7. ஒரு கோடு ஒரு தளத்தின் மீது அமைவதற்கான கட்டுப்பாடு (Condition for a line to lie in a plane)
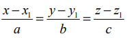
கொடுக்கப்பட்ட ஒரு கோட்டின் மீதுள்ள ஒவ்வொரு புள்ளியும், தளத்தின் மீது இருக்கும் எனவும், தளத்தின் செங்கோடு கொடுக்கப்பட்ட நேர்க்கோட்டிற்கு செங்குத்தாக அமையும் எனவும் இருப்பின், அந்நேர்க்கோடு தளத்தின் மீது அமையும். அதாவது,

(ii)
என்ற கோடு Ax + By + Cz + D = 0 என்ற தளத்தின் மீது இருந்தால், Ax1 + By1 + Cz1 + D = 0 மற்றும் aA + bB + cC = 0 ஆகும்.
எடுத்துக்காட்டு 6.45
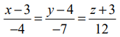
என்ற கோடு 5x−y+z=8 என்ற தளத்தில் அமையுமா எனச்சரிபார்க்க.
தீர்வு
இங்கு, (x1,y1,z1) = (3,4,−3) மற்றும் கோட்டின் திசை விகிதங்கள் (a,b,c) = (−4,−7,12) ஆகும். தளத்தின் செங்கோட்டின் திசை விகிதங்கள் (A,B,C) = (5,−1,1) ஆகும்.
கொடுக்கப்பட்ட புள்ளி (x1,y1,z1) = (3,4,−3) ஆனது 5x−y+z=8 என்ற தளத்தை நிறைவு செய்வதைக் காண்கிறோம். ஆனால், aA + bB + cC = (−4)(5) + (−7)( −1) + (12)(1) = −1 ≠ 0 என்பதால் தளத்தின் செங்கோடு கொடுக்கப்பட்ட கோட்டிற்கு செங்குத்தானது அல்ல. எனவே, கொடுக்கப்பட்ட கோடானது கொடுக்கப்பட்ட தளத்தின் மீது அமையாது.