கேள்விகளுக்கான பதில்கள், தீர்வுகள் - பயிற்சி 11.2 : சமவாய்ப்பு மாறிகளின் வகைகள் (Types of Random Variable) | 12th Maths : UNIT 11 : Probability Distributions
பயிற்சி 11.2
1. மூன்று சீரான நாணயங்கள் ஒரே நேரத்தில் சுண்டப்படுகின்றன. கிடைக்கும் தலைகளின்எண்ணிக்கைக்கான நிகழ்தகவு நிறை சார்பினைக் காண்க.

2. ஓர் அறுபக்க பகடையின் ஒரு பக்கத்தில் '1' எனவும், இரு பக்கங்களில் '3' மூன்று எனவும், மற்றும் ஏனைய மூன்று பக்கங்களில் '5' எனவும் குறிக்கப்பட்டுள்ளது. பகடை இருமுறை வீசப்படுகிறது. இருமுறை வீசப்பட்டதின் மொத்த எண்ணிக்கையை X குறிக்கிறது.
(i) நிகழ்தகவு நிறை சார்பு
(ii) குவிவு பரவல் சார்பு
(iii) P(4 ≤ X < 10)
(iv) P(X ≥ 6)

3. மகன் மற்றும் மகளுக்கு சமவாய்ப்பு நிகழ்தகவுகள் எனக் கருதி 4 குழந்தைகள் கொண்ட ஒருகுடும்பத்தில் உள்ள மகள்களின் எண்ணிக்கைக்கு நிகழ்தகவு நிறை சார்பினையும் குவிவு பரவல் சார்பினையும் காண்க.
4. ஒரு தனிநிலை சமவாய்ப்பு மாறி 0, 1, மற்றும் 2 மதிப்புகளை மட்டுமே கொள்ளும் என்க.

என வரையறுக்கப்பட்ட நிகழ்தகவு நிறை சார்பிற்கு
(i) k-இன் மதிப்பு
(ii) குவிவு பரவல் சார்பு
(iii) P(X ≥ 1) ஆகியவற்றைக் காண்க.

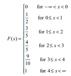
5.

எனக் கொடுக்கப்பட்ட ஒரு தனிநிலை சமவாய்ப்பு மாறியின் குவிவு பரவல் சார்பிற்கு
(i) நிகழ்தகவு நிறை சார்பு
(ii) P(X < 1) மற்றும்
(iii) P(X ≥ 2) காண்க

6. ஒரு சமவாய்ப்பு மாறி X-க்கு நிகழ்தகவு நிறைசார்பானது

எனில் (i) k மதிப்பு (ii) P(2 ≤ X < 5) (iii) P(3 < X) ஆகியவற்றைக் காண்க.

7.

என்பது ஒரு தனிநிலை சமவாய்ப்பு மாறியின் குவிவு பரவல் சார்பு எனில்
(i) நிகழ்தகவு நிறை சார்பு
(ii) P(X < 3) மற்றும்
(iii) P(X < 2) ஆகியவற்றைக் காண்க.

விடைகள் :
பயிற்சி 11.2
