தனிநிலைக் கணிதம் | கணிதவியல் - பயிற்சி 12.3 : சரியான விடையினைதேர்ந்தெடுக்கவும் | 12th Maths : UNIT 12 : Discrete Mathematics
பயிற்சி 12.3
(1) S → S
(2) (S×S)→ S
(3) S →(S×S)
(4) (S×S)→(S×S)
விடை : (2) (S×S)→ S
2. கழித்தலின் கீழ் பின்வரும் கணம் அடைவு பெறவில்லை .
(1) ℝ
(2) ℤ
(3) ℕ
(4) ℚ
விடை : (3) N
3. பின்வருபவைகளில் எது ℕ -ன் மீது ஓர் ஈருறுப்புச் செயலி ஆகும்.
(1) கழித்தல்
(2) பெருக்கல்
(3) வகுத்தல்
(4) அனைத்தும்
விடை : (2) பெருக்கல்
4. மெய் எண்களின் கணம் ℝ -ன் மீது ‘*' பின்வருமாறு வரையறுக்கப்படுகிறது. இதில் எது ℝ –ன்மீது ஈருறுப்புச் செயலி அல்ல?
(1) a ∗ b = min (a.b)
(2) a ∗ b = max (a, b)
(3) a ∗ b = a
(4) a ∗ b = ab
விடை : (4) a ∗ b = ab

5. * என்ற ஈருறுப்புச் செயலி a*b = ab / 7 என வரையறுக்கப்படுகிறது. * எதன் மீது ஈருறுப்புச்செயலி ஆகாது?
(1) Q+
(2) Z
(3) R
(4) C
விடை : (2) Z

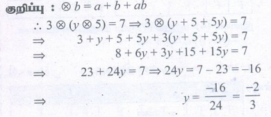
6. Q என்ற கணத்தில் a
b = a +b +ab என வரையறு. பின்னர் 3
( y
5)= 7 -ன் தீர்வு
(1) y = 2/3
(2) y = -2/3
(3) y = -3/2
(4) y = 4
விடை : (2) y = -2/3

7. R -ன் மீது a*b = √(a2 +b2) எனில், * ஆனது
(1) பரிமாற்று விதிக்கு கட்டுப்படும் ஆனால் சேர்ப்பு விதியை நிறைவு செய்யாது.
(2) சேர்ப்பு விதிக்கு கட்டுப்படும் ஆனால் பரிமாற்று விதியை நிறைவு செய்யாது.
(3) பரிமாற்று விதி மற்றும் சேர்ப்பு விதிகளை நிறைவு செய்யும்.
(4) பரிமாற்று விதி மற்றும் சேர்ப்பு விதிகளை நிறைவு செய்யாது.
விடை : (3) பரிமாற்று விதி மற்றும் சேர்ப்பு விதிகளை நிறைவு செய்யும்.

8. பின்வரும் கூற்றுகளில் எது T மெய்மதிப்பை பெற்றிருக்கும்?
(1) sin x ஓர் இரட்டைச் சார்பு.
(2) ஒவ்வொரு சதுர அணியும் பூச்சியமற்ற கோவை அணி ஆகும்.
(3) ஒரு கலப்பெண் மற்றும் அதன் இணை எண்ணின் பெருக்கற்பலன் முற்றிலும் கற்பனை.
(4) √5 ஒரு விகிதமுறா எண்
விடை : (4) √5 ஒரு விகிதமுறா எண்
9. பின்வருபவைகளில் எது மெய்மதிப்பு F ஐ பெற்றிருக்கும்?
(1) சென்னை இந்தியாவில் உள்ளது அல்லது √2 ஒரு முழு எண்
(2) சென்னை இந்தியாவில் உள்ளது அல்லது √2 ஒரு விகிதமுறா எண்
(3) சென்னை சீனாவில் உள்ளது அல்லது √2 ஒரு முழு எண்
(4) சென்னை சீனாவில் உள்ளது அல்லது √2 ஒரு விகிதமுறா எண்
விடை : (3) சென்னை சீனாவில் உள்ளது அல்லது √2 ஒரு முழு எண்
10. ஒரு கூட்டுக் கூற்றில் 3 தனிக்கூற்றுகள் உட்படுத்தப்பட்டிருந்தால் அம்மெய்மை அட்டவணையின்நிரைகளின் எண்ணிக்கை
(1) 9
(2) 8
(3) 6
(4) 3
விடை : (2) 8
குறிப்பு : நிரைகளின் எண்ணிக்கை = 23 = 8
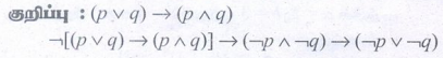
11. ( p ∨ q ) → ( p ∧q) -ன் எதிர்மறை கூற்று எது?
(1) ( p ∧ q ) → ( p ∨q)
(2) ¬( p ∨q ) → ( p ∧q)
(3) (¬ p ∨¬ q ) → (¬ p ∧¬q)
(4) (¬ p ∧¬ q ) → (¬ p ∨¬q)
விடை : (4) (¬ p ∧¬ q ) → (¬ p ∨¬q)

12. ( p ∨ q ) → r -ன் நேர்மாறுக் கூற்று எது?
(1) ¬ r → (¬ p ∧¬q)
(2) ¬ r → ( p ∨q)
(3) r → ( p ∧q)
(4) p → ( q ∨r)
விடை : (1) ¬ r → (¬ p ∧¬q)
13. ( p ∧ q ) ∨¬q -ன் மெய்மை அட்டவணை கீழே தரப்பட்டுள்ளது.

பின்வருபவைகளில் எது உண்மை ?

விடை : (3)

14. ¬ ( p ∨¬q)-ன்மெய்மை அட்டவணையில் கடைசி நிரலில் வரும் மெய் மதிப்பு 'F' விளைவுகளின்எண்ணிக்கை
(1) 1
(2) 2
(3) 3
(4) 4
விடை : (3) 3

15. பின்வருபவைகளில் எது சரியல்ல? p மற்றும் q ஏதேனும் இரு கூற்றுகளுக்கு பின்வரும் தர்க்க
சமானமானவைகள் பெறப்படுகிறது.
(1) ¬ ( p ∨ q) ≡ ¬p ∧¬q
(2) ¬ ( p ∧ q) ≡ ¬p ∨¬q
(3) ¬ ( p ∨ q) ≡ ¬p ∨ ¬q
(4) ¬ (¬p ) ≡ p
விடை : (3) ¬ ( p ∨ q) ≡ ¬p ∨ ¬q

16.

( p ∧ q)→ ¬ p? ன் மெய்மை அட்டவணைக்கு பின்வருபவைகளில் எது சரி?
(a) (b) (c) (d)
(1) T T T T
(2) F T T T
(3) F F T T
(4) T T T F
விடை : (2) F T T T

17. ¬ ( p ∨ q) ∨ [ p ∨( p ∧ ¬r)] -ன் இருமம்
(1) ¬ ( p ∧ q) ∧ [ p ∨( p∧ ¬r)]
(2) ( p ∧ q ) ∧[ p ∧ ( p ∨¬r)]
(3) ¬ ( p ∧ q) ∧ [ p ∧( p ∧ r)]
(4) ¬ ( p ∧ q) ∧ [ p ∧( p∨ ¬r)]
விடை : (4) ¬ ( p ∧ q) ∧ [ p ∧( p∨ ¬r)]
18. p ∧ (¬p ∨ q) என்ற கூற்று
(1) ஒரு மெய்மம்
(2) ஒரு முரண்பாடு
(3) p ∨ q - க்கு தர்க்க சமானமானவை
(4) p ∨ q -க்கு தர்க்க சமானமானவை
விடை : (3) p ∨ q - க்கு தர்க்க சமானமானவை

19. பின்வரும் ஒவ்வொரு கூற்றிற்கும் அதன் மெய் மதிப்பை தீர்மானிக்க.
(a) 4 + 2 = 5 மற்றும் 6 + 3 = 9
(b) 3 + 2 = 5 மற்றும் 6 + 1 = 7
(c) 4 + 5 = 9 மற்றும் 1 + 2 = 4
(d) 3 + 2 = 5 மற்றும் 4 + 7 =11
(a) (b) (c) (d)
(1) F T F T
(2) T F T F
(3) T T F F
(4) F F T T
விடை : (1) F T F T

20. பின்வருபவைகளில் எது உண்மையல்ல?
(1) ஒரு கூற்றின் மறுப்பின் மறுப்பு அக்கூற்றேயாகும்.
(2) ஒரு மெய்மை அட்டவணையில் இறுதி நிரல் முழுவதும் T எனில் அது ஒரு மெய்மமாகும்.
(3) ஒரு மெய்மை அட்டவணையில் இறுதி நிரல் முழுவதும் F எனில் அது ஒரு முரண்பாடாகும்.
(4) p மற்றும் q ஏதேனும் இரு கூற்றுகள் எனில் p ↔ q என்பது ஒரு மெய்மமாகும்.
விடை : (4) p மற்றும் q ஏதேனும் இரு கூற்றுகள் எனில் p ↔ q என்பது ஒரு மெய்மமாகும்.

பயிற்சி 12.3
