5. கொடுக்கப்பட்ட ஒரு புள்ளி வழிச் செல்வதும் இணை அல்லாத இரண்டு வெக்டர்களுக்கு இணையாகவும் உள்ள தளத்தின் சமன்பாடு (Equation of a plane passing through a given point and parallel to two given non−parallel vectors)
(a) துணையலகு வெக்டர் சமன்பாடு (Parametric form of vector equation)
என்ற நிலை வெக்டரைக் கொண்ட கொடுக்கப்பட்ட புள்ளி A வழிச் செல்வதும் கொடுக்கப்பட்ட இணை அல்லாத
என்ற இரு வெக்டர்களுக்கு இணையாகவும் ஒரு தளம் உள்ளது என்க.
தளத்தின் மீதுள்ள ஏதேனும் ஒரு புள்ளி P –ன்நிலை வெக்டர்
என்பன ஒரு தள வெக்டர்களாகும்.
எனவே,
என்ற வெக்டர்கள் அமைக்கும் தளத்தில் இருக்கும். ஆகவே,
எனுமாறு s, t ∈ ℝ என்ற திசையிலிகளைக் காணமுடியும். இதிலிருந்து
இங்கு s, t ∈ ℝ
எனப்பெறலாம்.
இது கொடுக்கப்பட்ட ஒரு புள்ளி வழிச் செல்வதும் இணை அல்லாத இரு வெக்டர்களுக்கு இணையானதுமான தளத்தின் துணையலகு வடிவ வெக்டர் சமன்பாடாகும்.
(b) துணையலகு அல்லாத வெக்டர் சமன்பாடு (Non−parametric form of vector equation)
சமன்பாடு (1)−ஐ பின்வருமாறு எழுதலாம்.

இது கொடுக்கப்பட்ட ஒரு புள்ளி வழிச் செல்வதும் கொடுக்கப்பட்ட இணை அல்லாத இரு வெக்டர்களுக்கு இணையானதுமான தளத்தின் துணையலகு அல்லாத வெக்டர் சமன்பாடாகும்.
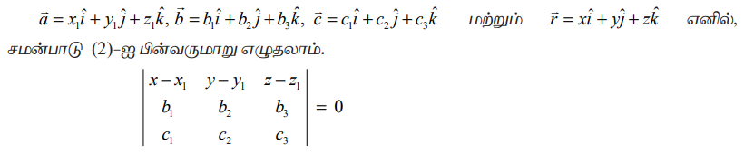
(c) கார்டீசியன் சமன்பாடு (Cartesian form of equation)

இது கொடுக்கப்பட்ட ஒரு புள்ளி வழிச் செல்வதும் கொடுக்கப்பட்ட இணை அல்லாத இரு வெக்டர்களுக்கு இணையானதுமான தளத்தின் கார்டீசியன் சமன்பாடாகும்.