வரையறை, தேற்றம், நிரூபணம், எடுத்துக்காட்டு கணக்குகள் - டி மாய்வரின் தேற்றமும் அதன் பயன்பாடுகளும் (de Moivre's Theorem and its Applications) | 12th Maths : UNIT 2 : Complex Numbers
டி மாய்வரின் தேற்றமும் அதன் பயன்பாடுகளும் (de Moivre's Theorem and its Applications)

டி மாய்வர் (1667 – 1754)
ஆபரகாம் டி மாய்வர் (1667 − 1754) என்ற கணிதவியல் அறிஞர் முக்கோணவியலில் கலப்பு எண்களைப் பயன்படுத்தினார்.
(cos θ + isin θ)n = (cos nθ + isin nθ) எனும் சூத்திரம் அவரது பெயரால் அறியப்படுகின்றது.
முக்கோணவியலை வடிவியலின் ஆதிக்கத்தில் இருந்து மீட்டெடுத்து பகுப்பாய்விற்குள் கொண்டு செல்ல அவர் பெயரால் வழங்கும் இச்சூத்திரமே தூண்டுகோலாக அமைந்தது.
டி மாய்வரின் தேற்றம்
கொடுக்கப்பட்ட கலப்பெண் cos θ + isin θ மற்றும் n என்ற முழு எண்ணிற்கு (cos θ + isin θ)n = (cos nθ + isin nθ)
கிளைத்தேற்றம்
(1) (cos θ − isin θ)n = cos nθ − isin nθ
(2) (cos θ + isin θ)−n = (cos nθ − isin nθ)
(3) (cos θ − isin θ)−n = cos nθ + isin nθ
(4) sin θ + i cos θ = i (cos θ − isin θ).
நாம் இப்பொழுது டிமாய்வரின் தேற்றத்தை கலப்பெண்களை சுருக்குதல் மற்றும் சமன்பாடுகளைத் தீர்த்தல் போன்றவற்றிற்கு பயன்படுத்துவோம்.
எடுத்துக்காட்டு 2.28
z = (cos θ + isin θ) எனில், zn + 1/zn = 2 cos nθ மற்றும் zn − 1/zn = 2isin nθ என நிறுவுக.
தீர்வு
z = (cos θ + isin θ) என்க
டி மாய்வரின் தேற்றப்படி
zn = (cos θ + isin θ)n = (cos nθ + isin nθ)
1/zn = z−n = cos nθ − isin nθ
ஆகவே, zn + 1/zn = (cos nθ + isin nθ) + (cos nθ − isin nθ)
zn + 1/zn = 2 cos nθ
இதுபோலவே,
zn − 1/zn = (cos nθ + isin nθ) − (cos nθ − isin nθ)
zn − 1/zn = 2 isin nθ
எடுத்துக்காட்டு 2.29
சுருக்குக 
தீர்வு
ஆக எழுதலாம்.
இருபுறமும் 18−ன் அடுக்கிற்கு உயர்த்த,

எடுத்துக்காட்டு 2.30
சுருக்குக 
தீர்வு
z = cos 2θ + isin 2θ என்க

= cos 60θ + isin 60θ .
எடுத்துக்காட்டு 2.31
சுருக்குக (i) (1 + i)l8
(ii) (−√3 + 3i)31
தீர்வு
(i) (1 + i)l8
1 + i = r (cos θ + isin θ) என்க
r = √[12 + 12 ] = √2 ; α = tan−1[1/1] = π/4 ,
θ = α = π/4 (∵ 1 + i ஆனது முதலாம் கால் பகுதியில் உள்ளதால்)
ஆகவே, 1 + i = √2 ( cos π/4 + isin π/4 )
இருபுறமும் 18−ன் அடுக்கிற்கு உயர்த்த,

டி மாய்வரின் தேற்றப்படி,

θ = π – α = π – π/3 = 2π/3 (∵−√3 + 3i ஆனது II−ஆம் கால் பகுதியில் உள்ளதால்)
ஆகவே, −√3 + 3i = 2√3 (cos 2π/3 + isin 2π/3)
இருபுறமும் 31−ன் அடுக்கிற்கு உயர்த்த,

கலப்பெண்களின் மூலங்களைக் காண டி மாய்வரின் சூத்திரத்தைப் பயன்படுத்துகிறோம். n ஒரு முழு எண் மற்றும் ω ஒரு கலப்பெண் ஆனது z−ன் n −ஆம் படிமூலம் z1/n எனக்கொண்டால்
ωn = z எனப்பெறலாம். …………….(1)
ω = ρ(cos ∅ + i sin∅)
மேலும் z = r(cos θ + isin θ) = r(cos(θ + 2kπ) + isin(θ + 2kπ)) , k ∈ ℤ என்க.
z −ன் n−ஆம் படிமூலம் ω எனில்
ωn = z
⇒ ρn (cos ∅ + i sin∅) n = r(cos(θ + 2kπ) + i sin (θ + 2kπ)), k ∈ ℤ
டி மாய்வரின் தேற்றப்படி,
ρn (cos n∅ + i sin n∅) = r(cos(θ + 2kπ) + i sin (θ + 2kπ)), k ∈ ℤ
மட்டுக்களையும் வீச்சுகளையும் சமப்படுத்த
ρn = r மற்றும் n∅ = θ + 2kπ , k ∈ ℤ எனப்பெறலாம்.
ρ = r1/n மற்றும் ∅ = (θ + 2kπ) / n , k ∈ ℤ
ஆகவே. ω −ன் மதிப்புகள் 
k −விற்கு எண்ணிக்கையற்ற மதிப்புகள் இருந்தாலும் ω −விற்கு வெவ்வேறான மதிப்புகளைப் பெற k = 0, 1, 2, 3, ..., n − 1 எனப்பிரதியிட வேண்டும். k = n, n + 1, n + 2, ... என பிரதியிட்டால் கிடைத்த மூலங்களே (சுற்றுவட்ட முறையில்) சீரான இடைவெளியில் கிடைக்கும். ஆகவே z = r(cos θ + isin θ) என்ற கலப்பெண்ணின் n−ஆம் படிமூலங்கள்

ஒரு கலப்பெண்ணின் n−ஆம் மூலத்தினை
எனக்கொள்வதன் மூலமும் படத்தில் காட்டியுள்ளது போன்ற ஒரு அழகிய வடிவியல் விளக்கத்தினைப் பெறலாம். இந்த n மூலங்களுக்கும், | ω | = n√r அதாவது மட்டு மதிப்பு n√r எனவே இவை ஆதியை மையமாக n√r ஆரமுள்ள வட்டத்தின் மீது அமையும். மேலும் இந்த n மூலங்களில் அடுத்தடுத்த மூலங்களின் வீச்சுகள் 2π/n என்ற வித்தியாசத்தில் வேறுபடுவதால் இந்த n மூலங்களும் வட்டத்தின் மேல் சீரான இடைவெளிகளில் அமையும்.

மேற்குறிப்பு
(1) டி மாய்வர் தேற்றத்தின் பொது வடிவம் (General form of de Moivre's Theorem)
x ஒரு விகிதமுறு எண் எனில் cos xθ + isin xθ என்பது (cos θ + isin θ)x −ன் மதிப்புகளில் ஒன்றாகும்.
(2) அலகு வட்டத்தின் துருவ வடிவம் (Polar form of unit circle)
z = eiθ = cos θ + isin θ என்க.
எனவே, |z|2 = | cos θ + isin θ |2 எனப்பெறலாம்.
⇒ |x + iy|2 = cos2 θ + sin2 θ = 1
⇒ x2 + y2 = 1.
எனவே, |z| = 1 ஆனது ஆதியை மையமாகக் கொண்ட அலகு வட்டத்தை (ஓரலகு வட்டத்தை) குறிக்கிறது.
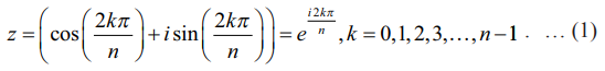
z" =1, n ஒரு முழு எண், என்ற சமன்பாட்டின் தீர்வுகளே ஒன்றின் n −ஆம் படிமூலங்கள் ஆகும்.
z =1 என்ற சமன்பாட்டை துருவ வடிவில் z = cos(0 + 2kπ) + i sin (0 + 2kπ) = ei2kπ , k = 0, 1, 2,... டி மாய்வரின் தேற்றத்தைப் பயன்படுத்தி ஒன்றின் n −ஆம் படிமூலங்களை பின்வருமாறு காணலாம்:

கொடுக்கப்பட்ட மிகை முழு எண் n −க்கு, z என்பது ஒன்றின் n−ஆம் படி மூலமாக இருக்குமெனில் zn = 1 என இருக்க வேண்டும்.
இதனை ω என்ற கலப்பெண்ணின் மூலம் குறித்தால்,


ஆகவே ஒன்றின் n−ஆம் படிமூலங்களில் ஒன்று ω ஆகும். சமன்பாடு (1)−லிருந்து 1, ω, ω2, .... , ωn−1 ஆகியவை ஒன்றின் n−ஆம் படிமூலங்கள் ஆகும். 1, ω, ω2, .... , ωn−1 என்ற இந்த கலப்பெண்கள் கலப்பெண் தளத்தில் n பக்கங்களை உடைய சீரான பலகோணத்தின் உச்சிப்புள்ளிகளாக ஓரலகு வட்டத்தின் மீது படத்தில் காட்டியுள்ளவாறு அமையும். இந்த எல்லா n−ஆம் படிமூலங்களின் மட்டு மதிப்புகளும் 1 எனவே இவை ஆதியை மையமாகவும் ஆரம் 1 கொண்ட வட்டத்தின் மீது அமையும். மேலும் இந்த n மூலங்களில் அடுத்தடுத்த மூலக்ளுக்கு இடைப்பட்ட கோண வித்தியாசம் 2π/n. எனவே, n மூலங்களும் வட்டத்தின் மீது சீரான இடைவெளி விட்டு அமையும்.
ஒன்றின் n −ஆம் படிமூலங்கள் 1, ω, ω2, .... , ωn−1 ஆகியவை ω −வை பொது விகிதமாகக் கொண்ட பெருக்குத் தொடரை அமைக்கிறது.
ஆகவே 1 + ω + ω2 + .... + ωn−1 = [1 − ωn] / [1 – ω] = 0 இங்கு ωn = 1 மற்றும் ω ≠ 1
ஒன்றின் n−ஆம் படிமூலங்கள் அனைத்தின் கூட்டுத்தொகை 1 + ω + ω2 + .... + ωn−1 = 0 ஆகும்.
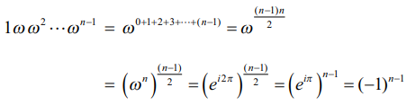
ஒன்றின் n−ஆம் படிமூலங்கள் அனைத்தின் பெருக்குத் தொகை
1 ω ω2 .... ωn−1 = ω0+1+2+3+…+(n−1) = ω [(n−1)n] /2

ஒன்றின் n−ஆம் படிமூலங்கள் அனைத்தின் பெருக்குத்தொகை
1ωω2.... ωn−1 = (−1)n−1 ஆகும்.

குறிப்பு
(1) ஒன்றின் n−ஆம் படிமூலங்கள் அனைத்தும் பெருக்குத் தொடரை அமைக்கின்றது.
(2) ஒன்றின் n−ஆம் படிமூலங்கள் அனைத்தின் கூட்டுத்தொகை பூஜ்ஜியமாகும்.
(3) ஒன்றின் n−ஆம் படிமூலங்கள் அனைத்தின் பெருக்குத்தொகை (−1)n−1 ஆகும்.
(4) ஒன்றின் n−ஆம் படிமூலங்கள் அனைத்தும் ஆதியை மையமாகவும் ஆரம் 1 கொண்ட வட்டத்தின் மீது அமைவதுடன் வட்டத்தை n சமபாகங்களாகப் பிரிக்கின்றது. மேலும் இவை n பக்கங்கள் கொண்ட பலகோணத்தை அமைக்கின்றது.
எடுத்துக்காட்டு 2.32
ஒன்றின் மூன்றாம் படிமூலங்களைக் காண்க.
தீர்வு

நாம் 11/3 ஐ காணவேண்டும். z = 11/3 எனில், z3 = 1 ஆகும்.
z3 =1 என்ற சமன்பாட்டை துருவ வடிவில் எழுத
z3 = cos(0 + 2kπ) + isin (0 + 2kπ) = ei2kπ, k = 0, 1, 2,...
எனவே, z = cos(2kπ/3) + isin (2kπ/3) = ei [2kπ / 3] , k = 0, 1, 2.
k = 0, 1, 2 எனப்பிரதியிட
k = 0, z = cos 0 + i sin 0 = 1.

ஆகவே, ஒன்றின் மூன்றாம் படிமூலங்கள்
1, [−1 + i√3] / 2 , [ −1− i√3] / 2 ⇒ 1, ω , மற்றும் ω2 இங்கு ω = ei (2π/3) = [−1 + i√3] / 2.
எடுத்துக்காட்டு 2.33
ஒன்றின் நான்காம் படிமூலங்களைக் காண்க.
தீர்வு

நாம் 11/4 ஐ காண வேண்டும். z = 11/4 எனில் z4 = 1 ஆகும்.
z4 = 1 என்ற சமன்பாட்டை துருவ வடிவில் எழுத,
z = cos(0 + 2kπ) + isin (0 + 2kπ) = ei2kπ ‚k = 0, 1, 2, ...
எனவே,
k = 0, 1, 2, 3
k = 0, 1, 2, 3 எனப்பிரதியிட
k = 0, z = cos 0 + i sin0 = 1.
k = 1, z = cos(π/2) + isin (π/2) = i.
k = 2, z = cos π + isin π = −1.
k = 3, z = cos(3π/2) + isin (3π/2) = − cos(π/2) − isin (π/2) = − i
ஒன்றின் நான்காம் படிமூலங்கள் 1, i, − 1, − i ⇒ 1, ω , ω2 மற்றும் ω3 இங்கு ω = ei [2π/4] = i .
குறிப்பு
(i) இப்பாடப்பகுதியில் ω என்பது ஒன்றின் n −ஆம்படிமூலத்தை குறிப்பிடப் பயன்படுத்தப்பட்டுள்ளது. எனவே ω ஆனது n −ஐப் பொருத்து எவ்வாறு அமைகின்றது என்பது அட்டவணைப்படுத்தப்பட்டுள்ளது.

(ii) zeiθ என்பது z −ஐ ஆதியை பொறுத்து θ கோணம் கடிகார எதிர்திசையில் சுற்றுவது ஆகும்.
எடுத்துக்காட்டு 2.34
z3 + 8i = 0 என்ற சமன்பாட்டைத் தீர்க்க. இங்கு z ∈ ℂ.
தீர்வு
z3 + 8i = 0 என்க.
⇒ z3 = −8i

z −ன் மதிப்புகள் √3 − i, 2i, மற்றும் −√3 − i.
எடுத்துக்காட்டு 2.35
√3 + i −ன் எல்லா மூன்றாம் படிமூலங்களையும் காண்க.
தீர்வு
நாம் (√3 + i)1/3 −ன் மதிப்புகளை காண வேண்டும். z = (√3 + i)1/3 எனில்
z3 = 3 + i = r(cos θ + isin θ) ஆகும்.
r = √[3 + 1] = 2, மற்றும் α = θ = π/6 (√3 + i I கால்பகுதியில் அமைவதால்)
ஆகவே,

எடுத்துக்காட்டு 2.36
z1, z2, மற்றும் z3 ஆகியவை |z| = 2 என்ற வட்டத்தின் மீதமைந்த சமபக்க முக்கோணத்தின் உச்சிப்புள்ளிகள் என்க. மேலும் z1 = 1 + i√3 எனில், z2 மற்றும் z3 −ஐக் காண்க.
தீர்வு
|z| = 2 என்பது (0,0) −வை மையமாகவும். 2 ஐ ஆரமாகவும் கொண்ட வட்டத்தைக் குறிக்கும். A, B, மற்றும் C ஆகியவை முக்கோணத்தின் முனைப்புள்ளிகள் என்க. z1, z2 மற்றும் z3 ஆகியவை |z| = 2 என்ற வட்டத்தின் மீதமைந்த சமபக்க முக்கோணத்தின் உச்சிப்புள்ளிகள். எனவே, AB, BC, மற்றும் CA என்ற பக்கங்கள் ஆதியை பொருத்து (முக்கோணத்தின் சுற்று வட்ட மையம்) 2π/3 ரேடியன்கள் (120°) கோண இடைவெளி விட்டு அமையும். (zeiθ என்பது z −ஐ ஆதியைப் பொருத்து θ கோணம் கடிகார எதிர்திசையில் சுற்றுவது ஆகும்)

ஆகவே, z1 −ஐ முறையே 2π/3 மற்றும் 4π/3 கோணங்கள் சுற்றுவதால் z2 மற்றும் z3 ஆகியவற்றை பெறலாம்.

ஆகவே, z2 = −2 and z3 = 1 − i√3