நுண்புழையேற்ற முறையில் பரப்பு இழுவிசையைக் காணல்
திரவமும், காற்றும் சந்திக்குமிடத்தில் உள்ள வளைந்த பரப்பின் மீது ஏற்படும் அழுத்த வேறுபாடே திரவமானது நுண்புழைக்குழாயில் மேலேறுவதற்குக் காரணமாக அமைகிறது (ஈர்ப்பின் விளைவைப் புறக்கணிக்க). மிக நுண்ணிய குழாய்களில் நுண்புழையேற்றமானது அதிகமாக உள்ளது. இந்நிகழ்வானது பரப்பு இழுவிசையின் வெளிப்பாடாகும். நுண்புழையேற்றத்திற்கும் (h) பரப்பு இழுவிசைக்கும் (T) உள்ள தொடர்பைப் பெற நுண்புழைக்குழாய் ஒன்று கொள்கலனிலுள்ள நீரில் அமிழ்த்தி வைத்திருப்பதாகக் கருதுக. நுண்புழைக்குழாயில் நீரானது பரப்பு இழுவிசையின் காரணமாக h உயரத்திற்கு மேலேறுகிறது. (படம் 7.31)

பரப்பு இழுவிசையின் காரணமாக ஏற்படும் விசை FT ஆனது தொடும்புள்ளியில் தொடுகோட்டின் வழியே கீழ்நோக்கியும், அதன் எதிர்விசை மேல்நோக்கியும் செயல்படுகின்றன. பரப்பு இழுவிசை T ஆனது இரு கூறுகளாகப் பிரிக்கப்படுகிறது.
(i) கிடைத்தளக்கூறு T sinθ மற்றும்
(ii) செங்குத்துக்கூறு T cosθ பிறைத்தளத்தின் சுற்றளவு முழுவதும் மேல்நோக்கி செயல்படுகிறது.
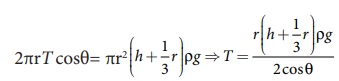
மொத்த மேல்நோக்கிய விசை
= (T cosθ) (2πr) = 2πrT cosθ
இங்கு θ என்பது சேர்கோணம், r என்பது குழாயின் ஆரமாகும். ρ என்பது நீரின் அடர்த்தி மற்றும் h என்பது குழாயில் நீர் மேலேறும் உயரம் எனில்


மேல்நோக்கிய விசையானது நீரின் மேற்பரப்பிற்கு மேலே குழாயில் ஏறியுள்ள நீர்மத்தம்பத்தின் எடையைச் சமன் செய்கிறது.
எனவே,

நுண்புழைக் குழாயானது மிக நுண்ணியதாக r ஆரம் கொண்டிருப்பின் (மிகக் குறைவான ஆரம்) உயரம் h உடன் ஒப்பிட r/3 ஆனது புறக்கணிக்கத்தக்கது. எனவே

h உயரத்திற்கு மேலேறும்போது

நுண்புழை ஏற்றமானது (h) குழாயின் ஆரத்திற்கு (r) எதிர்த்தகவில் உள்ளது என்பதை இது குறிக்கிறது. குழாயின் ஆரம் குறைய நுண்புழையேற்றம் அதிகமாகும்.
எடுத்துக்காட்டு 7.12
நுண்புழைக் குழாய் ஒன்றில் நீர் 2.0 cm உயரத்திற்கு மேலேறுகிறது. இக்குழாயின் ஆரத்தைப்போல் மூன்றில் ஒரு பகுதி ஆரமுடைய மற்றொரு நுண்புழைக் குழாயில் நீர் எந்த அளவிற்கு மேலேறும்?
தீர்வு
சமன்பாடு 7.34 இல் இருந்து h ∝ 1/r ⇒ hr = மாறிலி
r1 மற்றும் r2 ஆரமுடைய இரு நுண்புழைக் குழாய்கள் திரவத்தில் அமிழ்ந்துள்ள போது நுண்புழையேற்ற உயரமானது முறையே h1 மற்றும் h2 எனில்,

எடுத்துக்காட்டு 7.13
சோடாச் சுண்ணாம்பு கண்ணாடிக்கும் பாதரசத்திற்கும் இடையே சேர்கோணம் 140° ஒரு கிண்ணத்திலுள்ள பாதரசத்தில் 2mm ஆரமுடைய இதே கண்ணாடியால் ஆன நுண்புழைக்குழாய் அமிழ்த்தி வைக்கப்பட்டுள்ளது. திரவத்தின் வெளிப்புற மேற்பரப்பைப் பொறுத்து குழாயில் பாதரசத்தின் மட்டம் எவ்வளவு குறையும்?
பாதரசத்தின் பரப்பு இழுவிசை T=0.456 N m-1;
பாதரசத்தின் அடர்த்தி ρ = 13.6 × 103 kg m-3
தீர்வு
நுண்புழை இறக்கம்

கண்ணாடிக் குழாயில் பாதரச மட்டம் கீழிறங்குகிறது என்பதை எதிர்க்குறி காட்டுகிறது.