14. இரு தளங்களின் வெட்டுக்கோட்டின் சமன்பாடு (Equation of line of intersection of two planes)
என்பன இணை அல்லாத இரு தளங்கள் என்க.
ஆகிய வெக்டர்கள் முறையே கொடுக்கப்பட்ட தளங்களுக்குச் செங்குத்தாகும். மேலும், இத்தளங்களின் வெட்டுக்கோடானது
என்ற இரு வெக்டர்களுக்கும் செங்குத்தாகும் என்பதால்,
என்ற வெக்டருக்கு இணையாகும்.
என்க.

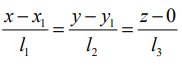
a1x + b1y + c1z = p மற்றும் a2x + b2y + c2z = q என்ற இரு தளங்களின் சமன்பாடுகளை எடுத்துக்கொள்வோம். கொடுக்கப்பட்ட இவ்விரு தளங்களின் வெட்டுக்கோடு குறைந்தபட்சம் ஒரு ஆய அச்சுத் தளத்தையாவது சந்திக்கும். நம் வசதிக்காக வெட்டுக்கோடு சந்திக்கும் ஆய அச்சுத் தளத்தை z=0 எனக்கொள்வோம். z=0 எனக்கொடுக்கப்பட்ட தளங்களின் தளங்களின் சமன்பாடுகளில் பிரதியிட்டு a1x + b1y − p = 0 மற்றும் a2x + b2y –q = 0 எ என்ற இரு சமன்பாடுகளைப் பெறலாம். இவ்விரு சமன்பாடுகளின் தீர்வு காண்பதால், x மற்றும் y−ன் மதிப்புகளை முறையே x1 மற்றும் y1 எனப் பெறலாம். எனவே,
வெக்டருக்கு இணையாக உள்ள கோட்டின் மீதுள்ள ஒரு புள்ளி, (x1,y1,0) ஆகும். ஆகவே, வெட்டுக் கோட்டின் சமன்பாடு
ஆகும்.