இயற்பியல் - அலைகள் : முக்கியமான கேள்விகள் | 11th Physics : UNIT 11 : Waves
சிறுவினாக்கள்
1. அலைகள் என்றால் என்ன?
2. அலைகளின் வகைகளை எழுது.
3. குறுக்கலை என்றால் என்ன? ஒர் எடுத்துக்காட்டு தருக.
4. நெட்டலை என்றால் என்ன? ஓர் எடுத்துக்காட்டு தருக.
5. அலை நீளம் வரையறு.
6. அலை ஒன்றின் அதிர்வெண், அலைநீளம், திசைவேகம் ஆகியவற்றிற்கிடையேயானத் தொடர்பை எழுதுக.
7. அலைகளின் குறுக்கீட்டு விளைவு என்றால் என்ன?
8. விம்மல்கள் - வரையறு.
9. ஒலியின் செறிவு மற்றும் உரப்பு ஆகியவற்றை விளக்குக.
10. டாப்ளர் விளைவை விளக்குக.
11. டாப்ளர் விளைவில் சிவப்பு மற்றும் நீல இடப்பெயர்ச்சிகளை விளக்குக.
12. ஒத்ததிர்வுக் காற்றுத் தம்ப கருவியில் முனைத்திருத்தம் என்றால் என்ன?
13. y = x + a என்ற தொடர்பிற்கு படம் வரைக. அதை விளக்குக.
14. வாயு ஒன்றில் ஒலியின் திசைவேகத்தை - பாதிக்கும் காரணிகளை எழுதுக.
15. எதிரொலி என்றால் என்ன? விளக்குக.
நெடுவினாக்கள்
1. நீரின் மேற்பரப்பில் சுருள் வடிவில் மேடு, பள்ளங்கள் ஏற்படுவது ஏன்?
2. முன்னேறு அலைக்கும், நிலை அலைக்கும் இடையேயான வேறுபாடுகளை விவரி.
3. கம்பி ஒன்றில் ஏற்படும் முன்னேறு அலைக்கான திசைவேகத்திற்கான சமன்பாடு v = √[T/μ] என நிறுவுக.
4. காற்றில் ஒலியின் திசைவேகத்திற்கான நியூட்டன் சமன்பாட்டை விளக்குக. அதில் லாப்லஸின் திருத்தத்தை விவரி.
5. சமதளம் மற்றும் வளைவான பரப்புகளில் ஒலியின் எதிரொலிப்பு பற்றி குறிப்பு வரைக.
6. மேற்பொருந்துதல் தத்துவத்தை விளக்குக.
7. அலைகளில் குறுக்கீட்டு விளைவு ஏற்படுவதை விளக்குக.
8. விம்மல்கள் ஏற்படுவதை விளக்குக.
9. நிலை அலைகள் என்றால் என்ன? நிலை அலைகள் : நிலை அலைகள் ஏற்படுவதை விளக்குக. அதன் பண்புகளை எழுதுக.
10. இழுத்துக்கட்டப்பட்ட கம்பியில் ஏற்படும் குறுக்கலைக்கான விதிகளை விளக்குக.
11. அடிப்படை அதிர்வெண், சீரிசை மற்றும் மேற்சுரம் ஆகியவற்றை விளக்குக.
12. சுரமானி என்றால் என்ன? அதன் அமைப்பு மற்றும் வேலை செய்யும் விதத்தை விவரி. சுராமானியைப் பயன்படுத்தி இசைக்கவையின் அதிர்வெண்ணை எவ்வாறு அளப்பாய்?
13. ஒலியின் செறிவு, உரப்பு என்றால் என்ன? அவற்றைப் பற்றி விளக்குக.
14. கீழ்க்கண்டவற்றுள் மேற்சுரங்கள் ஏற்படுவதை விளக்குக.
a) மூடிய ஆர்கன் குழாய்
b) திறந்த ஆர்கன் குழாய்
c) ஒத்தததிர்வு காற்றுத்தம்பக் கருவி
15. ஒத்ததிர்வு தம்பக் கருவியைப் பயன்படுத்தி காற்றின் ஒலியின் திசைவேகத்தை அளக்கும் முறையை விளக்குக?
16. டாப்ளர் விளைவு என்றால் என்ன?
1. ஒர் ஊடகத்தில் ஒலியின் வேகம் 900 ms-1 ஊடகத்தில் ஓர் புள்ளியில் 2 நிமிடங்களில் கடக்கும் அலைகளின் எண்ணிக்கை 3000 எனில் அலைநீளத்தைக் காண்க?
விடை :
கொடுக்கப்பட்டவை
ஊடகத்தில் ஒலியின் வேகம் (v) = 900 ms-1
ஊடகத்தில் ஓர் புள்ளியில் கடக்கும் நேரம் = 2 நிமிடங்கள்
கடக்கும் அலைகளின் எண்ணிக்கை = 3000
அலைநீளம் (λ) = ? (λ = v/n)

λ = 36m
விடை: λ = 36 m
2. 2 மோல் ஹீலியம், 4 மோல் ஆக்சிஜன் கலந்த கலவையைக் கருதுக. இந்தக் கலவையில் 300K வெப்பநிலையில் ஒலியின் வேகத்தைக் காண்க.
கொடுக்கப்பட்டவை
ஹீலியம் (n1) - 2 மோல்
ஆக்ஸிஜன் (n2) - 4 மோல்
இதில் ஹீலியம் மற்றும் ஆக்ஸிஜன் கலவையாக உள்ளன.
கலவையின் வெப்பநிலை - 300K
ஒலியின் வேகம் V-?

3. கடலில் ஒரு கப்பல் சோனார் (SONAR) மூலம் ஒலி அலைகள் கடலின் கீழ்நோக்கி அனுப்புகிறது. கடலின் அடி கட்டத்தில் உள்ள ஒரு பாறையில் இந்த ஒலி அலைகள் எதிரொலிக்கப்பட்டு 3.5 ல் சோனாரை அடைகிறது. கப்பல் 100 km தொலைவைக் கடக்கும்போது மீண்டும் சைகைகளை கீழ்நோக்கி அனுப்புகிறது. அந்த சைகைகள் 2s ல் எதிரொலித்து சோனாரை அடைகிறது. இரண்டு இடங்களிலும் ஆழங்களை கண்டு பிடித்து, அவற்றின் வேறுபாட்டைக் காண்க.
கொடுக்கப்பட்டவை:
நீரில் சென்று எதிரொலிக்கப்பட்ட ஒலியின் கால அளவு (2t1) = 3.5s
எதிரொலிப்புக்கு பிறகு கடந்த தொலைவு = 100 km
மீண்டும் நீரில் சென்று எதிரொலிக்கப்பட்ட ஒலியின் கால அளவு (2t2) = 2s
ஆழங்களின் வேறுபாடு = ?
தீர்வு :
I முதல் ஒலியின் கால அளவு (t1)

I நீரில் சோனார் ஒலியின் திசைவேகம் (C) = 1533 ms-1
C = d/t (ie) d = C.t
முதல் ஒலியானது கடந்தத் தொலைவு (ஆழம்)
d1 = 1533 × 1.75
= 2682.75 m
2-வது ஒலியானது கடந்த தொலைவு (ஆழம்)
d2 = 1533 × 1
= 1533 m
iii) இரண்டு ஆழங்களுக்கு இடையே வேறுபாடு
d = d1 - d2
= 2682.75 - 1533 = 1149.75m
விடை : Δd = 1149.75 m
4. படத்தில் காட்டப்பட்டுள்ளவாறு உள்ள குழாயில் ஒலி அலை கடந்து செல்கிறது - ஒலி அலை Aல் இரண்டு அலைகளா பிரிகிறது. மீண்டும் Bல் ஒன்றாக சேர்கிறது. R என்பது அரை வட்டத்தின் ஆரம். B இல் ஒன்றாக சேரும் அலைகள் முதல் சிறுமத்தை ஏற்படுத்தினால் R ன் மதிப்பைக் காண்க. ஒலியின் அலைநீளம் 50.0m மீ என்க.

கொடுக்கப்பட்டவை
• குழாயில் செல்லும் ஒலி அலையானது A பகுதியில் இரண்டாக பிரிகிறது.
• B-ல் ஒன்றாக சேர்கிறது.
• R என்பது அரை வட்டத்தின் ஆரம் - ஒலியின் அலைநீளம் - 50 m
• முதல் சிறுமத்தை ஏற்படுத்தும் R-ன் மதிப்பு = ?
தீர்வு :
i) வளைவுப் பாதையின் வழியே செல்லும் ஒலி அலையின் நீளம் (L1) = πR..................(1)
ஒலி அலைகள் செல்லும் குழாய் AB பாதையின் நீளமானது, ஆரம் R ஏற்படுத்தும் வளைவின் விட்டத்திற்கு சமமாகும். (ie) ஒலி அலைகள் செல்லும் பாதையின் நீளம் (L2) = 2R.............(2)
ஒலி அலைகளின் பாதை வேறுபாடு ∆P = L1 - L2
= R - 2 R
∆P = R(- 2).................(3)
ii) நம் காதுகளால் உணரக்கூடிய ஒலி அலைகளின் பாதை வேறுபாடு ∆P = λ/2 ...................(4)
iii) சமன்பாடு (3) மற்றும் (4) லிருந்து,

எனவே ஆரம் R ன் மதிப்பு = 21.9 m ஆகும்.
விடை: R = 21.9 m
5. N இசைக்கவைகள் அவற்றின் அதிர்வெண்களின் ஏறு வரிசையில் வைக்கப்பட்டுள்ளன. அவை அதிரும்போது அடுத்தடுத்த இரு இசைக்கவைகள் ஏற்படுத்தும் விம்மல்கள் n என்க. கடைசி இசைக்கவை, முதல் இசைக்கவையின் அதிர்வெண்ணைப்போல் இருமடங்கு அதிர்வெண் பெற்றுள்ளது, எனில் முதல் இசைக்கவையின் f = (N-1)n. அதிர்வெண் எனக் காட்டுக.
கொடுக்கப்பட்டவை.
• இசைக்கவையின் எண்ணிக்கை = N
• N இசைக்கவைகள் அதிர்வெண்களின் ஏறு வரிசையில் உள்ளது.
• அடுத்தடுத்தடுத்த இரு இசைக்கவை ஏற்படுத்தும் விம்மல்கள் = n
• (முதல் இசைக்கவையின் அதிர்வெண்) = 2 × (கடைசி இசைக்கவையின் அதிர்வெண்)
தீர்வு :
f முதல் 2 f கடைசி
n வது உறுப்பை கண்டறியும் கணிதக் கோவையின் படி
an = a + (n - 1) d
(i.e) 2f = f + (N - 1) n
f = (N - 1) n
முதல் இசைக்கவையின் அதிர்வெண் f = (N - 1) n ஆகும்.
6. ஒலி மூலம் ஒன்று ஒலி அலையை உமிழ்கிறது. ஒர் புள்ளியில் இந்த அலையின் செறிவு (தொடக்கத்தில்) I என்க. ஒலியின் வீச்சு இரு மடங்காக்கப்பட்டு, அதிர்வெண் நான்கில் ஒரு பங்காக 1/4 குறைக்கப் படுகிறது எனக் கருதுக. மேலே கூறிய அதே புள்ளியில் புதிய ஒலிச்செறிவைக் காண்க.
• ஒலி அலையின் செறிவு = Iபழையது
• வீச்சு இருமடங்கு எனில் 2A = Aபுதியது
• அதிர்வெண் 4 இல் ஒரு பங்கு எனில் (1/4f) = fபுதியது
• புதிய ஒலிச்செறிவு Iபுதியது = ?
தீர்வு :


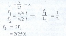
7. சமநீளமுடைய இரு ஆர்கான் குழாய்களில் ஒன்று மூடியது மற்றொன்று திறந்தது மூடிய குழாயின் அடிப்படை அதிர்வெண் 250Hz திறந்த குழாயின் அடிப்படை அதிர்வெண்ணைக் காண்க.
கொடுக்கப்பட்டவை :
• திறந்த ஆர்கன் குழாய் மற்றும் மூடிய ஆர்கன் குழாய்
• இரண்டும் சமநீளமுடையது.
• மூடிய குழாயின் அடிப்படை அதிர்வெண் = 250Hz
• திறந்த குழாயின் அடிப்படை அதிர்வெண் = ?
தீர்வு :
மூடிய ஆர்கன் குழாயின் அடிப்படை அதிர்வெண்
f1 = v/4l = 250 Hz
திறந்த ஆர்கன் குழாயின் அடிப்படை அதிர்வெண்

திறந்த ஆர்கன் குழாயின் அடிப்படை அதிர்வெண் = 500 Hz
விடை : 500Hz
8. சைரன் வைக்கப்பட்ட காவல் வாகனத்தில் 20ms-1 திசைவேகத்தில் செல்லும் காவலர் (Police), voms-1 வேகத்தில் கார் ஒன்றில் தப்பிச் செல்லும் திருடனைத்துரத்திச் செல்கிறார். காவல் வாகன சைரன் அதிர்வெண் 300Hz, இருவரும் நிலையாக இருந்து 400Hz அதிர்வெண் உடைய ஒலியை உமிழும் சைரன் நோக்கிச் செல்கிறார்கள் எனில் திருடனின் திசைவேகத்தைக் காண்.
கொடுக்கப்பட்டவை:
• சைரன் வைக்கப்பட்ட காவல் வாகனத்தில் செல்லும் காவலரின் திசைவேகம் Vs = 20ms-1
• காரில் செல்லும் திருடனின் திசைவேகம் Vo = Voms-1
• காவல் வாகன சைரன் அதிர்வெண் = 300Hz
• நிலையான மூலத்தின் அதிர்வெண் = 400Hz
• திருடனின் திசைவேகம் Vo = ?
தீர்வு :

விடை: vதிருடன் = 10 m s-1
9. கீழ்க்கண்ட தொடர்புகளைக் கருதுக.
a) y = x2 + 2 α tx
b) y = (x + vt)2
மேற்கண்டவற்றுள் எது அலையைக் குறிக்கிறது.
விடை :
அலைச்சமன்பாடு, y(x,t) = A sin (kx - ωt + Q)
a) y = x2 + 2α tx என்பது அலைச்சமன்பாட்டுடன் பொருந்தாதக் காரணத்தால் இச்சமன்பாடானது அலையைக் குறிக்கவில்லை.
b) y = (x + vt)2 என்பது அலைச்சமன்பாட்டுடன் பொருந்துவதால், இச்சமன்பாடானது அலையைக் குறிக்கிறது.
விடை (a) அலையைக் குறிக்கவில்லை (b) அலைச்சமன்பாட்டுடன் பொருந்துவதால் அலையைக் குறிக்கிறது.
1. வாயுவில் குறுக்கலைகள் ஏற்படாது ஏன்? திண்மத்திலும், நீர்மத்திலும் குறுக்கலைகள் ஏற்படுமா?
விடை :
குறுக்கலைகளானது அகடு மற்றும் முகடுகளாக பரவக்கூடியவை. எனவே, வடிவத்தை மாற்றிக் கொள்ளும் தன்மையுடன் அவ்வலைகள் பரவுகின்றன.
i) வாயுவானது, நெகிழ்வுத்தன்மையற்ற வடிவமைப்பு பெற்றுள்ளன. எனவே வாயுவில் குறுக்கலைகள் ஏற்படாது.
ii) நீர்மத்திலும், திண்மத்திலும் குறுக்கலைகள் ஏற்படும். ஏனெனில் திண்மம் மற்றும் நீர்மமானது நெகிழ்வு தன்மையுடைய வடிவமைப்பு பெற்றுள்ளன. எனவே குறுக்கலைகள் எளிதில் உருவாகும்.
2. நமது தேசிய விலங்கின் முழக்கம் அல்லது உறுமல் (roar) கொசு ஏற்படுத்தும் ஒலியிலிருந்து வேறுபடுகிறது ஏன்?
விடை :
i) நமது தேசிய (புலி) ஒலியானது (உறுமும்), குறைந்த சுருதி மற்றும் அதிக செறிவு (அல்லது) உரப்பு பெற்றுக் காணப்படும்.
ii) கொசு ஏற்படுத்தும் ஒலியானது, அதிக சுருதி மற்றும் குறைந்த செறிவு (அல்லது) உரப்பு பெற்று காணப்படும்.
3. மூலமும் கேட்பவரும் ஓய்வில் இருக்கும் போது, ஒரு வலிமையான காற்று வீசுகிறது. அதில் டாப்ளர் விளைவு உள்ளதா?
விடை :
மூலமும், கேட்பவரும் ஓய்வில் இருந்தாலும் வீசும் வலிமையான காற்றானது இயக்கத்தில் உள்ளதால் ஒரு ஒலி மூலமாக செயல்படுகிறது. எனவே டாப்ளர் விளைவு ஏற்படுகிறது.
4. காலியான அறையில் ஒரு ஒலி உரப்பாகவும் (louder) அதே ஒலி தட்டு முட்டுப் பொருள்கள், இருக்கைகள் உள்ள அறையில் உரப்பு குறைவாகவும் இருக்க காரணம் என்ன?
விடை :
ஒலி என்பது ஒரு வகை ஆற்றல் ஆகும்.
i) தட்டு, முட்டுப் பொருள்கள், இருக்கைகள் உள்ள அறையில் ஏற்படும் ஒலி (ஆற்றலானது) அப்பொருள்களால் உட்கவரப்படுகின்றன. எனவே ஒலி உரப்பு குறைவாக உள்ளது.
ii) காலியான அறைகளில் ஏற்படும் ஒலி (ஆற்றலானது) எந்தப் பொருட்களாலும் உட்கவரப்படுவது இல்லை. எனவே ஒலி உரப்பு அதிகமானதாகத் தோன்றும்.
5. சூறாவளி, கொந்தளிப்பு, புயல் ஆகியவை வரவிருப்பதை விலங்குகள் எவ்வாறு முன் கூட்டியே உணர்கின்றன?
விடை :
• ஒரு சில விலங்குகள் (நாய், பறவை போன்றன) குறைந்த அதிர்வெண் உடைய ஒலி அலைகளை உணரும் திறன் பெற்றவை.
• இவை நிலம், நீர், காற்று ஆகியவற்றில் ஏற்படும் அழுத்த மாறுபாடுகளை அறிந்து சூறாவளி, கொந்தளிப்பு, புயல் போன்ற இயற்கை பேரிடர்களை முன்கூட்டியே உணர்ந்து ஒலி எழுப்புகின்றன.
5. நீர் வரும் திறந்த குழாயின் அடியில் வைக்கப்பட்ட பாத்திரம் ஒன்று நிரம்ப இருப்பதை எவ்வாறு சற்று முன்னரே அறிய முடியுமா? காரணம் தருக.
விடை :
i) காற்றில் உருவாகும் ஒலியின் அதிர்வெண் அதன் நீளத்திற்கு எதிர்தகவில் அமையும்.
f α 1/L (காற்றில்)
ii) பாத்திரத்தில் நீரானது நிரம்ப, நிரம்ப காற்றில் அதனுடைய நீளமானது (l) குறையும். எனவே அதனோடு தொடர்புடைய ஒலியின் அதிர்வெண்ணும் (f) குறையும். இதனால் ஒலி குறைந்து ஒலிக்கும்.
iii) இந்த ஒலியின் சுருக்கத்தன்மையின் காரணமாக, பாத்திரத்தில் நீர் நிரம்ப இருப்பதை முன்னரே அறியலாம்.