் yz தளங்களை வெட்டும் புள்ளிகளைக் காண்க.

4. (5,6,7) மற்றும் (7,9,13) என்ற புள்ளிகள் வழியாகச் செல்லும் நேர்க்கோட்டின் திசைக் கொசைன்களைக் காண்க. மேலும், கொடுக்கப்பட்ட இவ்விரு புள்ளிகள் வழியாகச் செல்லும் நேர்க்கோட்டின் துணை அலகுவெக்டர் சமன்பாடு, மற்றும் கார்டீசியன் சமன்பாடுகளைக் காண்க.

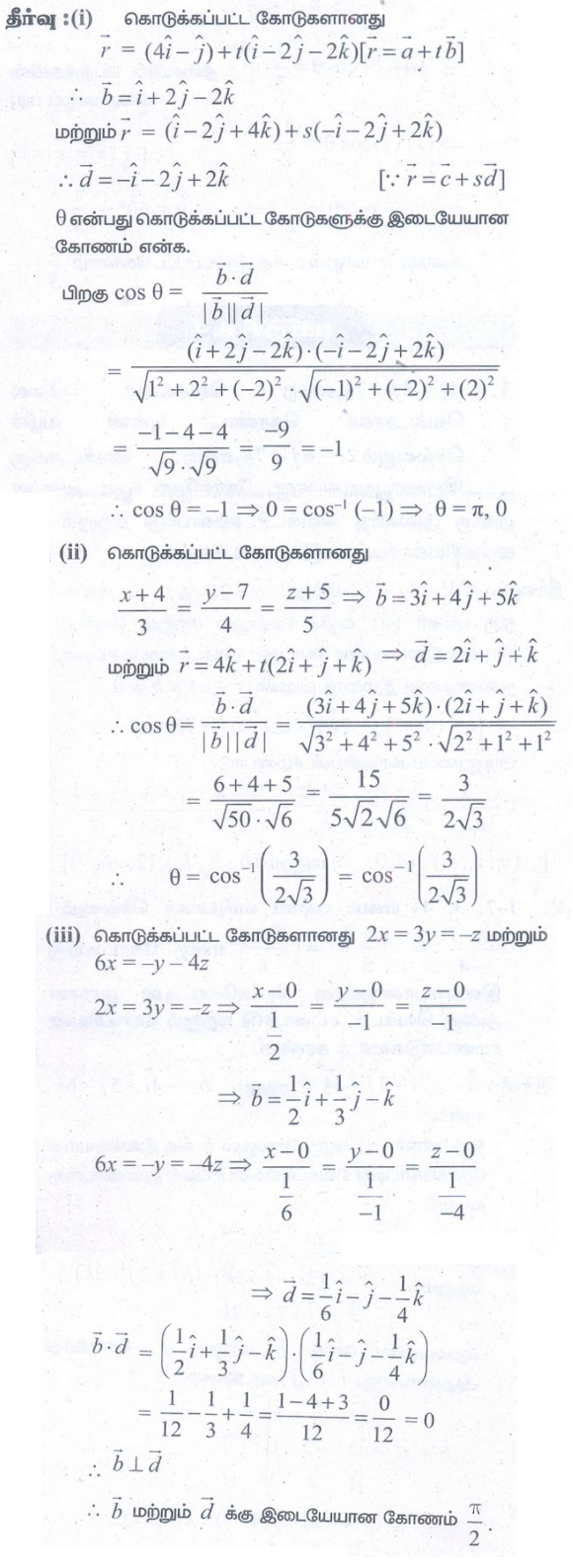
5. பின்வரும் கோடுகளுக்கு இடைப்பட்ட குறுங்கோணம் காண்க.


6. A(7,2,1), B(6,0,3), மற்றும் C(4,2,4) என்பன ∆ABC−ன் உச்சிகள் எனில், ∠ABC –ஐக் காண்க.

7. (2,1,4) மற்றும் (a−1,4,−1) என்ற புள்ளிகளை இணைக்கும் நேர்க்கோடு (0,2,b−1) மற்றும் (5,3,−2) என்ற புள்ளிகளை இணைக்கும் நேர்க்கோட்டுக்கு இணை எனில், a மற்றும் b –ன் மதிப்புகளைக் காண்க.

8.
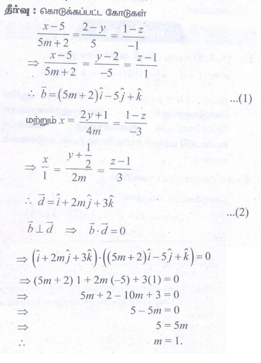
என்ற நேர்க்கோடுகள் ஒன்றுக்கொன்று செங்குத்தானவை எனில், m –ன் மதிப்பைக் காண்க.

9. (2,3,4), (−1,4,5) மற்றும் (8,1,2) என்ற புள்ளிகள் ஒரு கோடமைப் புள்ளிகள் எனக் காட்டுக.
