கேள்விகளுக்கான பதில்கள், தீர்வுகள் - பயிற்சி 11.4 : கணித எதிர்பார்ப்பு (Mathematical Expectation) | 12th Maths : UNIT 11 : Probability Distributions
பயிற்சி 11.4
1. கீழ்க்காணும் ஒரு சமவாய்ப்பு மாறி X -ன் நிகழ்தகவு நிறை சார்புகளுக்கு சராசரி மற்றும் பரவற்படி காண்க:


2. நான்கு சிவப்பு பந்துகள் மற்றும் மூன்று கருப்பு பந்துகள் கொண்ட ஒரு கூடையிலிருந்து பதிலீடாக இடாது அடுத்தடுத்து இரு பந்துகள் வெளியில் எடுக்கப்படுகின்றன. சிவப்பு பந்து வெளியில் எடுக்கும் சாத்திய கூறுகளை X என்க. X-ன் நிகழ்தகவு நிறை சார்பையும் சராசரியையும் காண்க.

3. μ மற்றும் σ2 ஆகியவை முறையே தனிநிலை சமவாய்ப்பு மாறி X -ன் சராசரி மற்றும் பரவற்படிமற்றும் E(X +3) = 10 மற்றும் E(X +3)2 = 116, எனில் μ மற்றும் σ2 காண்க.

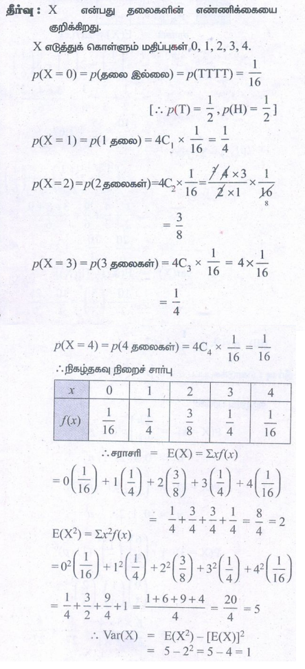
4. நான்கு சீரான நாணயங்கள் ஒரு முறை சுண்டப்படுகின்றன. தலைகளின் எண்ணிக்கைநிகழ்விற்கு நிகழ்தகவு நிறை சார்பு, சராசரி, மற்றும் பரவற்படி காண்க.

5. ஒரு பயணிகள் இரயில் ஒவ்வொரு அரை மணி நேரத்திற்கும் ஒரு நிலையத்திற்கு சரியானநேரத்தில் வந்து சேரும். ஒவ்வொரு நாள் காலையிலும், ஒரு மாணவர் தனது வீட்டிலிருந்து இரயில் நிலையத்திற்கு செல்கிறார். மாணவர் ரயில் நிலையத்தை அடையும் நேரத்திலிருந்து ரயிலுக்காக காத்திருக்கும் நேரத்தை X என நிமிடங்களில் குறிக்கலாம். X -ன் நிகழ்தகவு அடர்த்தி சார்பு


6. கணினி தயாரிக்கப்படும்போது ஆயிரக்கணக்கான மணிநேரம் பயன்படுத்தப்படும் ஒரு மின்னணு சாதனமொன்றின் பழுதடையும் நேரத்தின் அடர்த்தி சார்பு

ஆகும். இம்மின்னணு சாதனத்தின் எதிர்பார்க்கப்படும் ஆயுட்காலத்தை காண்க.

7. சமவாய்ப்பு மாறி X -ன் நிகழ்தகவு அடர்த்தி சார்பு

ஆகும். சமவாய்ப்பு மாறி X -ன் சராசரி மற்றும் பரவற்படி காண்க.

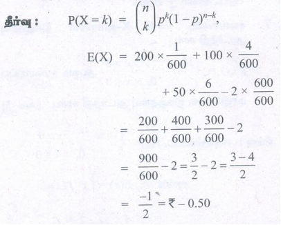
8. 600 டிக்கெட்டுகள் கொண்ட ஒரு லாட்டரியில் ஒரு பரிசு ₹. 200 -க்கும் நான்கு பரிசுகள் ₹.100 -க்கும், ஆறு பரிசுகள் 50 -க்கும் எனக்கொடுக்கிறது. டிக்கெட் செலவு 2 என்றால், ஒரு டிக்கெட்டின் எதிர்பார்க்கப்படும் வெற்றி தொகையைக் கண்டறியவும்.

(1) (i) 2.3 , 2.81 (ii) 1.67 , 0.56 (iii) 5/3 , 1/18 (iv) 2,4
(2) 
(3) 
(5) 15 நிமிடங்கள் (6) 1/3 (7) 1/2 , 1/8 (8) நட்டம் ₹. 0.50