சமன்பாட்டியல் - பயிற்சி 3.7: சரியான விடையைத் தேர்ந்தெடுக்க | 12th Maths : UNIT 3 : Theory of Equations
பயிற்சி 3.7
கொடுக்கப்பட்ட நான்கு விடைகளிலிருந்து சரியான அல்லது மிகப் பொருத்தமான விடையைத் தேர்ந்தெடுக்க.
1. x3 + 64 −ன் ஒரு பூச்சியமாக்கி
(1) 0
(2) 4
(3) 4i
(4) −4
விடை: (4) −4

2. f மற்றும் g என்பன முறையே m மற்றும் n படியுள்ள பல்லுறுப்புக்கோவைகள் மற்றும் h(x) = (f ° g) (x) எனில், h −ன் படியானது
(1) mn
(2) m + n
(3) mn
(4) nm
விடை: (1) mn
3. x −ல் n படியுள்ள ஒரு பல்லுறுப்புக்கோவைச் சமன்பாடு பெற்றுள்ள மூலங்கள்
(1) n வெவ்வேறு மூலங்கள்
(2) n மெய்யெண் மூலங்கள்
(3) n கலப்பெண் மூலங்கள்
(4) அதிகபட்சம் ஒரு மூலம்
விடை: (3) n கலப்பெண் மூலங்கள்
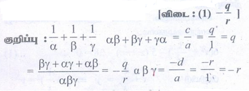
4. x3 + px2 + qx + r −க்கு α, β, மற்றும் γ என்பவை பூச்சியமாக்கிகள் எனில், ∑ 1/α −ன் மதிப்பு
(1) − q/r
(2) − p/r
(3) q/r
(4) − q/p
விடை: (1) − q/r

5. விகிதமுறு மூலத் தேற்றத்தின்படி பின்வருவனவற்றுள் எந்த எண் 4x7 + 2x4 −103 − 5 என்பதற்கு சாத்தியமற்ற விகிதமுறு பூச்சியமாகும்?
(1) −1
(2) 5/4
(3) 4/5
(4) 5
விடை: (3) 4/5

6. x3 − kx2 + 9x எனும் எனும் பல்லுறுப்புக்கோவைக்கு மூன்று மெய்யெண் பூச்சியமாக்கிகள் இருப்பதற்கு தேவையானதும் மற்றும் போதுமானதுமான நிபந்தனை
(1) |k| ≤ 6
(2) k = 0
(3) |k| > 6
(4) |k| ≥ 6
விடை: (4) |k| ≥ 6
7. [0, 2π] −ல் sin4 x − 2sin2 x + 1−ஐ நிறைவு செய்யும் மெய்யெண்களின் எண்ணிக்கை
(1) 2
(2) 4
(3) 1
(4) ∞
விடை: (1) 2

8. x3 + 12x2 + 10ax + 1999 −க்கு நிச்சயமாக ஒரு மிகையெண் பூச்சியமாக்கி இருப்பதற்கு தேவையானதும் மற்றும் போதுமானதுமான நிபந்தனை
(1) a ≥ 0
(2) a > 0
(3) a < 0
(4) a ≤ 0
விடை: (3) a < 0
9. x3 + 2x + 3 எனும் பல்லுறுப்புக்கோவைக்கு
(1) ஒரு குறை மற்றும் இரு மெய்யெண் பூச்சியமாக்கிகள் இருக்கும்
(2) ஒரு மிகை மற்றும் இரு மெய்யற்ற கலப்பெண் பூச்சியமாக்கிகள் இருக்கும்
(3) மூன்று மெய்யெண் பூச்சியமாக்கிகள் இருக்கும்
(4) பூச்சியமாக்கிகள் இல்லை
விடை: (1) ஒரு குறை மற்றும் இரு மெய்யெண் பூச்சியமாக்கிகள் இருக்கும்

10.
எனும் பல்லுறுப்புக்கோவையின் மிகையெண் பூச்சியமாக்கிகளின் எண்ணிக்கை
(1) 0
(2) n
(3) <n
(4) r
விடை: (2) n
