பாடச்சுருக்கம்:
• ஊடகத்தின் இடப்பெயர்ச்சி இன்றி, ஆற்றலையும் உந்தத்தையும் ஒரு புள்ளியிலிருந்து மற்றொரு புள்ளிக்கு எடுத்துச் செல்லும் மற்றும் முன்னேறிச் செல்லும் ஒரு மாறுபாடு அலை எனப்படும்.
• அலை பரவ ஊடகம் தேவைப்படும் அலைகள் இயக்க அல்லது இயந்திரவியல் (mechanical) அலைகள் எனப்படும்
• அலை பரவ ஊடகம் தேவையற்ற அலைகள் இயந்திரவியல் அல்லாத அலைகள் எனப்படும்.
• குறுக்கலைகளில் ஊடகத்துகள்கள் அலை முன்னேறிச் செல்லும் திசைக்கு செங்குத்து திசையில் அதிர்வுறும்
• நெட்டலைகளில் ஊடகத்துகள்கள் அலை முன்னேறிச் செல்லும் திசைக்கு இணையாக அதிர்வுறும்.
• அலை பரவ மீள்தன்மையும், நிலைமமும் உள்ள ஊடகம் தேவை
• நீர்மப்பரப்பில் ஏற்படும் (மேடு பள்ளங்கள்) அலைகள் குறுக்கலைகள்; அதிர்வுறும் இசைக்கவை ஒன்று ஏற்படுத்தும் அலைகள் நெட்டலைகள்.
• அடுத்தடுத்த இரு முகடுகள் அல்லது அகடுகளுக்கு இடைப்பட்ட தொலைவு அலைநீளம் எனப்படும்.
• ஒரு வினாடியில் ஒரு குறிப்பிட்ட புள்ளியைக் கடக்கும் அலைகள் அதிர்வெண் எனப்படும்.
• அலையின் திசைவேகம் v = λf.
• ஒரு அலை ஒரு புள்ளியைக் கடக்க எடுத்துக்கொள்ளும் நேரம் அலைவு நேரம் T எனப்படும்.
• அதிர்வெண் மூலத்தைப் பொறுத்தது, அலையின் திசை வேகம் ஊடகத்தைப் பொறுத்தது.
• குறுக்கலையின் திசைவேகம் கம்பியின் இழுவிசை, நீள்நிறை (ஓரலகு நீளத்திற்கான நிறை) ஆகியவற்றைப் பொறுத்தது; அலை வடிவத்தைப் பொறுத்தது அல்ல.
• கம்பியில் ஏற்படும் குறுக்கலையின் திசைவேகம் v
.
• மீள் தன்மை ஊடகத்தில், நெட்டலைகளின் திசைவேகம் v 
• 20°C யில் எதிரொலி (echo) ஏற்பட மூலத்திலிருந்து எதிரொலிக்கும் சுவர் அல்லது மலை அமைய வேண்டிய குறைந்தபட்ச தொலைவு 17.2 மீ
• ஒரு பரிமாண அலைச் சமன்பாடு 
• அலை எண் 
• குறுக்கீட்டு விளைவில் செறிவு
இங்கு செறிவானது, வீச்சின் இருமடிக்குச் சமம் I=A2
ஆக்கக் குறுக்கீட்டு விளைவிற்கு, 
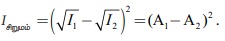
அழிவு குறுக்கீட்டு விளைவிற்கு, 
• சற்றே மாறுபட்ட அதிர்வெண்கள் உடைய இரண்டு அல்லது அதற்கு மேற்பட்ட அலைகள் மேற்பொருந்துவதால் ஒரு புள்ளியில் தொகுபயன் ஒலியின் வீச்சு மாற்றமானது குறிப்பிட்ட நேர இடைவெளியில் தொடர்ந்து ஏற்படுகிறது. இந்நிகழ்வே விம்மல் ஆகும். எனவே, ஒரு வினாடியில் உருவாகும் வீச்சு பெருமங்களே விம்மல் அதிர்வெண்.
• அதிர்வெண்கள், அடிப்படை அதிர்வெண்ணின் முழு எண் மடங்குகளாக அமைந்தால் அவை சீரிசைகள் எனப்படும். முதல் சீரிசை v1 = v1, இரண்டாவது சீரிசை v2 = 2 v1, மூன்றாவது சீரிசை v3, = 3 v1, மேலும் இதே போல் அமையும்
• ஒலியின் உரப்பு என்பது "காதில் ஒலியின் கேட்கும் திறன் (உணர்) அளவின் மதிப்பு அல்லது கேட்பவரின் ஒலி புலனுனர்வு திறன்”
• ஒலியின் செறிவு என்பது "ஒலி முன்னேறும் திசைக்கு செங்குத்தாக ஓரலகு பரப்பின் வழியே ஊடுருவிச் செல்லும் ஒலியின் திறன்"
• ஒலிச்செறிவின் அளவு,
டெசிபல்.
• மூடிய ஆர்கன் குழாயில் சீரிசைகள் ஒற்றைப்படையில் அமையும் n வது சீரிசையின் அதிர்வெண் fn = (2n + 1) f1.
• மூடிய ஆர்கன் குழாயில் சீரிசைகளின் அதிர்வெண் தகவு f1 : f2 : f3 : f4 :... = 1 : 3 : 5 : 7 :...
• திறந்த ஆர்கன் குழாயில் எல்லா சீரிசைகளும் ஏற்படும் n வது சீரிசையின் அதிர்வெண் fn = n f1.
• திறந்த ஆர்கன் குழாயில் சீரிசைகளின் அதிர்வெண் தகவு f1 : f2 : f3 : f4 :... = 1 : 2 : 3 : 4 :...
• ஒலிமூலத்திற்கும் கேட்பவருக்கும் இடையே ஒரு சார்பு இயக்கம் உள்ளபோது ஒலி மூலத்தில் இருந்து வரும் ஒலியின் அதிர்வெண்ணும் அதைக் கேட்பவரால் உணரப்படும் ஒலியின் அதிர்வெண்ணும் மாறுபட்டு இருக்கும். இதுவே டாப்ளர் விளைவு எனப்படும்.