முதல் வரிசை, முதற்படி வகைக்கெழுச் சமன்பாடுகளின் தீர்வு (Solution of First Order and First Degree Differential Equations) | கணிதவியல் - பிரதியீட்டு முறை (Substitution Method) | 12th Maths : UNIT 10 : Ordinary Differential Equations
பிரதியீட்டு முறை (Substitution Method)
dy/dx = f (ax + by + c) எனும் வடிவில் உள்ள வகைக்கெழுச் சமன்பாட்டை கருதுவோம்.
(i) a ≠ 0 மற்றும் b ≠ 0 எனில் ax + by + c = z எனப் பிரதியிட கொடுக்கப்பட்ட சமன்பாடு மாறிகள்பிரிக்கக்கூடிய அமைப்புக்கு மாறும்.
ii) a = 0 அல்லது b = 0 எனில் கொடுக்கப்பட்ட வகைக்கெழுச் சமன்பாடு மாறிகள்பிரிக்கக்கூடியதாக இருப்பதைக் காணலாம்.
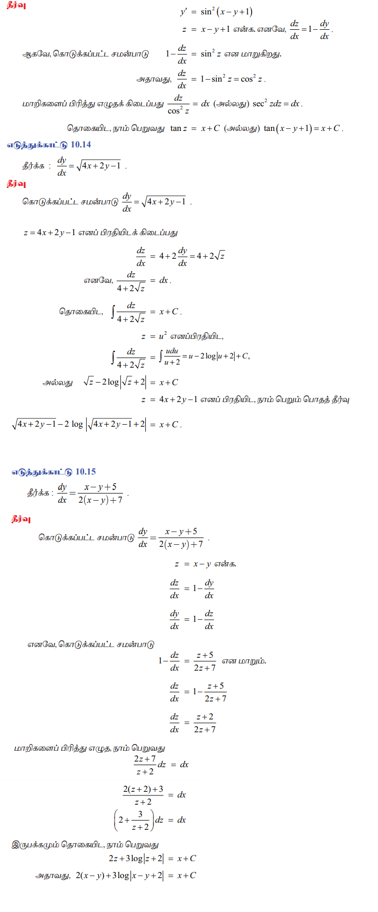
எடுத்துக்காட்டு 10.13
தீர்க்க : y’ = sin2 (x – y + 1).
தீர்வு
y’ = sin 2(x-y+1)

எடுத்துக்காட்டு 10.16
தீர்க்க : dy/dx = (3x + y + 4)2
தீர்வு
கொடுக்கப்பட்ட சமன்பாடு dy/dx = (3x + y + 4)2
இக் கொடுக்கப்பட்டச் சமன்பாட்டின் தீர்வு காண z = 3x + y + 4 எனப்பிரதியிடுகிறோம்.
xஐப் பொருத்து வகைக்கெழு காண, நாம் பெறுவது, dy/dx = dz/dx -3.
எனவே, கொடுக்கப்பட்ட வகைக்கெழுச் சமன்பாடு dz/dx = z2 + 3 என மாறும். இச்சமன்பாட்டில் மாறிகள் பிரிபடக்கூடியன.எனவே, மாறிகளைப் பிரித்து தொகையிட, கொடுக்கப்பட்ட வகைக்கெழுச் சமன்பாட்டின் பொதுத்தீர்வு
என நமக்குக் கிடைக்கிறது.