வரையறை, எடுத்துக்காட்டு கணக்குகள் - அணிக்கோவை: முக்கோணத்தின் பரப்பு (Area of a triangle) | 11th Mathematics : UNIT 7 : Matrices and Determinants
முக்கோணத்தின் பரப்பு (Area of a triangle)
(x1, y1), (x2, y2) மற்றும் (x3, y3) என்ற உச்சிப்புள்ளிகளைக் கொண்ட முக்கோணத்தின் பரப்பானது ½ (x1 y2 – x2 y1 + x2 y3 – x3 y2 + x3 y1 − x1 y3)−ன் எண்ணளவாகும் என நாமறிவோம்.
இக்கோவையை அணிக்கோவை வடிவத்தில்
என எழுதலாம்.
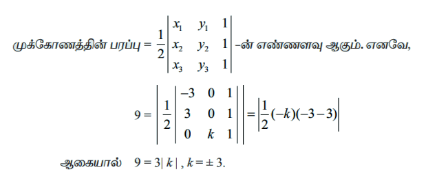
எடுத்துக்காட்டு 7.32
(− 3, 0), (3, 0), (0, k) என்ற உச்சிப்புள்ளிகளைக் கொண்ட முக்கோணத்தின் பரப்பு 9 சதுர அலகுகள் எனில், k −ன் மதிப்பைக் காண்க.
தீர்வு

ஆகையால் 9 = 3| k |, k = ± 3.
குறிப்பு 7.13
மூன்று புள்ளிகளால் உருவாக்கப்படும் முக்கோணத்தின் பரப்பு பூஜ்ஜியம் எனில், அம்மூன்று புள்ளிகளும் ஒரே கோட்டில் அமையும். இதன் மறுதலையும் உண்மையாகும். மேலும், அணிக்கோவையின் மதிப்பு குறை எண்ணாக இருக்கலாம். ஆனால், பரப்பு என்பது எப்போதும் ஒரு குறையற்ற எண்ணாகும் என்பதைக் கவனத்தில் கொள்ளவும்.
எடுத்துக்காட்டு 7.33
(−2, −3), (3, 2), (−1, − 8) என்ற உச்சிப்புள்ளிகளைக் கொண்ட முக்கோணத்தின் பரப்பைக் காண்க.
தீர்வு
முக்கோணத்தின் பரப்பு =

எனவே தேவையான பரப்பு 15 சதுர அலகுகள்.
எடுத்துக்காட்டு 7.34
(a, b+ c), (b, c + a), (c, a + b) என்பன ஒரு கோடமைப் புள்ளிகள் என நிறுவுக.
தீர்வு
கொடுக்கப்பட்ட புள்ளிகள் ஒரு கோடமைப் புள்ளிகள் என நிரூபிக்க

எனவே, கொடுக்கப்பட்ட புள்ளிகள் ஒரே கோட்டில் அமையும்.