கேள்விகளுக்கான பதில்கள், தீர்வுகள் - பயிற்சி 3.1: வியட்டாவின் சூத்திரங்கள் மற்றும் பல்லுறுப்புக் கோவைச் சமன்பாடுகளை உருவாக்குதல் (Vieta's Formulae and Formation of Polynomial Equations) | 12th Maths : UNIT 3 : Theory of Equations
பயிற்சி 3.1
1. ஒரு கனச் சதுரப் பெட்டியின் பக்கங்களை 1, 2, 3 அலகுகள் அதிகரிப்பதால் கனச்சதுரப் பெட்டியின் கொள்ளளவைவிட 52 கன அலகுகள் அதிகமுள்ள கனச் செவ்வகம் கிடைக்கிறது எனில், கன செவ்கத்தின் கொள்ளளவைக் காண்க.

2. கொடுக்கப்பட்ட மூலங்களைக் கொண்டு முப்படி சமன்பாடுகளை உருவாக்குக
(i) 1, 2, மற்றும் 3
(ii) 1,1, மற்றும் −2
(iii) 2, 1/2 மற்றும் 1

3. x3+ 2x2 + 3x + 4 = 0 எனும் முப்படி சமன்பாட்டின் மூலங்கள் α, β, மற்றும் γ எனில் கீழ்க்காணும் மூலங்களைக் கொண்டு முப்படி சமன்பாடுகளை உருவாக்குக.
(i) 2α, 2β மற்றும் 2γ
(ii) 1/α, 1/β மற்றும் 1/γ
(iii) −α, −β மற்றும் −γ

4. 3x3 −16x2 + 23x – 6 = 0 எனும் சமன்பாட்டின் இரு மூலங்களின் பெருக்கல் 1 எனில் சமன்பாட்டினைத் தீர்க்க.

5. 2x4 − 8x3 + 6x2 − 3 = 0 எனும் சமன்பாட்டின் மூலங்களின் வர்க்கங்களின் கூடுதல் காண்க.

6. x3 − 9x2 + 14x + 24 = 0 எனும் சமன்பாட்டின் இரு மூலங்கள் 3 : 2 என்ற விகிதத்தில் அமைந்தால், சமன்பாட்டை தீர்க்க.

7. α, β மற்றும் γ ஆகியன ax3 + bx2 + cx + d = 0 எனும் பல்லுறுப்புக்கோவை சமன்பாட்டின் மூலங்களாக இருப்பின், கெழுக்கள் வாயிலாக ∑α/(βγ) ன் மதிப்பைக் காண்க.

8. α, β, γ மற்றும் δ ஆகியன 2x4 + 5x3 − 7x2 + 8 = 0 எனும் பல்லுறுப்புக்கோவை சமன்பாட்டின் மூலங்கள் எனில், α + β + γ + δ மற்றும் αβγδ ஆகியவற்றினை மூலங்களாகவும் முழு எண்களை கெழுக்களாகவும் கொண்ட ஓர் இருபடி சமன்பாட்டைக் காண்க.

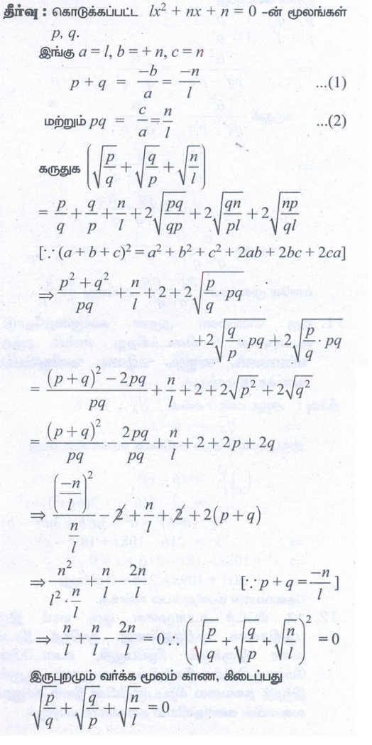
9. lx2 + nx + n = 0 எனும் சமன்பாட்டின் மூலங்கள் p மற்றும் q எனில், √(p/q) + √(q/p) + √(n/l) = 0 எனக் காட்டுக.

10. x2 + px + q = 0 மற்றும் x2 + p'x + q' = 0 ஆகிய இரு சமன்பாடுகளுக்கும் ஒரு பொதுவான மூலம் இருப்பின், அம் மூலம்
ஆகும் எனக்காட்டுக.

11. 12 மீட்டர் உயரமுள்ள ஒரு மரம் இரு பகுதிகளாக முறிந்துள்ளது. முறிந்த இடம் வரை இருக்கும் கீழ்ப்பகுதி, உடைப்பின் மேற்பகுதியின் நீளத்தின் கனமூலம் ஆகும். இந்தத் தகவலை கீழ்ப்பகுதியின் நீளம் காணும் வகையில் கணிதவியல் கணக்காக மாற்றுக.
