I. சரியான விடையைத் தேர்வு செய்க
1. A → B என்ற முதல் வகை வினையின் வினைவேக மாறிலி x min-1.A ன் துவக்கச் செறிவு 0.01 M எனில் ஒரு மணி நேரத்திற்குப் பிறகு A ன் செறிவு
அ) 0.01e-x
ஆ) 1 × 10-2 (1-e-60x)
இ) (1 × 10-2) e-60x
ஈ) இவை எதுவுமல்ல
விடை : இ) (1 × 10-2) e-60x
விளக்கம்:

இந்நேர்வில்
k = x min-1 and [A°] = 0.01 M = 1 × 10-2 M
t = 1 hour = 60 min
[A] =1 × 10-2 (e-60x)
2. x → விளைபொருள் என்ற பூஜ்ய வகை வினையில்துவக்கச் செறிவு 0.02 M மேலும் அரை வாழ்காலம் 10 min. 0.04 M துவக்கச் செறிவுடன் ஒருவர் வினையினை நிகழ்த்தினால் அவ்வினையின் அரை வாழ்காலம்
அ) 10s
ஆ) 5 min
இ) 20 min
ஈ) கொடுக்கப்பட்டுள்ள விவரங்களிலிருந்து யூகித்து அறிய முடியாது
விடை : இ) 20 min
விளக்கம்:
n ≠ 1 t ½ = (2n-1 -1) / (n-1) k[Ao]n-1
n = 0 t ½ = 1 / 2k[Ao]n-1
t ½ = [Ao] / 2k
t ½ = ɑ [Ao] ----------(1)
கொடுக்கப்பட்டவை
[Ao] = 0.02 M; t ½ = 10 min
[Ao] = 0.04 M; t ½ = ?
சமன்பாடு (1) பிரதியிட
10 min α 0.02 M ..................(2)
t ½ α 0.04 M ------------ (3)
(3) / (2)
⇒ t ½ / 10min 0.04 M / 0.02 M
t ½ = 2 × 10 min = 20 min
3. ஒரு வினையின் வினைவேக மாறிலி மற்றும் வெப்ப நிலைக்கு இடையேயான வரைபடம் பின்வருமாறு, இவற்றுள் வெப்பநிலை முழுமைக்கும் அர்ஹீனியஸ் தன்மையினைக் குறிப்பிடும் வரைபடம் எது?

ஈ) ஆ) மற்றும் இ)ஆகிய இரண்டும்
விடை :

விளக்கம்:
k = Ae-(Ea/RT)
lnk = ln A – (Ea/R) (1/T)
இச்சமன்பாடு நேர்கோட்டு வடிவில் உள்ளது. y = c + m
lnk Vs (1/t) வரைபடம் எதிர்குறி சாய்வுடன் கூடிய நேர்கோட்டினைத் தருகிறது.
4. A → விளைபொருள் என்ற முதல் வகை வினை யில் துவக்கச் செறிவு x mol L-1 மேலும் அரை வாழ்காலம் 2.5 hours. இதே வினைக்கு துவக்கச் செறிவு (x / 2)mol L-1 ஆக இருப்பின், அரை வாழ் காலம்
அ) (2.5 × 2) hours
ஆ) (2.5 / 2) hours
இ) 2.5 hours
ஈ) வினைவேக மாறிலியின் மதிப்பினைத் தெரியாமல் கொடுக்கப்பட்டுள்ள விவரங்களிலிருந்து pppன் மதிப்பினைக் கண்டறிய இயலாது.
விடை : இ) 2.5 hours
விளக்கம்:
முதல் வகை வினைக்கு
t ½ = 0.693 / k
t ½ ஆனது தொடக்கச் செறிவினைப் பொறுத்து அமையாத ஒரு மாறிலி t ½ = 2.5 hrs
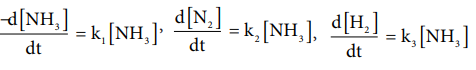
5. 2NH3 →N2 + 3H2 என்ற வினைக்கு
எனில், k1 k2 மற்றும் k3 ஆகியவைகளுக்கிடையேயான தொடர்பு
அ) k1 =k2 = k3
ஆ) k1 = 3k2 = 2k3
இ) 1.5k1 = 3k2 = k3
ஈ) 2k1 =k2= 3k3
விடை : இ) 1.5k1 = 3k2 = k3
விளக்கம்:

= 1.5k1 = 3k2 =k3
6. குறைந்த அழுத்தத்தில் டங்ஸ்டன் புறப்பரப்பில் பாஸ்பைனின் (PH3) சிதைவு வினை ஒரு முதல் வகை வினையாகும். ஏனெனில்
அ) வினைவேகமானது கவரப்பட்ட புறப்பரப்பிற்கு நேர் விகிதத்தில் உள்ளது
ஆ) வினைவேகமானது கவரப்பட்ட புறப்பரப்பிற்கு எதிர் விகிதத்தில் உள்ளது
இ) வினைவேகமானது கவரப்பட்ட புறப்பரப்பினைச் சார்ந்து அமைவதில்லை.
ஈ) சிதைவடைதல் வேகம் மெதுவானதாகும்.
விடை : இ) வினைவேகமானது கவரப்பட்ட புறப் பரப்பினைச் சார்ந்து அமைவதில்லை.
விளக்கம்:
கொடுக்கப்பட்டவை: குறைவான அழுத்த மதிப்பில் வினைவேகம் α. (வினைபடு பொருள்)1 முதல் வகை வினை. எனவே, வினைவேகம் α. (புறப்பரப்பு)
வினைவேகம் அதிக அழுத்தத்தில் புறப்பரப்பு முழுவதும் கவரப்படுவதால் வினை பூஜ்ய வகை வினையாகும்.
வினைவேகம் α. (வினைபடு பொருள்]0 எனவே, வினைவேகம் புறப்பரப்பைப் பொறுத்து அமைவதில்லை.
7. ஒரு வினைக்கு, வினைவேகம் = k (அசிட்டோன்]3/2 எனில், வினைவேக மாறிலி மற்றும் வினைவேகம் ஆகியனவற்றின் அலகுகள் முறையே
அ) (mol L-1s-1), (mol-1/2 L1/2 s-1)
ஆ) (mol-1/2 L1/2s-1), (mol L-1 s-1)
இ) (mol1/2 L1/2s-1), (mol L-1 s-1)
ஈ) (mol Ls-1), (mol1/2 L1/2 s-1)
விடை : ஆ) (mol-1/2 L1/2s-1), (mol L-1 s-1)
விளக்கம்:
வினைவேகம் = k [A]n
வினைவேகம் = -d[A] / dt
வினைவேகத்தின் அலகு = mol L-1 / s
வினைவேக மாறிலியின் அலகு = mol L-1 S-1 / (mol L-1)n
= mol1-n L n -1s-1
இந்நேர்வில் வினைவேகம் = k[அசிட்டோன்]3/2
n = 3 / 2
mol1-(1/2) L(3/2)-1 S-1
mol1-(1/2) L(1/2) S-1
8. ஒரு வேதிவினையின் போது சேர்க்கப்படும் வினை வேக மாற்றி பின்வருவனவற்றுள் எதனை மாற்றி யமைக்கிறது? (NEET)
அ) என்தால்பி
ஆ) கிளர்வு ஆற்றல்
இ) என்ட்ரோபி
ஈ) அக ஆற்றல்
விடை : ஆ) கிளர்வு ஆற்றல்
விளக்கம்:
வினைவேக மாற்றி குறைவான கிளர்வு ஆற்றல் உடைய ஒரு புதிய வழியினை ஏற்படுத்துகிறது.
9. பின்வரும் கூற்றுகளைக் கருதுக.
i. வினைபடு பொருட்களின் செறிவு அதிகரிப்பானது, பூஜ்ய வகை வினையின் வினைவேகத்தினை அதிகரிக்கிறது.
ii. Ea = 0 எனில் வினைவேக மாறிலி k ஆனது மோதல் எண் A க்குச் சமமாகிறது.
iii. Ea = எனும் போது, வினைவேக மாறிலி k ஆனது மோதல் எண் A க்குச் சமமாகிறது.
iv. In (k) vs T வரைபடம் ஒரு நேர்கோடாகும்.
v. In(k) Vs (1/T) வரைபடம் நேர்க்குறி சாய்வுடன் கூடிய ஒரு நேர்கோடாகும்.
சரியான கூற்றுக்களாவன
அ) (ii) மட்டும்
ஆ) (ii) மற்றும் (iv)
இ) (ii) மற்றும் (v)
ஈ) (i), (ii) மற்றும் (v)
விடை : அ) (ii) மட்டும்
விளக்கம்:
பூஜ்ய வகை வினைகளில், வினைபடு பொருட் களின் செறிவு அதிகரிப்பானது வினை வேகத் தினை மாற்றியமைப்பதில்லை. எனவே கூற்று (i) தவறு
k = Ae –[Ea/RT]
Ea = 0 எனவே, கூற்று (ii) சரி மேலும் கூற்று (iii) தவறு
k = Aeo

இச்சமன்பாடு ஒரு நேர்கோட்டு வடிவில் உள்ளது. y = c + m
Lnk Vs (l/T) வரைபடமானது எதிர்குறி சாய்வுடன் கூடிய நேர்கோடாகும்.
(iv) மற்றும் (v) ஆகிய கூற்றுகள் தவறானவை.
10. ஒரு மீள் வினையில், முன்னோக்கிய வினையின் என்தால்பி மாற்றம் மற்றும் கிளர்வு ஆற்றல்கள் முறையே -x kJ mol-1மற்றும் y kJ mol-1 ஆகும். எனவே, பின்னோக்கிய வினையின் கிளர்வு ஆற்றல்
அ) (y - x) kJ mol-1
ஆ) (x + y) | mol-1
இ) (x - y) kJ mol-1
ஈ) (x + y) x 103 J mol-1
விடை : ஈ) (x + y) x 103 J mol-1
விளக்கம்:

(x + y)kJmol-1
(x + y)x10 Jmol-1
11. வெப்பநிலை 200 K ல் இருந்து 400 K க்கு உயர்த்தப்படும் போது வினைவேகம் இரு மடங்கு அதிகரித்தால், கிளர்வு ஆற்றலின் மதிப்பு யாது?
(R = 8.314 JK-1 mol-1)
அ) 234.65 kJ mol-1K-1
ஆ) 434.65 kJ mol-1K-1
இ) 434.65 J mol-1K-1
ஈ) 334.65 J mol-1K-1
விடை : இ) 434.65 J mol-1K-1
விளக்கம்:
T1 = 200K; k = k1
T2 = 200K;k = k2 = 2k1

Ea = 434.65Jmol-1
12.
இவ்வினை முதல் வகை வினையைச் சார்ந்தது. ஒரு குறிப்பிட்ட வெப்ப நிலையில் வினைவேக மாறிலி 2.303 × 10-2 hour1 வளைய புரப்பேனின் துவக்கச் செறிவு 0.25M எனில், 1806 நிமிடங்களுக்குப் பின் வளைய புரப்பேனின் செறிவு என்ன?
அ) 0.125M
ஆ) 0.215 M
இ) 0.25 x 2.303 M
ஈ) 0.05 M
விடை : அ) 0.125 M
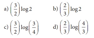
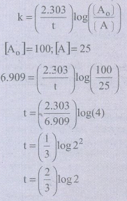
13. ஒரு முதல் வகை வினைக்கு, வினைவேக மாறிலி 6.909 min-1 எனில் 75% வினை நிறைவு பெற தேவையான காலம் (நிமிடங்கள்)

விடை : b)
விளக்கம்:

14. x → y என்ற முதல் வகை வினையில் k என்பது வினைவேக மாறிலி, மேலும் x ன் துவக்கச் செறிவு 0.1 M எனில், அரை வாழ்காலம்

ஈ) இவை எதுவுமல்ல
விடை: இ)
விளக்கம் :

15. 2A + B → C + 3D என்ற வினையின் வேக விதியினைக் கொடுக்கப்பட்டுள்ள பின்வரும் விவரங் களிலிருந்து கண்டறிக.

அ) வினைவேகம் = k[A] 2 [B]
ஆ) வினைவேகம் = k[A][B] 2
இ) வினைவேகம் = k[A][B]
ஈ) வினைவேகம் = k[A]1/2 [B]3/2
விடை : ஆ. வினை வேகம் = k[A][B] 2
விளக்கம் :

16. கூற்று : ஒரு வினை முதல் வகை வினையாக இருந்தால், வினைபடு பொருளின் செறிவு இரு மடங்காகும் போது, வினை வேகமும் இரு மடங்காகும்.
காரணம் : வினைவேக மாறிலியும் இரு மடங்கு ஆகும்.
அ) கூற்று மற்றும் காரணம் இரண்டும் சரி, மேலும் காரணமானது கூற்றிற்கு சரியான விளக்கமாகும்.
ஆ) கூற்று மற்றும் காரணம் இரண்டும் சரி, ஆனால் காரணமானது கூற்றிற்கு சரியான விளக்கமல்ல.
இ) கூற்று சரி ஆனால் காரணம் தவறு
ஈ) கூற்று மற்றும் காரணம் இரண்டும் தவறு.
விடை : இ. கூற்று சரி ஆனால் காரணம் தவறு
விளக்கம்:
ஒரு முதல் வகை வினைக்கு வினைபடு பொருளின் செறிவை இரு மடங்காக்கும் போது வினையின் வேகமும் இரு மடங்காகும். வினைவேக மாறிலி வினைபடு பொருளின் செறிவைப் பொறுத்து அமையாது. மேலும் மாறாத வெப்பநிலையில் இது ஒரு மாறிலியாகும்.
17. ஒரு வினையின் வினைவேக மாறிலியின் மதிப்பு 5.8 × 10-2 s-1. அவ்வினையின் வினைவகை
அ) முதல் வகை
ஆ) பூஜ்ய வகை
இ) இரண்டாம் வகை
ஈ) மூன்றாம் வகை
விடை : அ. முதல் வகை
விளக்கம்:
வினைவேக மாறிலியின் அலகு S-1. மேலும் வினையானது முதல் வகை வினையாகும்.
18. N2O5(g) → 2NO2(g) + (1/2)O2(g) என்ற வினைக்கு N2O5 ன் மறையும் வேகமானது 6.5 × 10-2 mol L-1 S-1 NO2 மற்றும் O2 ஆகியவைகளின் உருவாதல் வேகங்கள் முறையே
அ) (3.25 × 10-2 mol L-1s-1) மற்றும் (1.3 × 10-2mol L-1s-1)
ஆ) (1.3 × 10-2 mol L-1s-1) மற்றும் (3.25 × 10-2 mol L-1s-1)
இ) (1.3 × 101 mol L-1s-1) மற்றும் (3.25 × 10-2 mol L-1s-1)
ஈ) இவை எதுவுமில்லை
விடை : இ) (1.3 × 101 mol L-1s-1) மற்றும் (3.25 × 10-2 mol L-1s-1)
விளக்கம்:

19. H2O2 சிதைவடைந்து O2 வைத் தரும் வினையில் ஒரு குறிப்பிட்ட நேரத்தில் ஒரு நிமிடத்திற்கு 48g O2 உருவானால் அக்குறிப்பிட்ட நேரத்தில் நீரின் உருவாதல் வேகம்
அ) 0.75 mol min-1
ஆ) 1.5 mol min-1
இ)2.25 mol min-1
ஈ) 3.0 mol min-1
விடை : ஈ) 3.0 mol min-1
விளக்கம்:

ஆக்சிஜனின் மோல்களின் எண்ணிக்கை = (48/32) = 1.5 mol
நீரின் உருவாதலின் வினைவேகம்
2 × 1.5 = 3mol min-l
20. வினைபடு பொருளின் துவக்கச் செறிவு இரு மடங்கானால், வினை பாதியளவு நிறைவு பெற தேவையான காலமும் இரு மடங்காகிறது எனில் அவ்வினையின் வகை
அ) பூஜ்ஜியம்
ஆ) ஒன்று
இ) பின்னம்
ஈ) எதுவுமல்ல
விடை : அ. பூஜ்ஜியம்
விளக்கம்:
ஒரு முதல் வகை வினைக்கு t ½ ஆனது துவக்கச் செறிவை பொறுத்து அமைவதில்லை. ஃn ≠ 1
t ½ ɑ (1) / [Ao]n-1 ---------(1)
If[Ao] = 2[Ao]; எனில் t ½ = 2t ½
2t ½ ɑ (1) / [2Ao]n-1 ---------(2)
(2)/(1) ⇒ 2 = 1/[2Ao]n-1 × [Ao]n-1 / 1
2 = [Ao]n-1 / [2Ao]n-1
2 = (1/2)n-1
2 = (2-1)n-1
21 = (2-n+1)
n = 0
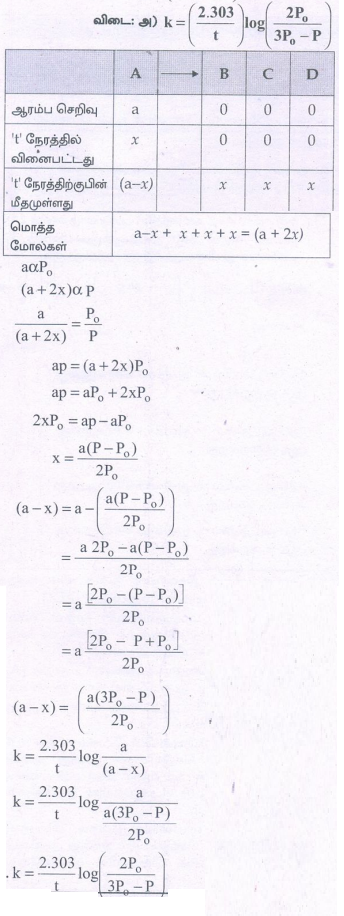
21. A → B + C + D என்ற ஒரு படித்தான வினையில், துவக்க அழுத்தம் Po. 't' நேரத்திற்குப் பின் 'P'.Po. P மற்றும் t ஆகியவற்றைப் பொறுத்து வினைவேக மாறிலி

விடை : அ)

22. ஒரு முதல் வகை வினையானது 60 நிமிடங்களில் 75% நிறைவு பெறுகிறது. அதே வினை, அதே நிபந்தனைகளில் 50% நிறைவு பெறத் தேவையான காலம்
அ) 20 min
ஆ) 30 min
இ) 35 min
ஈ) 75 min
விடை : ஆ. 30 min
விளக்கம்:
t75% = 2t50%
t50% = (t75%/2) = (60/2) = 30min
23. ஒரு கதிரியக்கத் தனிமத்தின் அரைவாழ் காலம் 140 நாட்கள் எனில் 560 நாட்களுக்குப் பின்னர் 1g தனிமமானது பின்வருமாறு குறைந்திருக்கும்.
அ) (1/2)g
ஆ) (1/4)g
இ) (1/8)g
ஈ) (1/16)g
விடை : ஈ) (1/16)g
விளக்கம் :
140 நாட்களில் = துவக்கச் செறிவானது (1/2)g ஆக குறைகிறது.
280 நாட்களில் = துவக்கச் செறிவானது (1/4)g ஆக குறைகிறது.
420 நாட்களில் = துவக்கச் செறிவானது (1/8)g ஆக குறைகிறது.
560 நாட்களில் = துவக்கச் செறிவானது (1/16)g ஆக குறைகிறது.
24. முதல் மற்றும் இரண்டாம் வகை வினைகளுக்கிடையேயான சரியான வேறுபாடு (NEET)
அ) வினைவேக மாற்றியினை முதல் வகை வினைக்கு பயன்படுத்தலாம், இரண்டாம் வகை வினைக்கு பயன்படுத்த இயலாது.
ஆ) முதல் வகை வினையின் அரைவாழ் காலம் [A°] ஐப் பொறுத்து அமைவதில்லை. இரண்டாம் வகை வினையின் அரைவாழ் காலம் [A°] ஐப் பொறுத்து அமையும்.
இ) முதல் வகை வினையின் வேகம், வினைபடு பொருட்களின் செறிவினைச் சார்ந்து அமைவ தில்லை. இரண்டாம் வகை வினையின் வினை வேகம் வினைபடு பொருட்களின் செறிவினைச் சார்ந்து அமையும்.
ஈ) முதல் வகை வினையின் வேகம், வினைபடு பொருட்களின் செறிவினைச் சார்ந்து அமையும். இரண்டாம் வகை வினையின் வினைவேகம் வினைபடு பொருட்களின் செறிவினைச் சார்ந்து அமையாது.
விடை : ஆ) முதல் வகை வினையின் அரைவாழ் காலம் [A°] ஐப் பொறுத்து அமைவ தில்லை. இரண்டாம் வகை வினையின் அரைவாழ்காலம் [A°] ஐப் பொறுத்து அமையும்.
விளக்கம் :
ஒரு முதல் வகை வினைக்கு t ½ = 0.6932/ k
ஒரு இரண்டாம் வகை வினைக்கு t ½ = 2n-1 -1 / (n-1)k[Ao]n-1
n = 2
t ½ = 22-1 -1 / (2-1)k[Ao]2-1
t ½ = 1 / k[Ao]

25. ஒரு கதிரியக்கத் தனிமமானது இரண்டு மணி நேரத்தில் அதன் ஆரம்ப அளவில் (1/16) மடங்காகக் குறைகிறது. அதன் அரைவாழ் காலம்
அ) 60 min
ஆ) 120 min
இ) 30 min
ஈ) 15 min
விடை : இ. 30 min
விளக்கம் :

II.பின்வரும் வினாக்களுக்கு விடையளி
1. சராசரி வினை வேகம் மற்றும் குறிப்பிட்ட நேரத்தில் வினைவேகம் ஆகியனவற்றை வரையறு.
• சராசரி வினை வேகம் : வினைபடு பொருட்களின் செறிவில் ஏற்படும் மாற்றத்திற்கும், நேரத்தில் ஏற்படும் மாற்றத்திற்கும் இடையே உள்ள விகிதம் என வரையறுக்கப்படுகிறது.
சராசரி வினைவேகம் = -(வினைபொருளின் இறுதிச் செறிவு - வினைபடு பொருளின் ஆரம்பச் செறிவு) / நேரத்தில் ஏற்படும் மாற்றம்
• குறிப்பிட்ட நேரத்தில் வினை வேகம் : வினை நிகழும் போது, ஒரு குறிப்பிட்ட நேரத்தில் அவ்வினை வேகமானது அக்கணத்தில் வினைவேகம் அல்லது குறிப்பிட்ட நேரத்தில் வினைவேகம் என வரையறுக்கப்படுகிறது.
2. வேக விதி மற்றும் வினைவேக மாறிலியினை வரையறு.
• வேக விதி என்பது ஒரு வினையின் வேகம், வினைவேக மாறிலி மற்றும் வினைபடு பொருட் களின் செறிவுகள் ஆகியவற்றை தொடர்பு படுத்தும் சமன்பாடு ஆகும்.
எ.கா: xA + yB → விளைபொருள் இவ்வினையின் வேக விதி என்பது வினை வேகம் = k[A] m [B]n
• வினைவேக மாறிலி என்பது ஒரு வினையில் ஈடுபடும் ஒவ்வொரு வினைபடு பொருளின் செறிவும் 1 mol L-1 ஆக உள்ள போது அவ்வினையின் வேகத்திற்கு சமம் என வரையறுக்கப் படுகிறது.
மேற்கண்ட வினையில் [A] = [B] = 1 mol L-1எனில், வினைவேக மாறிலி k = வினை வேகம்.
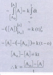
3. A → விளைபொருள் என்ற பூஜ்ய வகை வினைக்கான தொகைப்படுத்தப்பட்ட வேக விதியினை வருவிக்க.
A → விளைபொருள்
இது ஒரு பூஜ்ய வகை வினை எனில், இவ் வினையின் வேகம் வினைபடு பொருளின் செறிவைச் சார்ந்தது அல்ல. எனவே இவ்வினை யின் வேக விதி என்பது,
வினை வேகம் = k[A]°
= d[A] / dt = k[A]o
= d[A] / dt = k.l
ஃ-d[A] = k dt
t = 0 எனும் போது செறிவு (A.]° மற்றும் t = t எனும் போது செறிவு[A] என அமையும் எல்லையில் மேற்கண்ட சமன்பாட்டை தொகையிட,

மேற்கண்ட சமன்பாட்டை மாற்றியமைக்க
(A) = -kt + [A°]
இச்சமன்பாடு y = mx + c வடிவில் உள்ளது.
[A] Vs t வரைபடமானது ஒரு நேர்கோடு ஆகும்.
y அச்சில் y = [A]
x அச்சில் x = t
சரிவு m = -k
y வெட்டுத்துண்டு c = [A°]
4. ஒரு வினையின் அரைவாழ் - காலத்தை வரையறு. ஒரு முதல் வகை வினையின் அரைவாழ் காலம் துவக்கச் செறிவைச் சார்ந்து அமைவதில்லை எனக் காட்டுக.
• ஒரு வினையில் வினைபடு பொருளின் செறி வானது அதன் துவக்க அளவில் சரிபாதியாக குறைவதற்குத் தேவைப்படும் காலம் அவ் வினையின் அரைவாழ் காலம் எனப்படும்.
• முதல் வகை வினையின் அரைவாழ் காலம் ஒரு மாறிலியாகும்.
• அதாவது முதல் வகை வினையின் அரைவாழ் காலம் வினைபடு பொருளின் துவக்கச் செறி வினைப் பொறுத்து அமைவதில்லை.
• முதல் வகை வினையின் வினைவேக மாறிலி

மேற்கண்ட சமன்பாட்டில் செறிவு உறுப்பு இல்லை. எனவே முதல் வகை வினையின் அரைவாழ் காலம் துவக்கச் செறிவைச் சார்ந்து அமைவதில்லை.
5. அடிப்படை வினைகள் என்றால் என்ன? ஒரு வினையின் வினை வகை மற்றும் மூலக்கூறு எண் ஆகியனவற்றிற்கு இடையேயான வேறுபாடுகள் யாவை?
• ஒரு வினை வழி முறையில் அடங்கியுள்ள ஒவ்வொரு தனித்த படி நிலையும் அடிப்படை வினைகள் என , அழைக்கப்படுகின்றன.
வினை வகை
1. சோதனை மூலம் கண்டறியப்பட்ட வேக விதியில் இடம் பெற்றுள்ள செறிவு உறுப்புகளின் அடுக்கு களின் கூடுதல் வினை வகை எனப்படும்.
2.பூஜ்யமாகவோ, பின்னமாகவோ பிற முழு எண்களாகவோ இருக்கலாம்.
3. ஒட்டுமொத்த வினைக்கும் வினைவகை வழங்கப்படுகிறது.
மூலக்கூறு எண்
1. ஒரு அடிப்படை வினையில், இடம்பெறும் வினைபடு மூலக்கூறுகளின் மொத்த எண்ணிக்கை மூலக்கூறு எண் எனப்படும்
2. இது எப்போதும் முழு எண் மதிப்பினை மட்டுமே பெறும். பூஜ்யமாகவோ, பின்ன எண்ணாகவோ இருக்க முடியாது.
3. வினைவழி முறையில் இடம் பெற்றுள்ள ஒவ்வொரு படிநிலைக்கும் மூலக்கூறு எண் வழங்கப்படுகிறது.