ஒளியியல் | இயற்பியல் - மெல்லிய லென்ஸ்கள் | 12th Physics : UNIT 6 : Ray Optics
மெல்லிய லென்ஸ்கள் (Thin Lens)
இரண்டு கோளகப்பரப்புகள் அல்லது ஒரு கோளகப்பரப்பு ஒரு சமதளப்பரப்பு இவற்றுக்கு நடுவே ஒளி ஊடுருவும் பொருள் நிரம்பி இருந்தால் அவை லென்ஸ்களாக உருபெறுகின்றன. இரண்டு பரப்புகளுக்கு இடையே உள்ள தொலைவு மிகவும் சிறியதாக இருந்தால் அது மெல்லிய லென்ஸ்கள் எனப்படும். லென்ஸ்களுக்கு இரண்டு கோளகப்பரப்புகள் உள்ளதால் இரண்டு வளைவு மையங்கள் C1 மற்றும் C2 காணப்படும். அதனைத்தொடர்ந்து இரண்டு வளைவு ஆரங்களும் R1 மற்றும் R2 காணப்படும். சமதளப்பரப்பின் வளைவு மையம் C ஈரில்லாத் தொலைவில் காணப்படும். மேலும் வளைவு ஆரம் R இன் மதிப்பும் ஈரில்லாததாகும். (R = ∞) குவியத் தூரத்தைத் தவிர, கோளகக் கண்ணாடிகளுக்கு நாம் பயன்படுத்திய அனைத்துக் கலைச் சொற்களும் மெல்லிய லென்ஸ்களுக்கும் பொருந்தும்.
இரண்டு கோளகப்பரப்புகளினால் லென்ஸ்கள் உருவாக்கப்பட்டிருப்பதால்,
ஒரு லென்ஸ் இரண்டு வெவ்வேறு ஊடகங்களையும் பிரிக்கலாம். அதாவது, லென்ஸின் வலப்பக்கம்
ஓர் ஊடகமும், இடப்பக்கம் மற்றோர் ஊடகமும் காணப்படலாம். எனவே, நமக்கு இரண்டு குவியத்தூரங்கள்
கிடைக்கும்.

முதன்மைக் குவியம் (F1): லென்ஸிலிருந்து
வெளிவரும் கதிர்கள் முதன்மை அச்சுக்கு இணையாக வருவதற்கு, பொருளை லென்ஸின் மறுபுறம்
எப்புள்ளியில் வைக்கவேண்டுமோ அப்புள்ளியே முதன்மைக் குவியமாகும். இது படம் 6.33 (அ)
வில் காட்டப்பட்டுள்ளது. குவிக்கும் லென்ஸ்களுக்கு (குவிலென்ஸ்) அப்பொருள், மெய்ப்பொருளாகும்.
விரிக்கும் லென்ஸ்க ளுக்கு (குழிலென்ஸ்) அப்பொருள், மாயப்பொருளாகும். தொலைவு PF1
முதன்மை குவியத்தொலைவு f1 எனப்படும்.
இரண்டாம் குவியம் (F2): படு இணைக்கதிர்கள்
லென்ஸினால் ஒளிவிலகல் அடைந்து முதன்மை அச்சில் எப்புள்ளியில் குவிகிறதோ, அப்புள்ளிக்கு
இரண்டாம் குவியம் என்று பெயர். தொலைவு PF2 விற்கு இரண்டாம் குவியத்தொலைவு,
f2 என்று பெயர். இது படம் 6.33 (ஆ) யில் காட்டப்பட்டுள்ளது. குவிக்கும்
லென்ஸ்களால் (குவிலென்ஸ்) இவ்வாறு உருவாகும் பிம்பம் மெய்பிம்பாகும். விரிக்கும் லென்ஸ்களால்
(குழிலென்ஸ்) இவ்வாறு கிடைக்கும் பிம்பம் மாயபிம்பமாகும்.
மெல்லிய லென்ஸின் இரண்டு பக்கங்களிலும் உள்ள ஊடகங்கள் ஒரே ஒளிவிலகல் எண்ணைப் பெற்றிருந்தால், இரண்டு குவியத்தூரங்களும் சமமாகும். இனிவரும் பகுதிகளில் பெரும்பாலும் இரண்டாம் குவியத்தூரத்தையே நாம் பாடப்பொருளில் பயன்படுத்தப்போகிறோம்.
மெல்லிய லென்ஸ்க ளுக்கான குறியீட்டு மரபு,
குவியத் தூரத்திற்கு மட்டும் மாறுபடும்.
(அ) லென்ஸ் முனையிலிருந்து (Pole of the
lens) குவியத்தூரத்தை அளக்கும் திசையைப் பொருத்துக் குவியதூரத்திற்குக் குறியீடு வழங்கக்கூடாது.
ஏனெனில், லென்ஸ்க ளுக்கு இரண்டு குவியத்தூரங்கள் உள்ளன. ஒன்று இடப்பக்கமாகவும் மற்றொன்று
வலப்பக்கமாகவும் உள்ளது. (லென்ஸின் ஒருபக்கம் முதன்மை குவியத்தூரமும், மறுபக்கம் இரண்டாம்
குவியத் தூரமும் உள்ளன).
(ஆ) குவிக்கும் மெல்லிய லென்ஸ்க ளுக்கு (மெல்லிய
குவிலென்ஸ்) குவியத்தூரம் நேர்குறி எனவும், விரிக்கும் மெல்லிய லென்ஸ்களுக்கு (குழிலென்ஸ்)
குவியத்தூரம் எதிர்குறி எனவும் எடுக்கவேண்டும்.
மற்றமரபுக்குறியீடுகளான பொருளின் தொலைவு, பிம்பத்தின் தொலைவு, வளைவு ஆரம், பொருளின் உயரம் பிம்பத்தின் உயரம் போன்றவற்றை கோளக் ஆடிகளுக்குப் பயன்படுத்தியது போன்றே மெல்லிய லென்ஸ்களுக்கும் பயன்படுத்தவேண்டும்.

ஒளிவிலகல் எண் n2, கொண்ட பொருளினால்
செய்யப்பட்ட மெல்லிய குவிலென்ஸ் ஒன்றைக் கருதுக. இது ஒளிவிலகல் எண் n1,
கொண்ட ஊடகத்தில் வைக்கப்பட்டுள்ளது. R1 மற்றும் R2 என்பவை இரண்டு
கோளகப்பரப்புகள் முறையே
மற்றும்
இன் வளைவு ஆரங்கள் என்க. மேலும் P என்பது
லென்ஸ் முனையாகும். முதன்மை அச்சில் உள்ள O என்ற புள்ளிப்பொருளைக் கருதுக. அப்பொருளிலிருந்து
புறப்படும் ஒளிக்கதிர் கோளகப்பரப்பு
இல் பட்டு விலகலடைந்து I’ என்ற பிம்பத்தைத்
தோற்றுவிக்க வேண்டும். ஆனால் இது நடைபெறுவதற்கு முன்பு ஒளிக்கதிர் கோளகப்பரப்பு
ஆல் விலகல் அடைந்து விடுகிறது. எனவே இறுதி பிம்பம் படம் 6.34இல் காட்டியுள்ளவாறு
கிடைக்கிறது.
கோளகப்பரப்பினால் ஏற்படும் ஒளிவிலகலுக்கான
பொதுவான சமன்பாடு (6.56) இன் படி

ஒளிவிலகு பரப்பு
இல், ஒளிக்கதிர் n1
இலிருந்து n2,க்கு செல்கிறது

ஒளிவிலகு பரப்பு
இல் ஒளிக்கதிர் n2
ஊடகத்தில் இருந்து n1 ஊடகத்திற்குச் செல்கிறது.

சமன்பாடுகள் 6.64 மற்றும் 6.65 இரண்டையும்
கூட்டும் போது

மேலும் சமன்பாட்டினைச் சுருக்கி, மாற்றி அமைக்கும்போது,

பொருள் ஈரில்லாத தொலைவில் இருந்தால், பிம்பம்
லென்ஸின் குவியத்தில் அமையும். அதாவது u = ∞, v
= f எனில் சமன்பாடு பின்வருமாறு மாற்றமடையும்.

லென்ஸின் ஒளிவிலகல் எண் n2, மேலும்,
லென்ஸ் காற்று ஊடகத்தில் வைக்கப்பட்டுள்ளது. அதாவது n2 = n மற்றும் n1
= 1. எனவே, சமன்பாடு பின்வருமாறு மாற்றமடையும்.

மேற்கண்ட சமன்பாட்டிற்கு லென்ஸ் உருவாக்குபவரின்
சமன்பாடு என்று பெயர். ஏனெனில், இச்சமன்பாட்டினை அடிப்படையாகக் கொண்டு நாம் விரும்பும்
குவியத் தூரத்திற்கு எவ்வளவு வளைவு ஆரம் கொண்ட கோளகப்பரப்பு தேவை என்பதையும், எந்தக்
குறிப்பிட்ட ஒளிவிலகல் எண்கொண்ட பொருளைப் பயன்படுத்தவேண்டும் என்பதையும் இச்சமன்பாட்டிலிருந்து
லென்ஸ் உருவாக்குபவர் அறிந்துகொள்கிறார். இச்சமன்பாடு குழிலென்ஸ்க ளுக்கும் பொருந்தும்
சமன்பாடுகள் (6.66) மற்றும் (6.67) இரண்டையும் ஒப்பிட்டுப் பின்வரும் சமன்பாட்டினை
எழுதலாம்.

இச்சமன்பாட்டிற்கு லென்ஸ் சமன்பாடு என்று பெயர். இதுபொருளின் தூரம் , பிம்பத்தின் தூரம்மற்றும் குவியத்தூரம் மூன்றையும் தொடர்புபடுத்துகிறது. இச்சமன்பாடு குழிலென்ஸ்க ளுக்கும் பொருந்தும்.

h1 உயரம் கொண்ட OO' என்ற பொருள்
படம் 6.35-இல் காட்டியுள்ளவாறு முதன்மை அச்சுக்குச் செங்குத்தாக வைக்கப்பட்டுள்ளது
எனக்கருதுக. லென்ஸ் முனை வழியே செல்லும் OP கதிர் எவ்வித விலகலும் அடையாமல் நேர்க்கோட்டுப்பாதையில்
செல்கிறது. முதன்மை அச்சுக்கு இணையாக வரும் கதிர், இரண்டாவது குவியம் வழியாகச் செல்கிறது.
இவ்விரண்டு கதிர்களும் சந்திக்கும் புள்ளியில் h2, உயரமுள்ள தலைகீழான மெய்பிம்பம்
II' கிடைக்கிறது.
பிம்பத்தின் உயரத்திற்கும், பொருளின் உயரத்திற்கும்
உள்ள விகிதம் பக்கவாட்டு அல்லது குறுக்குவெட்டு உருப்பெருக்கம் (m) என வரையறுக்கப்படுகிறது.

ஒத்த முக்கோணங்கள் ΔPOO'
மற்றும் ΔPII',
யிலிருந்து

குறியீட்டு மரபினைப் பயன்படுத்தும்போது,

இதனைச் சமன்பாடு (6.70) இல் பிரதியிட்டால்
உருப்பெருக்கம்,

சமன்பாட்டினை மாற்றியமைத்த பின்னர்,

உருப்பெருக்கம் மெய்பிம்பங்களுக்கு எதிர் குறியாகவும்,
மாய பிம்பங்களுக்கு நேர்குறியாகவும் இருக்கும்.
குழிலென்ஸ்களுக்கு உருப்பெருக்கம் எப்போதும்
நேர்குறியாகும், மேலும் ஒன்றை விட குறைவாகும். லென்ஸ் சமன்பாட்டினையும், உருப்பெருக்கச்
சமன்பாட்டினையும் ஒன்றிணைத்துப் பின்வரும் சமன்பாட்டினைப் பெறலாம்.

எடுத்துக்காட்டு
6.14
ஓர் இருபுறகுவிலென்ஸின் வளைவு ஆரங்கள் முறையே
20 cm மற்றும் 15 cm. லென்ஸ் செய்யப்பட்ட பொருளின் ஒளிவிலகல் எண் 1.5 எனில், அந்த லென்ஸின்
குவியத்தூரம் என்ன? லென்ஸின் முன்பக்கத்தைப் பின்பக்கமாகத் திருப்பிவைத்துப் பயன்படுத்தினால்
அதன் குவியத்தூரம் மாறுமா?
தீர்வு
இருபுறகுவிலென்ஸைப் பொருத்தவரை முதல் பரப்பின்
வளைவு ஆரம்நேர்குறியாகவும், இரண்டாம் பரப்பின் வளைவு ஆரம் எதிர்குறியாகவும் இருக்கும்.
இது படத்தில் காட்டப்பட்டுள்ளது.

கொடுக்கப்பட்டவை, n = 1.5, R1 =
20 cm மற்றும் R2 = -15 cm
லென்ஸ் உருவாக்குபவரின் சமன்பாட்டிலிருந்து,

கொடுக்கப்பட்ட மதிப்புகளைப் பிரதியிடும்போது

குவியத்தூரம் நேர்குறியில் உள்ளதால் இது ஒரு
குவிக்கும் லென்ஸ் ஆகும். லென்ஸின் முன்பக்கத்தைப் பின்பக்கமாக மாற்றி வைக்கும் போது

தற்போது, R1 =
15 cm மற்றும் R2 = -20 cm, n = 1.5
மதிப்புகளைப் பிரதியிடும்போது

எனவே, லென்ஸின் முன்பக்கத்தைப் பின்பக்கமாக
மாற்றிவைத்துப் பயன்படுத்தும் போதும் அதன் குவியத்தூரம் மாறாது. இஃது அனைத்து லென்ஸ்களுக்கும்
பொருந்தும். மாணவர்கள் லென்ஸ்களை வைத்து இதனைச் சரிபார்க்கலாம்.
எடுத்துக்காட்டு
6.15
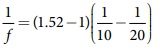
ஒளிவிலகல் எண் 1.52 கொண்ட பொருளால், படத்தில்
உள்ளது போன்று வடிவமைக்கப்பட்ட லென்ஸின் குவியத்தூரத்தைக் கணக்கிடு (C1
மற்றும் C2 என்று குறிக்கப்பட்ட புள்ளிகள் முதல் மற்றும் இரண்டாம் பரப்புகளின்
வளைவு மையங்களைக் குறிக்கின்றன).

தீர்வு
இவ்வகையான லென்ஸ்கள், குவி - குழி லென்ஸ்கள்
(Convexo- Concave) என்று அழைக்கப்படும். கொடுக்கப்பட்டவை, n = 1.52, R1 =
10 cm மற்றும் R2 = 20 cm
லென்ஸ் உருவாக்குபவரின் சமன்பாட்டிலிருந்து,

கொடுக்கப்பட்ட மதிப்புகளைப் பிரதியிட்டு,


குவியத்தூரம் நேர்குறி மதிப்புடையதால் இது
ஒரு குவிக்கும் லென்ஸ் ஆகும்.
லென்ஸின் திறன் (Power of a lens)
லென்ஸின் திறன் என்பது, ஒளிக்கதிர்களை வளைக்கும்
திறனைக் குறிப்பதாகும். அதாவது லென்ஸின் மீது விழும் ஒளிக்கதிர்களை எந்த அளவிற்கு அந்த
லென்ஸ் வளைக்கிறது என்பதையே லென்ஸின் திறன் அளக்கிறது. லென்ஸின் திறன் அதன் குவியத்தூரத்திற்கு
எதிர்த்தகவு ஆகும். அதாவது அதிகத் திறன் கொண்ட லென்ஸ் ஒளிக்கதிரை அதிகம் வளைக்கும்
திறனையும், குறைந்த குவியத்தூரத்தையும் பெற்றிருக்கும். படம் 6.36 இல் (அ) லென்ஸை விட
(ஆ) லென்ஸின் வளைக்கும் திறன் அதிகம். (ஆ) லென்ஸின் வளைக்கும் திறன் அதிகம் என்பதால்
அதன் குவியத்தூரம் குறைவாகும். இதுபோன்றே (அ) லென்ஸின் வளைக்கும் திறன் குறைவு என்பதால்
அதன் குவியத்தூரம் அதிகமாகும்.

வேறுவகையில் கூறுவோமாயின் ஒரு லென்ஸின் திறன்,
அந்த லென்ஸின் மீது விழும் ஒளிக்கதிர்களை எந்த அளவிற்குக்குவியச் செய்கிறது அல்லது
விரிவடைய வைக்கிறது என்பதை அளக்கிறது என்றும் கூறலாம். ஒரு லென்ஸின் குவியத்தூரத்தின்
தலைகீழே, அந்த லென்ஸின் திறன் என வரையறுக்கப்படுகிறது.

திறனின் அலகு டையாப்டர் (diopter) D ஆகும்.
1 D = 1 m-1 குவிக்கும் லென்ஸ்கள் நேர்குறி திறனையும், விரிக்கும் லென்ஸ்க
ள் எதிர்குறி திறனையும் பெற்றுள்ளன.
சமன்பாடு 6.68 இல் இருந்த திறனின் சமன்பாட்டை
பின்வருமாறு எழுதலாம்.

இச்சமன்பாட்டிலிருந்து அதிக ஒளிவிலகல் எண்கொண்ட
லென்ஸின் திறனும் அதிகம் எனப்புரிந்துகொள்ளலாம். இதே போன்று ஒளிவிலகல் எண் குறைவாக
உள்ள லென்ஸ்களின் திறனும் குறைவாகும். மேலும் குறைந்த வளைவு ஆரம் கொண்ட (பருமனான) லென்ஸ்க
ள் அதிகத்திறனையும், அதிக வளைவு ஆரம் கொண்ட (மெல்லிய) லென்ஸ்கள் குறைந்த திறனையும்
பெற்றிருக்கும்.
எடுத்துக்காட்டு
6.16
150 cm குவியத்தூரம் கொண்ட கண்ணாடியால் செய்யப்பட்ட
லென்ஸின் திறனைக் காண்க
தீர்வு
கொடுக்கப்பட்டவை; குவியத்தூரம் f = 150 cm
(அல்லது) f = 1.5 m
லென்ஸின் திறன் சமன்பாடு, P = 1/f
கொடுக்கப்பட்ட மதிப்புகளைப் பிரதியிட்டால்
P= 1 /1.5 = 0.67 டையாப்டர்
திறன் நேர்க்குறியில் உள்ளதால், இது ஒரு குவிக்கும் லென்ஸ் ஆகும்.
என்ற இரண்டு லென்ஸ்க ளைக் கருதுக.
அவை ஒன்றை ஒன்று தொட்டுக்கொண்டுள்ளவாறு ஒரே அச்சில் வைக்கப்பட்டுள்ளன. இவற்றின் குவியத்தூரங்கள்
முறையே f1, மற்றும் f2, ஆகும். இவை இரண்டும் ஒரே அச்சில் வைக்கப்பட்டுள்ளதால்
அவற்றின் முதன்மை அச்சுக்கள் ஒன்றே. O என்ற பொருள் ஒன்று முதன்மை அச்சில், முதல் லென்ஸின்
குவியத்தூரத்திற்கு அப்பால் வைக்கப்பட்டுள்ளது. இப்பொருளின் பிம்பம் I' என்ற இடத்தில்
தோன்றுகின்றது. இந்த பிம்பம் இரண்டாவது லென்ஸ்க்கு பொருளாகச் செயல்படுகின்றது. இந்த
பிம்பம் படம் 6.37இல் காட்டியுள்ளவாறு I-யில் ஏற்படுகின்றது. இரண்டு லென்ஸ்க ளும் மெல்லிய
லென்ஸ்கள் ஆகும். அளவீடுகள் அனைத்தும் இரண்டு லென்ஸ்களின் பொதுவான லென்ஸ் முனையிலிருந்து
P அதாவது இரண்டு லென்ஸ்களின் மையத்திலிருந்து அளக்கப்படுகின்றன.

பொருளின் தொலைவு PO = u மற்றும் முதல் லென்ஸ்க்கான பிம்பத்தின் தொலைவு P’2 = V’ இரண்டாவது லென்ஸ்க்கான
பிம்பத்தின்
தொலைவு PI = v.
முதல் லென்ஸ்க்கு
லென்ஸ் விதியை
எழுதும்போது

இரண்டாவது லென்ஸ்க்கு ,
லென்ஸ் விதியை
எழுதும்போது,

சமன்பாடுகள் (6.76) மற்றும் (6.77) இரண்டையும்
கூட்டும் போது,

இந்த லென்ஸ்களின் கூட்டமைப்பு குவியத்தூரம்
கொண்ட ஒற்றை லென்ஸ் போன்று செயல்படுகின்றது. எனவே O புள்ளியில் உள்ள பொருளின் பிம்பம்
I யில் ஏற்படுகின்றது எனக்கருதினால்,

சமன்பாடுகள் (6.78) மற்றும் (6.79) இரண்டையும்
ஒப்பிடும்போது,

மேற்கண்ட சமன்பாட்டை, எத்தனை லென்ஸ்கள் கொண்ட
கூட்டமைப்பிற்கும் நாம் விரிவுப்படுத்தி எழுதலாம்.

இச்சமன்பாட்டை லென்ஸ்களின் திறன்களை அடிப்படையாகக்
கொண்டு எழுதும்போது,

இங்கு , P என்பது லென்ஸ் கூட்டமைப்புகளின்,
நிகர திறனாகும். சமன்பாடு (6.82) இல் லென்ஸ் கூட்டமைப்பின் நிகரதிறன் என்பது, தனித்தனி
லென்ஸ்க ளின் திறன்களின் குறியியல் கூடுதலுக்குச் சமம் என்பதை நாம் புரிந்துகொள்ள வேண்டும்.
தனித்தனி லென்ஸ்க ளின் திறன் நேர்குறியாகவும் (குவிலென்ஸ்க ளுக்கு) இருக்கலாம் அல்லது
எதிர்குறியாகவும் (குழிலென்ஸ்க ளுக்கு) இருக்கலாம். லென்ஸ் கூட்டமைப்பினால் நமக்குத்
தேவையான உருப்பெருக்கத்தை பெறமுடியும். மேலும், இக்கூட்டமைப்பினால் பிம்பத்தின் துல்லியத்தன்மையை
மேம்படுத்த முடியும். முதல் லென்ஸினால் உருவாக்கப்படும் பிம்பம், இரண்டாவது லென்ஸ்க்குப்
பொருளாகச் செயல்படும். இவ்வாறே, அடுத்தடுத்த லென்ஸ்களுக்கும் மேற்கண்ட செயல் நடைபெறும்.
எனவேலென்ஸ் கூட்டமைப்பின் மொத்த உருப்பெருக்கத்திறன் m, தனித்தனி லென்ஸ்க ளின் உருப்பெருக்குத்
திறன்களின் பெருக்கல் பலனுக்குச் சமமாகும். எனவே இதனை பின்வருமாறு எழுதலாம் m = m1x
m2 x m3 (நிரூபணம் தவிர்க்கப்பட்டுள்ளது)
எடுத்துக்காட்டு
6.17
குவியத்தொலைவு -70 cm கொண்ட லென்ஸ் ஒன்றுடன்,
150 cm குவியத்தொலைவு கொண்ட மற்றொரு லென்ஸ் தொடும்படி வைக்கப்பட்டுள்ளது. இந்த லென்ஸ்
கூட்டமைப்பின் குவியத்தூரம் மற்றும் திறனைக் கணக்கிடுக.
தீர்வு
கொடுக்கப்பட்டவை : முதல் லென்ஸின் குவியத்தூரம்
f1 = -70 cm. இரண்டாவது லென்ஸின் குவியத்தூரம் f2 = 150 cm
ஒன்றை ஒன்று தொட்டுக்கொண்டுள்ள லென்ஸ் கூட்டமைப்பின்
குவியத்தூரம், 
மதிப்புகளைப் பிரதியிடும்போது,

குவியத்தூரம் எதிர்குறியில் உள்ளதால், இந்த
லென்ஸ் கூட்டமைப்பு ஒரு விரிக்கும் லென்ஸ் ஆகும்.
கூட்டமைப்பின் திறன்,
இரண்டு மெல்லிய லென்ஸ்கள் ஒரு குறிப்பிட்ட
தொலைவில் பிரித்து வைக்கப்பட்டுள்ள போது, அவ்வமைப்பின் பொதுவான ஒளியியல் மையத்தை அறுதியிட்டுக்
கூறமுடியாது. எனவே, இவற்றை மெல்லிய ஒற்றை லென்ஸாகக் கருதமுடியாது. உண்மையில் இக்கூட்டமைப்பைப்
பருமனான லென்சாகத்தான் கருத வேண்டும். ஆனால், அதற்கான விளக்கம் மிகவும் சிக்கலானது
(நமது தற்போதைய நோக்கத்திற்கு அப்பாற்பட்டது). இருந்தபோதிலும், சிறப்பு நேர்வாக ஈரில்லா
தொலைவில் பொருள் உள்ள நிலையில், இக்கூட்டமைப்பை ஒரு மெல்லிய லென்ஸ் எனக் கருதலாம்.
குவியத்தூரம் மற்றும் கூட்டமைப்பிற்கு இணையான லென்ஸின் நிலை போன்றவற்றைக் கோண விலக்க
கருத்தை அடிப்படையாகக் கொண்டு காணலாம்.
O என்ற புள்ளி பொருளைக் கருதுக. இது லென்ஸின்
முதன்மை அச்சின்மீது படம் 6.38 வில் காட்டியுள்ளவாறு வைக்கப்பட்டுள்ளது. OA என்பது
படுகதிர். இதுலென்ஸின் ஒளியியல் மையத்திலிருந்து h உயரத்தில் உள்ள A என்ற புள்ளியில்
விழுகிறது. இக்கதிர் δ கோணம் விலகி முதன்மை அச்சில்
I என்ற புள்ளியில் பிம்பத்தைத் தோற்றுவிக்கிறது.
படுகதிர் மற்றும் விலகுகதிர் இரண்டும் முதன்மை
அச்சில் ஏற்படுத்தும் கோணங்கள் முறையே ΔAOP = a மற்றும் ΔAIP
= β ஆகும்.

முக்கோணம் ΔOAI இல்
, விலகுகோணத்தைப் δ பின்வருமாறு எழுதலாம்

PO மற்றும் PI, இவற்றுடன் ஒப்பிடும்போது உயரம்
h சிறியதாகும். இதன் காரணமாக a,β மற்றும் δ இவற்றின்
கோணங்களும் சிறியதாகும். எனவே,

சமன்பாட்டினைச் சீரமைத்தபின்னர்

உயரத்திற்கும், குவியத்தூரத்திற்கும் உள்ள
விகிதமே, விலகுகோணம் என்று மேற்கண்ட சமன்பாட்டிலிருந்து அறிந்துகொள்ளலாம். தற்போது
படம் 6.39இல் காட்டியுள்ளவாறு, f1 மற்றும் f2 குவியத்தூரங்களைக்
கொண்ட இரண்டு லென்ஸ்கள், பொது அச்சில் d தொலைவில் பிரித்து வைக்கப்பட்டுள்ள அமைப்பைக்
கருதுவோம்.
இணைக்கதிரொன்று இவ்வமைப்பின்மீது படும்போது,
இரண்டு லென்ஸ்க ளும் முறையே δ1 மற்றும்
δ2 என்ற
விலகல்களை ஏற்படுத்துகின்றன. இவற்றின் தொகுபயன் விலகல்

சமன்பாடு (6.87) லிருந்து

சமன்பாடு (6.88)பின்வருமாறு மாற்றமடையும்,

வடிவியல் விதிகளிலிருந்து,

மேற்கண்ட சமன்பாட்டை, சமன்பாடு, (6.90)இல்
பிரதியிடும்போது,

மேலும் இச்சமன்பாட்டினைச் சுருக்கும்போது,

மேற்கண்ட சமன்பாடு குவியத் தூரத்திற்கு இணையான
சமன்பாட்டினைப் பெற பயன்படுகிறது. லென்ஸ் கூட்டமைப்பிற்கு இணையான லென்ஸின் நிலையினைக்
கண்டறிய பின்வரும் வடிவியல் விதிகளைப் பயன்படுத்தும்போது,

சிந்தனைத் துளிகள்

புகைப்படக் கருவிகள், நுண்ணோக்கிகள், தொலைநோக்கிகள் மற்றும் ஒளியியல் கருவிகளுக்குத் தேவையான லென்ஸ்களை வடிவமைக்கும்போது, லென்ஸ் கூட்டமைப்பே பொதுவாகப் - பயன்படுத்தப்படுகிறது. இக்கூட்டமைப்பு, சிறந்த உருப்பெருக்கம் மற்றும் துல்லியமான பிம்பங்களைத் தோற்றுவிக்கும்.
மேற்கண்ட சமன்பாடு (6.93), இரண்டாவது லென்ஸில்
இருந்து லென்ஸ் கூட்டமைப்பிற்கு இணையான, ஒற்றை லென்ஸின் நிலையைக் கொடுக்கிறது.
முதல் லென்ஸில் இருந்து, லென்ஸ் கூட்டமைப்பிற்கு
இணையான ஒற்றை லென்ஸின் நிலை பின்வருமாறு

இணையான படுகதிர்கள் அல்லது ஈரில்லாத் தொலைவில் பொருள் உள்ளபோது
போன்ற . சிறப்பு நேர்வுகளுக்கு மட்டுமே மேற்கண்ட சமன்பாடுகள் (6.92), (6.93) மற்றும்
(6.94) ஆகியவை பொருந்தும். பொருள் ஒரு குறிப்பிட்டத்தொலைவில் உள்ளபோது இச்சமன்பாடுகளைப்
பயன்படுத்த முடியாது. பொருள் குறிப்பிட்ட தொலைவில் இருக்கும் நிகழ்வுகளில், இரண்டு
லென்ஸ்க ளின் (லென்ஸ் கூட்டமைப்பின்) லென்ஸ் சமன்பாட்டைப் பயன்படுத்திப் பிம்பத்தின்
நிலையைக் கணக்கிடவேண்டும்.
எடுத்துக்காட்டு
6.18

10cm குவியத்தூரம் கொண்ட குவிலென்ஸிலிருந்து
15 cm தொலைவில், 5 mm உயரம் கொண்ட பொருளொன்று வைக்கப்பட்டுள்ளது. 5 cm குவியத்தூரம்
கொண்ட இரண்டாவது லென்ஸ், முதல் லென்ஸிலிருந்த 40 cm தொலைவிலும், பொருளிலிருந்து 55
cm தொலைவிலும் வைக்கப்பட்டுள்ளது.
இச்சூழ்நிலையில் பின்வருவனவற்றைக் காண்க.
(அ) இறுதி பிம்பத்தின் நிலை, (ஆ) பிம்பத்தின் தன்மை , (இ) பிம்பத்தின் அளவு
தீர்வு
கொடுக்கப்பட்டவை, h1 = 5 mm =
0.5 cm, u1 = -15 cm, f1 = 10 cm, f2 = 5 cm, d
= 40 cm
முதலாவது லென்ஸ்க்கு லென்ஸ் விதியை எழுதும்போது,
1/v1 – 1/u1 = 1/f1
மதிப்புகளைப் பிரதியிடும் போது,

முதல் லென்ஸ், 30 cm தொலைவில் லென்ஸிற்கு வலப்புறமாகப்
பிம்பத்தை உருவாக்கும். பிம்பத்தின் உயரத்தைக் காணல். உருப்பெருக்கத்திற்கான சமன்பாட்டிலிருந்து,
m = h2/h1 = v/u
மதிப்புகளைப் பிரதியிடும் போது,
h2/0.5 = 30/-15
h2 =0.5x 30/-15 = -1 cm
பிம்பத்தின் உயரம் எதிர்குறியில் உள்ளதால்,
பிம்பம் தலைகீழான, மெய்பிம்பமாகும். இப்பிம்பம் இரண்டாவது லென்ஸிற்குப் பொருளாகச் செயல்படும்.
எனவே,
இரண்டாவது லென்ஸின் இடப்புறமாக 10 cm தொலைவில்
பொருள் உள்ளது (40-30=10 cm) எனவே , u2 = -10 cm
இரண்டாவது லென்ஸிற்கு , லென்ஸ் சமன்பாட்டை
எழுதும்போது
1/v2 – 1/u2 = 1/f2
மதிப்புகளைப் பிரதியிடும் போது,

இரண்டாவது லென்ஸின் வலப்புறமாக 10 cm தொலைவில்
பிம்பம் தோன்றுகிறது. இறுதி பிம்பத்தின் உயரம் காணல். இரண்டாவது லென்ஸினால் ஏற்படுத்தப்பட்டட
இறுதி பிம்பத்தின் உயரத்தை h2’ என்க . இரண்டாவது லென்ஸிற்கான பொருளின் உயரம்
h1’’ என்பது முதல் லென்ஸினால் உருவாக்கப்பட்ட பிம்பத்தின் உயரம் என்பதை
நினைவு கூரவும். எனவே h1’’ = h2’
உருப்பெருக்கச் சமன்பாட்டிலிருந்து , m =
h2’ / h1’’ = v2/u2
மதிப்புகளைப் பிரதியிடும்போது, h2’/-1
= 10/-10
h2’ = (-1) x (10/-10) = 1cm =
10mm
பிம்பத்தின் உயரம் நேர்குறி. எனவே நேரான மெய்பிம்பம்
கிடைக்கும்.