கேள்விகளுக்கான பதில்கள், தீர்வுகள் - பயிற்சி 3.3: கூடுதல் விவரங்களுடன் கூடிய பல்லுறுப்புக் கோவைகள் (Polynomials with Additional Information) | 12th Maths : UNIT 3 : Theory of Equations
பயிற்சி 3.3
1. 2x3 − x2 −18x + 9 = 0 எனும் முப்படி பல்லுறுப்புக்கோவைச் சமன்பாட்டின் மூலங்களில் இரண்டின் கூட்டல் தொகை பூச்சியமெனில் சமன்பாட்டின் தீர்வு காண்க.

2. 9x3 − 36x2 + 44x – 16 = 0−ன் மூலங்கள் கூட்டுத் கூட்டுத் தொடரில் தொடரில் அமைந்தவை எனில், சமன்பாட்டைத் தீர்க்க.

3. 3x3 − 26x2 + 52x – 24 = 0−ன் மூலங்கள் பெருக்குத்தொடரில் அமைந்தவை எனில், சமன்பாட்டைத் தீர்க்க.

4. 2x3 − 6x2 + 3x + k = 0 எனும் சமன்பாட்டின் ஒரு மூலம் மற்ற இரு மூலங்களின் கூடுதலின் இரு மடங்கு எனில், k −ன் மதிப்பைக் காண்க. மேலும் சமன்பாட்டைத் தீர்க்க.

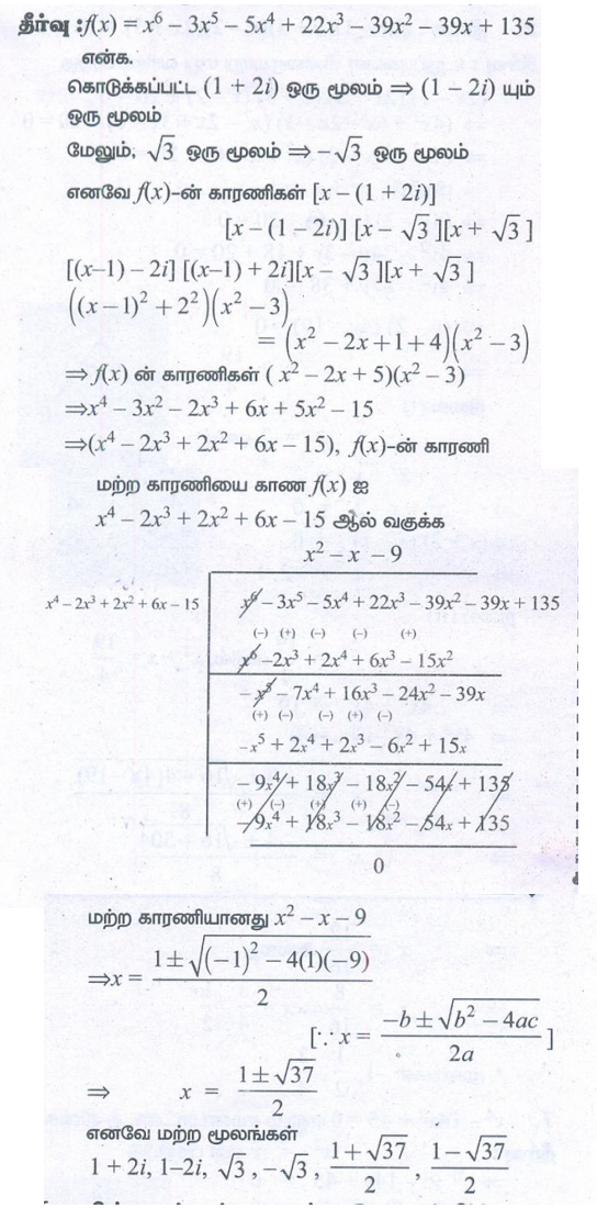
5. 1 + 2i மற்றும் √3 ஆகியவை x6 −3x5 − 5x4 + 22x3 − 39x2 −39x + 135 என்ற பல்லுறுப்புக் கோவையின் இரு பூச்சியமாக்கிகள் எனில் அனைத்து பூச்சியமாக்கிகளையும் கண்டறிக.

6. பின்வரும் முப்படி சமன்பாடுகளைத் தீர்க்க:
(i) 2x3 − 9x2 + 10x = 3
(ii) 8x3 − 2x2 − 7x + 3 = 0

7. x4 −14x2 + 45 = 0 எனும் சமன்பாட்டைத் தீர்க்க.
