கணக்கு - எல்லைகள் மீதான தேற்றங்கள் (Theorems on limits) | 11th Mathematics : UNIT 9 : Differential Calculus Limits and Continuity
எல்லைகள் மீதான தேற்றங்கள் (Theorems on limits)
முற்பகுதியில் எடுத்துக் கொண்ட முறைசாரா விவாதத்தின் நோக்கம் எல்லை மதிப்பு உள்ளதா, இல்லையா என்பதைப் பற்றி உள்ளார்ந்து உணர்ந்து கொள்ளவே. இருப்பினும், எல்லா நேரங்களிலும் வரைபடம் அல்லது சார்பின் மதிப்புக்கான அட்டவணை மூலம் எல்லை மதிப்பு உள்ளதா? என்பது பற்றி முடிவு செய்வது நடைமுறைச் சாத்தியமில்லை. எனவே எல்லை மதிப்பைக் காணவும் அல்லது எல்லை மதிப்பு இல்லை என நிறுவவும் ஒரு முறை தேவை. இப்பகுதியில் அது போன்ற வழிகளை நிறுவும் தேற்றங்களைக் காணலாம். இந்தத் தேற்றங்களின் நிரூபணம் இப்புத்தகத்திற்கு அப்பாற்பட்டது.
விளக்க எடுத்துக்காட்டு 9.1−ல்
என முடிவு செய்தோம். அதாவது x−ன் மதிப்பு 2−ஐ நெருங்கும்போது f(x) = x2 + 3−ன் எல்லை மதிப்பு x = 2−ல் f(x)−ன் மதிப்புக்குச் சமம் [அதாவது, f(2)]. இருப்பினும், சில நேரங்களில் x0 என்ற புள்ளியில் f(x) வரையறுக்கப்படாமலும் இருக்கலாம் என்பதால் இந்த முறையில் எல்லை மதிப்பைக் காண்பதை எல்லா நேரங்களிலும் பயன்படுத்த முடியாது. இருந்தாலும் f ஒரு பல்லுறுப்புக் கோவை எனில் மதிப்பீடு முறையில் எல்லை மதிப்பைக் கணக்கிட முடியும்.
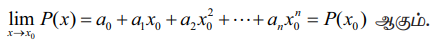
தேற்றம் 9.1
P(x) = a0 + a1x + a2x2 +... + anxn ஒரு பல்லுறுப்புக் கோவை என்க. இங்கு a0, a1,… an என்பன மெய்யெண்கள் மற்றும் n ஒரு நிலையான மிகை முழு எண், எனில்

எடுத்துக்காட்டு 9.7

மாறிலிச் சார்பின் எல்லை மதிப்பு அந்த மாறிலியாகும்.
தேற்றம் 9.2
x0 ∈ ℝ என்ற புள்ளியை உள்ளடக்கிய ஒரு திறந்த இடைவெளி 1 என்க.
f, g : I → ℝ என்க.

இந்த முடிவுகளை, எல்லா முடிவுறு எண்ணிக்கையிலான சார்புகளுக்கும் விரிவுபடுத்தலாம்.
எடுத்துக்காட்டு 9.9
மதிப்பினைக் காண்க:


