வரையறை, சமன்பாடுகள் சூத்திரம், தீர்க்கப்பட்ட எடுத்துக்காட்டு கணக்குகள், பயிற்சி | பகுமுறை வடிவியல் | கணிதம் - நேர்க்கோடுகள் | 11th Maths : UNIT 6 : Two Dimensional Analytical Geometry
நேர்க்கோடுகள் (Straight Lines)
நேரிய சமன்பாடுகளை இயற்கணித அடிப்படை விதிகளைப் பயன்படுத்திப் பல்வேறு வடிவங்களில் எழுதலாம். இதுபோன்ற நேரிய சமன்பாடுகளைப் பெரும்பாலும் "நேர்க்கோடுகளின் சமன்பாடுகள்” எனக் குறிப்பிடப்படுகின்றன. நேரிய சமன்பாடுகளின் பொது வடிவத்தை
ax + by + c = 0 .......................6.4
என எழுதலாம். இங்கு a மற்றும் b இவற்றில் குறைந்தது ஒன்றாவது பூச்சியமற்றதாக இருக்கவேண்டும். ஓர் சமன்பாட்டின் தீர்வுகள் அனைத்தும் ஒரு தளத்தின் ஒரு நேர்க்கோட்டில் அமைந்தால் அந்தச் சமன்பாட்டை "நேரிய (Linear)" சமன்பாடு எனக் குறிப்பிடலாம்.
ஒரு நேர்க்கோட்டின் சமன்பாட்டைப் பல வடிவங்களில் இயற்கணித அடிப்படை விதிகளைக் கொண்டு மாற்றி எழுத முடியும். இவ்வடிவங்களின் பெயர்கள், அதை எழுதுவதற்குத் தேவையான தகவல்களின் அடிப்படையில் அமைக்கப்பட்டுள்ளன. இவற்றில் புள்ளிகள் (Points), சாய்வு (Slope) மற்றும் வெட்டுத்துண்டுகள் (Intercepts) ஆகியவை முக்கியத் தகவல்களாகும்.
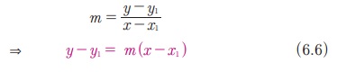
1. ஒரு நேர்க்கோட்டின் சாய்வுக் கோணத்திற்கும் சாய்வுக்கும் இடையே உள்ள தொடர்பு (The relationship between the angle of inclination and slope)

x மற்றும் y -அச்சுகளைக் கொண்ட தளத்தில் ஒரு கோட்டின் சாய்வு பொதுவாக ‘m' என்ற எழுத்தால் குறிப்பிடுகிறோம். இந்தச் சாய்வு கொடுக்கப்பட்ட விவரங்களைக் கொண்டு காணலாம்.
(i) ஒரு கோடு கடிகார எதிர் திசையில் x -அச்சுடன் ஏற்படுத்தும் சாய்வுக் கோணம் θ எனில் கோட்டின் சாய்வு (slope)
m = tan θ
இங்கு θ -ன் மதிப்பு π/2 எனும் போது m = tan π/2 என்பது வரையறுக்கப்படாதவை.
(ii) (x1, y1) மற்றும் (x2, y2) என்ற புள்ளிகள் ஒரு கோட்டின் மீது அமைந்துள்ளது எனில், இக்கோட்டின் சாய்வு y-ஆயத்தின் மாறுபாட்டை x-ஆயத்தின் மாறுபாட்டால் வகுக்கக் கிடைக்கும் எண் ஆகும். இங்கு x2 ≠ x1 இதனைக் கீழ்க்கண்டவாறு விவரிக்கலாம்.

(iii) நேர்க்கோடு ax + by + c = 0 என்ற பொது வடிவில் கொடுக்கப்பட்டால்,
இக்கோட்டின் சாய்வு

இங்கு b = 0 எனில், m வரையறுக்கப்படாதவை.
ஒரு கோட்டின் மிகை, குறை, பூச்சியம் மற்றும் வரையறுக்கப்படாத சாய்வுகள்

A, B மற்றும் C என்பன ஒரு தளத்தின் மீது அமைந்துள்ள ஏதேனும் மூன்றுப் புள்ளிகள் என்க. AB -ன் சாய்வு BC (அல்லது AC) -ன் சாய்வுக்குச் சமம் எனில், A, B மற்றும் C ஆகிய புள்ளிகள் ஒரே கோடமைப் புள்ளிகள் ஆகும்.


y - மதிப்பு பூஜ்ஜியம் எனில் கிடைக்கும் புள்ளி x -ன் வெட்டு ஆகும். மேலும், x -ன் மதிப்பு பூஜ்ஜியம் எனில், கிடைக்கும் புள்ளி y -ன் வெட்டு ஆகும். கிடைமட்டம் மற்றும் நேர்குத்து அச்சுகளை வெட்டும் புள்ளிகள் ஒரு கோட்டின் வெட்டுகள் எனப்படும். இவற்றிலிருந்து,
(i) x -அச்சின் சமன்பாடு y = 0 எனவும்
(ii) y -அச்சின் சமன்பாடு x = 0 எனவும் ெதளிவாகிறது.
படத்திலிருந்து OA என்பது x -ன் வெட்டுத்துண்டு மற்றும் OB என்பது y -ன் வெட்டுத்துண்டு ஆகும்.
x மற்றும் y -ன் வெட்டுத்துண்டுகளின் வெவ்வேறு வகைகள்

புள்ளிகள், சாய்வு மற்றும் வெட்டுத் துண்டுகள் ஆகியவற்றின் வரையறை மற்றும் விரிவான தகவல்களை அறிந்துள்ளோம். இத்தகவல்களைப் பயன்படுத்தி வெவ்வேறான வடிவமுடைய நேர்கோட்டின் சமன்பாட்டை நினைவு கூறுவோம்.
நேர்க்கோட்டின் சமன்பாட்டை அமைப்பதற்கு இரண்டு தகவல்கள் போதுமானதாகும். சாய்வு, வெட்டுத்துண்டுகள் மற்றும் புள்ளிகள் இவைகளில் ஏதேனும் இரண்டு தகவல்களைக் கொண்டு பலவகையான நேர்க்கோட்டின் சமன்பாடுகளின் வகைகளை உருவாக்க முடியும்.
(i) சாய்வு மற்றும் வெட்டுத்துண்டு வடிவம்
(ii) புள்ளி மற்றும் சாய்வு வடிவம்
(iii) இரு புள்ளிகள் வடிவம்
(iv) வெட்டுத்துண்டு வடிவம்
மேலும் கீழ்க்கண்ட இரண்டு சிறப்பு வகைச் சமன்பாடுகள்.
(v) செங்குத்து வடிவம்
(vi) துணையலகு வடிவம், மேலும்
(vii) பொது வடிவம்
ஆகிய நேர்க்கோடுகளின் வடிவங்களை இரண்டு தகவல்களைப் பயன்படுத்திக் காணலாம்.
(i) சாய்வு மற்றும் வெட்டுத்துண்டு வடிவம் (Slope-Intercept form)
விகிதச் சமமான நேரிய சார்புகளை y = mx என்ற வடிவத்தில் எழுதலாம். இங்கு m என்பது கோட்டின் சாய்வு. விகிதச் சமமற்ற நேரிய சார்புகளை
y = m x + b, b ≠ 0 .........................6.5

என்ற வடிவத்தில் எழுதலாம். இந்த வடிவம் கொண்ட சமன்பாடு ஒரு நேர்க்கோட்டின் சாய்வு- வெட்டுத்துண்டு வடிவம் ஆகும். ஏனெனில், இங்குச் சாய்வு m மற்றும் y வெட்டுத்துண்டு b ஆகும்.
குறிப்பு: (i) b = 0 மற்றும் m ≠ 0 எனும்போது நேர்க்கோடு ஆதிப்புள்ளி வழியே செல்கிறது. மேலும் அதன் சமன்பாடு y = mx
(ii) b = 0 மற்றும் m = 0 எனில் இந்த வகை நேர்க்கோடுகள் x- அச்சுடன் ஒன்றியிருக்கும். மேலும் அதன் சமன்பாடு y = 0
(iii) b ≠ 0 மற்றும் m = 0 எனில் இந்த வகையான நேர்க்கோடு x அச்சிக்கு இணையாக இருக்கும். அதன் சமன்பாடு y = b ஆகும்.
(ii) புள்ளி மற்றும் சாய்வு வடிவம் (Point and Slope form)

m என்பது நேர்கோட்டின் சாய்வு மற்றும் A (x1, y1) என்பது கோட்டின் மீதுள்ள புள்ளி என்க. இக்கோட்டின் மீது அமைந்துள்ள A -ஐ தவிர ஏதேனும் ஒரு புள்ளி P(x,y) எனில், A (x1, y1) மற்றும் P(x,y) ஆகியவற்றை
இணைக்கும் நேர்க்கோட்டின் சாய்வு

இவ்வடிவத்தை புள்ளி - சாய்வு வடிவம் எனக் கூறலாம்.
குறிப்பு: y -அச்சிற்கு இணையான கோட்டின் சாய்வு (m) வரையறுக்கப்படவில்லை என்பதால், A(x1, y1) வழிச் செல்லும் y - அச்சிற்கு இணையான கோட்டின் சமன்பாட்டைப் புள்ளி - சாய்வு அமைப்பின் மூலம் பெற இயலாது. இருப்பினும் அக்கோட்டின் மீதுள்ள அனைத்துப் புள்ளிகளில் x ஆயத் தொலைவுகள் x1 என்பதால் அக்கோட்டின் சமன்பாடு x = x1 ஆகும்.
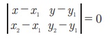
(iii) இரு புள்ளிகள் வடிவம் (Two-points form)

எனவும் எழுதலாம். இது இரு புள்ளிகள் வடிவ நேர்க்கோட்டின் சமன்பாடாகும். இரு புள்ளிகள் வடிவ நேர்க்கோட்டின் சமன்பாட்டை கீழ்க்காணுமாறு அணிக்கோவை வடிவத்திலும் குறிப்பிடலாம்.

(iv) வெட்டுத்துண்டு வடிவம் (Intercept Form)
ஒரு கோடு x மற்றும் y - அச்சுகளில் ஏற்படுத்தும் வெட்டு துண்டுகள் தெரியும் எனில், அதன் சமன்பாட்டை இங்குக் காணலாம். x -ன் வெட்டுத் துண்டு OA = a மற்றும் y -ன் வெட்டுத்துண்டு OB = b என்க. இங்கு, a, b என்பன பூச்சியமற்ற மதிப்புகள் ஆகும். A(a, 0) மற்றும் B(0, b) என்ற இவ்விரு புள்ளிகள் வழியே செல்லக்கூடிய நேர்க்கோட்டின் சமன்பாடு,

மேற்கண்ட நேர்க்கோட்டின் சமன்பாடு வெட்டுத்துண்டு வடிவம் ஆகும்.
ஒரு நேர்க்கோடு ஆதிப்புள்ளி வழியாகவோ, கிடைமட்டக் கோடாகவோ, நிலைக்குத்துக் கோடாகவோ அல்லது a, b இவற்றில் ஏதேனும் ஒன்று பூஜ்ஜியமாக இருப்பின் இந்த வடிவத்தில் (Intercept form) எழுத முடியாது. வரைபடமாக வரைவதற்கு இந்த வடிவத்தில் சமன்பாடுகளை அமைத்தால் மிக எளிதாக இருக்கும்.
(v) செங்குத்து வடிவம் (Normal Form)
ஒரு நேர்க்கோடு ஆயஅச்சுகளை வெட்டும் புள்ளிகள் A மற்றும் B என்க. p என்பது ஆதிப் புள்ளியிலிருந்து AB என்ற கோட்டிற்கு வரையப்படுள்ள OP என்ற செங்குத்துத்கோட்டின் நீளம் என்க. OP என்ற கோடு மிகை திசையில் அச்சுடன் ஏற்படுத்தும் கோணம் α என்க.

ஒரு நேர்கோட்டின் எல்லா நிலையிலும் p ஆனது மிகை ஆகும். மற்றும் α என்பது x - அச்சுக்கு மிகை திசையில் (Anti clockwise-கடிகார எதிர் திசை) மதிப்பிடப்படுகிறது எனில் எல்லா வகைகளிலும் உள்ள கோடுகள் செங்குத்து வடிவத்தில் அமைக்கலாம். இவற்றை கீழ்க்கண்ட படத்தில் காணலாம்.

(vi) துணையலகு வடிவம் (Parametric Form)
நேர்க்கோட்டின் துணையலகு சமன்பாட்டின் வடிவமானது
x = ar + x1 மற்றும் y = br + y1. இங்கு a மற்றும் b என்பன மாறிலிகள் மற்றும் r என்பது துணையலகு ஆகும்.


ஒரு நேர்க்கோடு Q(x1, y1) என்ற புள்ளி வழியே செல்வதாக எடுத்துக்கோள்வோம். இக்கோடானது x - அச்சுடன் ஏற்படுத்தும் கோணம் θ என்க.
புள்ளி Q -ல் இருந்து r தொலைவில் இக்கோட்டின் மீதுள்ள புள்ளி P(x, y) என்க.
P மற்றும் Q என்ற புள்ளிகளிலிருந்து x -அச்சுக்கு வரையப்படும் நிலைக்குத்துக் கோடுகள் முறையே QN மற்றும் PM ஆகும் மற்றும் QR ⊥ PM .
செங்கோண ΔQRP-ல்,

இங்கு, துணையலகு r என்பது ஒரு கோட்டின் மீது அமைந்துள்ள (x1, y1) மற்றும் (x, y) என்ற புள்ளிகளுக்கு இடைப்பட்ட தூரம் ஆகும். மேற்கண்ட வடிவத்தினைக் கோட்டின் சமச்சீர் வடிவம் அல்லது துணையலகு வடிவம் என அழைக்கலாம்.
குறிப்பு: ஒரு நேர்க்கோட்டின் மீது உள்ள எந்த ஒரு புள்ளியையும் (x1 + rcos θ, y1 + rsin θ) என எழுதலாம், இப்புள்ளியின் ஆயத்தொலைவுகள் துணையலகு r -ஐ சார்ந்து இருக்கும் என்பதால் x = x1 + rcos θ, y = y1 + rsin θ) என்ற சமன்பாடுகள் நேர்க்கோட்டின் துணையலகு சமன்பாடு எனப்படும். r -ஐ மிகையாகக் கொண்ட புள்ளிகள் மற்றும் r -ஐ குறையாகக் கொண்ட புள்ளிகள் முறையே கோட்டின் மீது கொடுக்கப்பட்ட புள்ளிக்கு வெவ்வேறு பக்கங்களில் நேர்க்கோட்டின் மேல் அமையும்.
(vii) பொது வடிவம் (General form)
a, b மற்றும் c ஆகியவை பூஜ்ஜியமற்றவை எனில், ஒரு நேர்க்கோட்டின் பொது வடிவச் சமன்பாடு
ax + by + c = 0 ஆகும்.
கொடுக்கப்பட்ட தகவல்கள் அடிப்படையில் நேர்க்கோட்டின் சமன்பாடு வகைகள்

இரண்டு மாறக்கூடிய கணியங்கள் (quantities), ஒவ்வொன்றையும் மாறிகளாகக் (variable) குறிப்பிடலாம். ஒரு மாறியைப் பொறுத்து மற்றொரு மாறி மாறும் வீதமானது, ஒரு மாறிலி எனில் அத்தொடர்பு ஒரு நேரிய தொடர்பாகும்.
நேரிய (Linear) சமன்பாட்டில் ஒரு மாறி சார்பற்ற மாறியாகவும், மற்றொரு மாறிச் சார்பு மாறியாகவும் இருக்கும். பொதுவாக சார்பற்ற மாறி (Independent Variable) கிடை அச்சிலும் (x- அச்சு) மற்றும் சார்பு மாறிகளை செங்குத்து அச்சிலும் (y-அச்சு) குறிக்கப்படும். அதாவது x -ன் மதிப்பு எப்போதும் சார்பற்றதாகவும், y-ன் மதிப்பு x-ன் மதிப்பைச் சார்ந்ததாகவும் இருக்கும்.
இரு அச்சுகளின் அளவுத் திட்டங்கள் (Scale) ஒன்றாக இருக்கத் தேவையில்லை. பல நடைமுறை கணக்குகளில் வெவ்வேறு அளவுகள் x மற்றும் y என்ற மாறிகளால் குறிப்பிடப் படுகின்றன.
எடுத்துக்காட்டாக, x என்பது விற்பனை செய்யப்பட்ட கைப்பேசிகளின் எண்ணிக்கை (Mobile phones) மற்றும் y என்பது விற்பனையால் கிடைக்கும் மொத்த வருமானம் எனக் கொள்ளலாம். வெவ்வேறு கணியங்கள் வெவ்வேறு அளவு திட்டங்களில் குறிப்பிடப்படுகின்றன. எனினும் இருபரிமாண ஆய அச்சுகளின் அமைப்பில் இரு அளவு திட்டமும் பூச்சியமாகும்போது ஆதியில் சந்திக்கின்றன.
நேர்க்கோடுகளைப் பயன்படுத்தித் தீர்வு காணும்போது கொடுக்கப்பட்ட தகவல்கள் அடிப்படையில் பொருத்தமான வடிவத்தை மேற்கண்ட அட்டவணையிலிருந்து சமன்பாடுகளை தேர்ந்தெடுக்க வேண்டும்.
எடுத்துக்காட்டு 6.7 (5, 7) மற்றும் (7, 5) என்ற புள்ளிகள் வழியே செல்லக்கூடிய நேர்க்கோட்டின் சாய்வைக் காண்க. மேலும் x -அச்சுடன் ஏற்படுத்தும் சாய்வுக் கோணத்தைக் காண்க.
தீர்வு
(x1, y1) மற்றும் (x2, y2) என்பன முறையே (5, 7) மற்றும் (7, 5) என்க.
θ என்பது x -அச்சுடன் ஏற்படுத்தும் சாய்வுக் கோணம் என்க.

எடுத்துக்காட்டு 6.8 ஒரு நேர்க்கோடு x-அச்சுடன் ஏற்படுத்தும் கோணம் 150° மற்றும் y -அச்சைக் குறை திசையில் 5 அலகு தொலைவில் வெட்டுகிறது எனில், நேர்க்கோட்டின் சமன்பாட்டைக் காண்க.
தீர்வு
கொடுக்கப்பட்ட y-ன் குறை வெட்டுத்துண்டு = 5,
அதாவது b = -5

எடுத்துக்காட்டு 6.9 (0,-3/2), (1,-1) மற்றும் (2,-1/2) என்ற புள்ளிகள் ஒரு கோடமைப் புள்ளிகள் என காட்டுக.
தீர்வு

குறிப்பு: ஒரு மாறி மற்றொரு மாறியைப் பொறுத்து மாறும் வீதம் ஒரு மாறிலி எனில், அதனைச் சாய்வு எனக் கொள்ளலாம். (எடுத்துக்காட்டு, வேகம், சீராக அதிகரித்தல் அல்லது குறைதல்...) வரையறுக்கப்படும் ஆய அச்சுகளைப் பொறுத்து நேர்க்கோட்டின் சமன்பாடு அமைகிறது. உண்மை நிகழ்வுகளில் கோட்டின் சமன்பாடுகள் ஒன்றுபோல் இருக்க வேண்டும் என்பதில்லை. ஆனால், அதன் பாதை மற்றும் தூரம் ஆகியவை ஒத்தவையாக இருக்கும்.
எடுத்துக்காட்டு 6.10 பாக் நீரிணைப்பின் மீது அமைக்கப்பட்டுள்ள தொடர்வண்டிக்கான பாம்பன் கடல் பாலம் சுமார் 2065 மீட்டர் நீளத்தில் கட்டப்பட்டுள்ளது. இப்பாலம் தீவு நகரமான இராமேஸ்வரத்தையும் இந்திய நிலப்பகுதியில் உள்ள மண்டபத்தையும் இணைக்கிறது. இப்பாலத்தின் மீது தொடர்வண்டி செல்வதற்குச் சில கட்டுப்பாடுகள் உள்ளன. அதன் சீரான வேகம் 12.5 மீ/வி எனத் தீர்மானிக்கப்பட்டுள்ளது. மண்டபத்தில் உள்ள பாலத்தின் துவக்கப் பகுதியிலிருந்து, 560 மீட்டர் நீளம் கொண்ட தொடர்வண்டி நகரத் தொடங்குகிறது எனில்,
(i) தொடர்வண்டி செல்லும் இயக்கச் சமன்பாட்டைக் காண்க.
(ii) எப்போது இராமேஸ்வரத் தீவில் தொடர்வண்டி இயந்திரமானது நுழையும்?
(iii) எப்போது தொடர்வண்டியின் கடைசி பெட்டி பாலத்தின் தொடக்கப் பகுதியைக் கடக்கும்?
(iv) பாம்பன் கடல் பாலத்தைத் தொடர்வண்டி கடந்து செல்வதற்கு எடுத்துக் கொள்ளும் நேரம் என்ன?
தீர்வு
x - அச்சில் நேரத்தை வினாடியிலும்,
y -அச்சில் தொலைவை மீட்டரிலும் குறிக்கின்றது என்க.
தொடர்வண்டி இயந்திரம் ஆதிப்புள்ளி O-ல் உள்ளது என்க. எனவே தொடர் வண்டியின் நீளம் 560 மீ. y- அச்சின் குறை வெட்டுத்துண்டாகும்.
எனவே, b = - 560
தொடர்வண்டியின் இயக்கத்தின் சீரான வேகம் 12.5 மீ/வி என்பதைச் சாய்வாகக் கருதலாம்.
m = 12.5 (வேகம்= தொலைவு / நேரம்)

சாய்வு மற்றும் வெட்டுத்துண்டு கொடுக்கப்பட்டால் நேர்க்கோட்டின் சமன்பாடு
y = mx + b (6.13)
(i) m = 12.5 மற்றும் b = -560 என்பதால்
தொடர்வண்டியின் இயக்கச் சமன்பாடு
y = 12.5x – 560
(ii) பாலத்தின் எதிர்ப்புற முனையைத் தொடர்வண்டியின் இயந்திரம் தொடும் நேரம்
y = 2065 மற்றும் b = 0
2065 = 12.5x
x = 165.2 வினாடிகள்
(iii) தொடர்வண்டியின் கடைசி பெட்டியானது பாலத்தின் தொடக்க முனையை அடையும்போது
y = 0 ⇒ 0 = 12.5x - 560
எடுத்துக்கொள்ளும் நேரம், x = 44.8 வினாடிகள்
(iv) தொடர்வண்டி பாம்பன் பாலத்தைக் கடந்து செல்வதற்காக எடுத்துக்கொண்ட நேரம்
y = 2065 = 2065 = 12.5x - 560
x = 210 வினாடிகள்
குறிப்பு: தொடர்வண்டியின் முடிவுப் புள்ளி ஆதியில் இருப்பதாகவும் கொண்டு நேர்க்கோட்டின் சமன்பாட்டைக் காண்க. அது மேலே உள்ள சமன்பாடாக இருக்காது. ஆனால், தொடர்வண்டி செல்லும் பாதை, தூரம், நேரம் போன்றவை ஒன்றாக இருக்கும். (முயற்சி செய்க)
எடுத்துக்காட்டு 6.11 y -அச்சின் வெட்டுத்துண்டு 7 மற்றும் நேர்கோட்டிற்கும் y -அச்சுக்கும் இடைப்பட்ட கோணம் 30° எனில், நேர்க்கோடுகளின் சமன்பாடுகளைக் காண்க.
தீர்வு
y - அச்சுடன் கோணம் 30° ஏற்படுத்தும் கோடுகள் இரண்டு உள்ளன.
படத்திலிருந்து அக்கோடுகள் x -அச்சுடன் 60° மற்றும் 120° ஆகிய கோணங்களை ஏற்படுத்துகின்றன எனத் தெளிவாகிறது.

குறிப்பு: இரண்டு புள்ளிகள் கொடுக்கப்பட்டால், இருபுள்ளி வடிவம் அல்லது புள்ளி- சாய்வு வடிவ சமன்பாட்டைப் பயன்படுத்தலாம். இரண்டு வெட்டுத்துண்டுகள் கொடுக்கப்பட்டால் வெட்டுத்துண்டு வடிவத்தையோ அல்லது இருபுள்ளி வடிவத்தையோ பயன்படுத்தி நேர்க்கோடுகளின் சமன்பாடுகளை அமைக்கலாம்.
கீழ்க்கண்ட எடுத்துக்காட்டு இயல் 5-ல், தொடர்முறையும் தொடரும் கருத்தைப் பயன்படுத்தி தீர்வு காணப்பட்டுள்ளது. இருப்பினும் இதே எடுத்துக்காட்டுக் கணக்கை நேர்க்கோடுகளின் கருத்தைப் பயன்படுத்தி இங்கு தீர்வு காணலாம்.
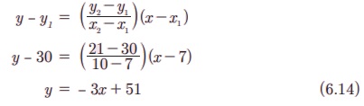
எடுத்துக்காட்டு 6.12 ஒரு கூட்டுத்தொடர் முறையில் (A.P.) 7 ஆவது உறுப்பு 30 மற்றும் 10 ஆவது உறுப்பு 21 எனில்,
(i) A.P.-ல் முதல் மூன்று உறுப்புகளைக் காண்க.
(ii) எப்போது கூட்டுத்தொடரின் உறுப்பு பூச்சியமாகும்.
(iii) நேர்கோட்டின் சாய்வுக்கும் கூட்டுத்தொடரின் பொது வித்தியாசத்திற்கும் உள்ள தொடர்பு ஆகியவற்றைக் கண்க.
தீர்வு
ஒரு கூட்டுத் தொடர் முறையானது ஒரு நேரிய சார்பு ஆகும். x என்பது உறுப்புகளின் எண்ணிக்கை மற்றும் y என்பது அந்த உறுப்பின் மதிப்பு என்க.
(x1, y1) மற்றும் (x2, y2) முறையே (7, 30) மற்றும் (10, 21) என்க.
y – y1 = m (x – x1) என்ற சமன்பாட்டிலிருந்து

(i) x = 1, 2 மற்றும் 3 எனச் சமன்பாடு (6.14) -ல் பிரதியிட A.P. -ன் முதல் மூன்று - உறுப்புகள் முறையே 48, 45 மற்றும் 42 ஆகும்.
(ii) y = 0 எனச் சமன்பாடு (6.14) -ல் பிரதியிட
0 = -3x + 51 ⇒ x = 17
அதாவது, கூட்டுத்தொடர் முறையில் பதினேழாவது உறுப்பு பூச்சியமாகும்.
(iii) இந்நேர்கோட்டின் சாய்வு -3, கூட்டுத் தொடரின் பொது வித்தியாசத்திற்குச் சமம் என்பது தெளிவாகியது. (கூட்டுத்தொடரின் பொது வித்தியாசமும், அதன் கோட்டின் சாய்வும் ஒன்றே என நிரூபிக்க முயற்சிக்கவும்).
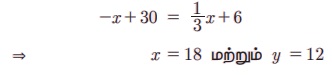
எடுத்துக்காட்டு 6.13 ஒரு குறிப்பிட்ட வகை குறுந்தகடு ஒன்றின் விலை ₹8 ஆக இருக்கும் போது 22,000 குறுந்தகடுகளை வாடிக்கையாளர்கள் வாங்குவார்கள். ஒரு குறுந்தகட்டின் விலை ₹30 அல்லது அதற்கு மேல் விலை கொடுத்து வாங்க மாட்டார்கள். அதே சமயத்தில் ஒரு குறுந்தகட்டின் விலை ₹6 அல்லது அதற்கு குறைவாக இருக்கும் போது உற்பத்தியாளர் விற்பனை செய்ய மாட்டார். இருப்பினும், குறுந்தகடு ஒன்றின் விலை ₹14 ஆக இருக்கும் போது உற்பத்தியாளரால் 24,000 குறுந்தகடுகளை வழங்க இயலும். தேவை மற்றும் வழங்கல் அளவுகள், விலைக்கு நேர்விகித சமமாக எடுத்துக்கொண்டால் பின்வருவனவற்றை எவ்வாறு காணலாம்.
(i) தேவைச் சமன்பாடு (Demand Equation)
(ii) வழங்கல் சமன்பாடு (Supply Equation)
(iii) சந்தையின் சமநிலையில் குறுந்தகடுகளின் எண்ணிக்கை மற்றும் விலை
(iv) ஒரு குறுந்தகட்டின் விலை ₹10 எனில் தேவை மற்றும் வழங்கல் அளவு.
தீர்வு
x-அச்சானது ஓர் அலகு ஆயிரம் அலகுகள் கொண்ட குறுந்தகடுகளின் எண்ணிக்கையையும், y-அச்சு ஓர் அலகு ஒரு ரூபாயையும் குறிக்கிறது என்க.
(i) தேவைச் சமன்பாடு (Demand equation)
(x1, y1) மற்றும் (x2, y2) என்ற புள்ளிகள் முறையே (22, 8) மற்றும் (0, 30) என எடுத்துக்கொள்வோம்.
இரு புள்ளி வடிவ நேர்க்கோட்டின் சமன்பாட்டைப் பயன்படுத்த,

(iii) சந்தை சமநிலையில் தேவை மற்றும் வழங்கல் சமநிலையை அடையும்.
அதாவது, yD = yS

சந்தை சமநிலையில் ஒரு குறுந்தகட்டின் விலை ₹12 மற்றும் குறுந்தகடுகளின் எண்ணிக்கை 18,000 ஆக இருக்கும்.
(iv) ஒரு குறுந்தகட்டின் விலை ₹10 இருக்கும்போது தேவை சமன்பாட்டில்,
y = 10 ⇒ yD = -x + 30
⇒ x = 20
அதாவது, தேவையான குறுந்தகடுகளின் எண்ணிக்கை 20,000 ஆகும்.
இதைப்போல், வழங்கல் சமன்பாட்டில்,

இங்கு, வழங்கப்படும் குறுந்தகடுகளின் எண்ணிக்கை 12,000 ஆகும்.
எடுத்துக்காட்டு 6.14 ஒரு நேர்க்கோட்டின் ஆய அச்சுகள் சமமாகவும், எதிர்மறை குறிகளையும் கொண்ட வெட்டுத் துண்டுகளை உடைய மற்றும் (-1, 1) என்ற புள்ளி வழியே செல்லக்கூடிய கோட்டின் சமன்பாட்டைக் காண்க.
தீர்வு
x - அச்சின் வெட்டுத்துண்டு = a மற்றும்
y -அச்சின் வெட்டுத்துண்டு = -a என்க.
எனவே, தேவையான நேர்க்கோட்டின் சமன்பாடு


மேற்கண்ட சமன்பாடானது (-1, 1) வழியே செல்வதால்,
(-1) - (1) = a ⇒ a = - 2
தேவையான நேர்க்கோட்டின் சமன்பாடு,
- x - y + 2 = 0
எடுத்துக்காட்டு 6.15 (9, 4) என்ற புள்ளி வழியாகச் செல்லும் குறை சாய்வைக் கொண்ட L என்ற ஒரு நேர்க்கோடு P மற்றும் Q என்ற புள்ளியில் மிகை ஆய அச்சுகளை வெட்டுகிறது. L ஆனது மாறக்கூடியதாயின் |OP|+|OQ| -ன் மீச்சிறு மதிப்பைக் காண்க. இங்கு O என்பது ஆதிப்புள்ளி ஆகும்.
தீர்வு
L என்ற நேர்க்கோட்டின் சாய்வு m என்க. மேலும் இக்கோடானது (9, 4) என்ற புள்ளி வழியே செல்கிறது எனில் L -ன் சமன்பாடு

எடுத்துக்காட்டு 6.16 ஒரு நேர்க்கோட்டிற்கு ஆதியிலிருந்து வரையப்படும் செங்குத்தின் நீளம் 12 மற்றும் x - அச்சுடன் மிகை திசையில் ஏற்படுத்தும் கோணம் 150° எனில், கோட்டின் சமன்பாட்டைக் காண்க.
தீர்வு
இங்கு p = 12 மற்றும் கோணம் α = 150°
எனவே, தேவையான நேர்க்கோட்டின் சமன்பாடு,
x cos α + ysin α = p
அதாவது,
x cos 150° + y sin 150° = 12
⇒ √3x – y + 24 = 0
எடுத்துக்காட்டு 6.17 ஒரு கோடு ஆய அச்சுகளுடன் ஏற்படுத்தும் முக்கோணத்தின் பரப்பு 36 சதுர அடி மற்றும் ஆதியிலிருந்து அக்கோட்டிற்கு வரையப்படும் செங்குத்து கோடு மிகை x -அச்சுடன் ஏற்படுத்தும் கோணம் 45° எனில், நேர்க்கோட்டின் சமன்பாட்டைக் காண்க.
தீர்வு
P என்பது ஆதியிலிருந்து கோட்டிற்கு வரையப்படும் செங்குத்து தொலைவு என்க.
x -அச்சுடன் செங்குத்துக் கோடு ஏற்படுத்தும் கோணம் = 45°
தேவையான நேர்க்கோட்டின் சமன்பாடு
xCOS α + ysin α = p
⇒ xcos 45° + y sin 45° = p
x + y = √2p
இந்தச் சமன்பாடு ஆய அச்சுகளுடன் வெட்டும் புள்ளிகள் A(√2p, 0) மற்றும் B(0, √2p)
Δ OAB -ன் பரப்பளவு = ½ × √2p × √2p = 36
⇒ p = 6 (இங்கு p ஒரு மிகை எண்)
அதாவது, தேவையான நேர்க்கோட்டின் சமன்பாடு
x + y = 6√2
எடுத்துக்காட்டு 6.18 ஒரு நேர்க்கோடானது மிகை x -அச்சுடன் ஏற்படுத்தும் கோணம் 60° மற்றும் (4,7) என்ற புள்ளியிலிருந்து 5√2 அலகுகள் தொலைவைக் கொண்ட x – y + 3 = 0 என்ற கோட்டின் வழியே செல்லும் நேர்க்கோட்டுகளின் சமன்பாட்டைக் காண்க.
தீர்வு
x – y + 3 = 0 என்ற கோட்டின் சாய்வுக் கோணம் 45° மற்றும் புள்ளி (4,7) கோட்டின் மீது உள்ளது.
துணையலகு வடிவத்திலிருந்து,

மேற்கண்ட சமன்பாட்டை இவ்வடிவத்தில் எழுதலாம்.

(கோட்டின்மீது (4,7) - க்கு வெவ்வேறு பக்கங்களிலிருந்து தூரம் r = ±5 √2) அதாவது, x – 4 = y – 7 = ±5
இதன் மூலம், கோட்டின் மீது அமைந்துள்ள (4,7) என்ற புள்ளிக்கு ஏதேனும் ஒரு பக்கத்திலிருந்து 5√2 அலகுகள் தூரத்தில் உள்ள புள்ளிகள் (4 + 5, 7+ 5) மற்றும் (4 – 5, 7 – 5).
தேவையான புள்ளிகள் (9, 12), (-1, 2) மற்றும் சாய்வு
m = tan 60° = √3)
மேற்கண்ட மதிப்புகளை பயன்படுத்தி சாய்வு-புள்ளி வடிவத்தில் எழுத,
√3x – y + (12 – 9 √3) = 0 மற்றும்
√3x – y + (2 + √3) = 0
ஒரு நேர்க்கோட்டின் பொது வடிவம் Ax + By + C = 0
இங்கு A, B மற்றும் C என்பன மெய் எண்கள் மேலும் இரண்டும் ஒரே நேரத்தில் பூச்சியம் ஆகாது. மேற்கண்ட பொது வடிவத்தை மற்ற வடிவங்களில் மாற்றலாம்.
(i) சாய்வு மற்றும் வெட்டுத்துண்டு வடிவம் (B ≠ 0) (Slope-intercept form)
கொடுக்கப்பட்ட சமன்பாட்டைக் கீழ்க்காணுமாறு எழுதலாம்.

(ii) வெட்டுத்துண்டு வடிவம் (Intercept form)
கொடுக்கப்பட்ட சமன்பாட்டைக் கீழ்க்கண்டவாறு எழுதலாம்.

(A, B மற்றும் C இவை அனைத்தும் பூஜ்ஜியமற்ற மெய்யெண்கள்)
வெட்டுத்துண்டு வடிவத்துடன் ஒப்பிடும் போது,

(iii) செங்குத்து வடிவம் (Normal form)
Ax + By + C = 0 இங்கு A, B என்பன பூஜ்ஜியமற்ற மதிப்புகள்.
மேற்கண்ட சமன்பாட்டை x cosθ + ysinθ = p என்ற சமன்பாட்டுடன் ஒப்பிடும்போது

எடுத்துக்காட்டு 6.19 √3x – y + 4 = 0 என்ற கோட்டை கீழ்க்காணும் சமான வடிவத்திற்கு மாற்றுக.
(i) சாய்வு மற்றும் வெட்டுத்துண்டு வடிவம்
(ii) வெட்டுத்துண்டு வடிவம்
(iii) செங்குத்து வடிவம்
தீர்வு
(i) சாய்வு மற்றும் வெட்டுத்துண்டு வடிவம்

(iii) செங்குத்து வடிவம்

குறிப்பு: கொடுக்கப்பட்ட சமன்பாட்டைத் தேவையான வடிவத்திற்கு மாற்ற ஒத்த கெழுக்களின் சமவிகித விதியைப் பயன்படுத்தலாம்.
எடுத்துக்காட்டு 6.20 √3x + y + 4 = 0 என்ற கோட்டைச் செங்குத்து வடிவத்திற்கு மாற்றுக.
தீர்வு
தேவையான வடிவம் x COS α + y sin α = p
கொடுக்கப்பட்ட சமன்பாடு, (-√3) x-y = 4 ( ⸪ p என்பது எப்போதும் மிகை எண்)
இரண்டு சமன்பாடுகளும் ஒரே நேர்க்கோட்டைக் குறிக்கின்றன. எனவே ஒத்த குணகங்கள் சமவிகிதத்தில் இருக்கும்.

குறிப்பு: ஒரு வளைந்த தளத்தின் மீது இரு புள்ளிகளுக்கு இடையே மிகச்சிறு பாதையைக் காணுதல் கடினமானது. இருப்பினும், உருளையின் வளைந்த தளத்தின் மேற்பரப்பில் உள்ள பாதையின் வளைதளத்தை சமதளமாக உருமாற்றும்போது நீளம் மாறாது. உள்ளீடற்ற உருளையின் வளைந்த தளத்தின் மேற்பரப்பை வெட்டிச் செவ்வக வடிவில் தட்டையாக்குவதன் மூலம் கீழே கொடுக்கப்பட்ட கணக்கில் எறும்பு செல்லும் பாதையை எளிதாகத் தீர்மானிக்க முடியும்.
எடுத்துக்காட்டு 6.21 10 செமீ உயரம் மற்றும் 24 செமீ வட்டச் சுற்றளவு கொண்ட உள்ளீடற்ற உருளை வடிவ கலனின் அடிப்பாகத்திலிருந்து வெளிப்புறமாக 4 செமீ உயரத்தில் ஒரு எறும்பு உள்ளது. அதற்கு நேர் எதிர்ப்புறம் மேல் பகுதியிலிருந்து 3செமீ கீழே கலனின் உட்புறமாகத் தேன் துளி ஒன்று உள்ளது எனில்,
(i) எறும்பு தேன் துளியை அடைய நகர்ந்து செல்லும் மிகக் குறைந்த தொலைவு எவ்வளவு?
(ii) எறும்பு செல்லும் பாதையின் சமன்பாடு என்ன?
(iii) எறும்பு உருளைக்குள் எந்த இடத்தில் நுழைகிறது?

தீர்வு
உள்ளீடற்ற உருளையை வெட்டிச் செவ்வக வடிவில் தட்டையாக்கப்பட்டு மேலும் ஒரு பிரதிபலிப்பு செய்யும்போது எறும்பு செல்லும் பாதையை எளிதாக காண முடியும். படத்தில் கண்டவாறு, உருளையின் அடிப்பக்கத்தை x -அச்சாகவும், எறும்பு உள்ள தொடக்கப்புள்ளி A வழியே செல்லும் குத்துக்கோட்டை y - அச்சாகவும் கொள்க. இங்கு H என்பது தேன்துளி இருக்கும் இடம் ஆகும். E என்பது எறும்பு உருளையின் உள்ளே நுழையும் தொடக்க இடம் கொடுக்கப்பட்ட கணக்கின்படி,

குறிப்பு: ஆதிப்புள்ளியை வெவ்வேறு இடங்களில் அமைப்பதால் வெவ்வேறு சமன்பாடுகளை உருவாக்க முடியும். ஆனால், பாதை மற்றும் தொலைவு ஒன்றாக இருக்கும்.
1. கீழ்க்காணும் விவரங்களுக்கு, (1, 1) என்ற புள்ளி வழியே செல்லக்கூடிய நேர்க்கோட்டின் சமன்பாட்டைக் காண்க.
(i) -ன் வெட்டுத்துண்டு (-4)
(ii) சாய்வு 3
(iii) (– 2, 3) என்ற புள்ளி
(iv) ஆதிப்புள்ளியிலிருந்து கோட்டிற்கு வரையப்படும் செங்குத்து கோடு x –அச்சுடன் ஏற்படுத்தும் கோணம் 60°.
2. ஆய அச்சுகளுக்கு இடையே ஒரு கோட்டுத் துண்டின் மையப் புள்ளி p(r, c) எனில் அந்த நேர்க்கோட்டின் சமன்பாடு
எனக் காட்டுக.
3. (1, 5) என்ற புள்ளி வழியாகவும், ஆய அச்சுகளை 3:10 என்ற விகிதத்தில் பிரிக்கக்கூடிய கோட்டின் சமன்பாட்டைக் காண்க.
4. ஆதியிலிருந்து கோட்டிற்கு இடையே உள்ள செங்குத்து தொலைவு p ஆகும். a மற்றும் b என்பன ஆய அச்சுகளின் வெட்டுத்துண்டின் நீளங்கள் எனில்,
என நிறுவுக.
5. நீரின் இயல்பான கொதிநிலை 100°C அல்லது 212° F மற்றும் அதன் உறைநிலை 0°C அல்லது 32°F ஆகும்.
(i) வெப்பநிலை C -கும் F-கும் இடையே உள்ள நேரிய தொடர்பின் சமன்பாட்டைக் காண்க. மேலும்,
(ii) வெப்பநிலை 98.6° F எனில் C-இன் மதிப்பு என்ன?
(iii) வெப்பநிலை 38°C எனில் F-இன் மதிப்பு என்ன?
6. ஒரு பொருள் P என்ற இடத்திலிருந்து ஒரு இலக்கைத் தாக்கச் சீரான வேகத்தில் ஏவப்படுகிறது. அது இலக்கைத் தாக்குவதற்கு 15 வினாடிக்கு முன் 1400 மீட்டர் தூரத்திலும் மற்றும் 18 ஆவது வினாடியில் 800 மீட்டர் தூரத்திலும் இருக்கிறது எனில்,
(i) இலக்கிற்கும் அந்த இடத்திற்கும் இடைப்பட்ட தொலைவு என்ன?
(ii) 15ஆவது வினாடியில் எவ்வளவு தொலைவு கடந்திருக்கும்?
(iii) இலக்கைத் தாக்க எடுத்துக் கொள்ளும் நேரம் எவ்வளவு?
7. ஒரு நகரத்தில் மக்கள் தொகை 2005 மற்றும் 2010 ஆம் ஆண்டுகளில் முறையே 1,35,000 மற்றும் 1,45,000 எனில், 2015 ஆம் ஆண்டு மக்கள் தொகையை தோராயமாகக் காண்க. (மக்கள் தொகையின் வளர்ச்சி ஒரு மாறிலி)
8. ஒரு நேர்க்கோட்டிற்கு ஆதியிலிருந்து வரையப்படும் செங்குத்துக்கோட்டின் நீளம் 12 அலகுகள், அச்செங்குத்துக்கோடு x - அச்சுடன் ஏற்படுத்தும் கோணம் 30° எனில், அந்த நேர்க்கோட்டின் சமன்பாட்டைக் காண்க.
9. (8, 3) என்ற புள்ளி வழியே செல்லக்கூடியதும் ஆய அச்சுகளின் வெட்டுத்துண்டுகளின் கூடுதல் 1 எனில், நேர்க்கோட்டின் சமன்பாட்டைக் காண்க.
10. (1,3), (2,1) மற்றும் (1/2, 4) ஆகிய புள்ளிகள் ஒரு கோடமை புள்ளிகள் என
(i) சாய்வு முறையில் (ii) நேர்க்கோட்டு முறை மற்றும்
(iii) வேறு ஏதேனும் முறையில் காண்பி.
11. A(1, 2) என்ற புள்ளி வழியாகவும் 5/12 சாய்வைக் கொண்ட நேர்க்கோட்டின் மீது, A என்ற புள்ளியிலிருந்து 13 அலகுகள் தூரத்தில் நேர்க்கோட்டின் மேலுள்ள புள்ளிகளைக் காண்க.
12. 150 மீட்டர் நீளமுள்ள தொடர் வண்டி வினாடிக்கு 12.5மீ நிலையான திசைவேகத்தில் செல்கிறது.
(i) தொடர் வண்டி இயக்கத்தின் சமன்பாடு என்ன?
(ii) ஒரு கம்பத்தைக் கடந்து செல்ல எடுத்துக்கொள்ளும் நேரம் என்ன? (iii) 850 மீட்டர் நீளம் கொண்ட பாலத்தைக் கடந்து செல்ல எடுத்துக்கொள்ளும் நேரம் என்ன?
13. ஒரு அறிவியல் சோதனைக்காக, ஒரு சுருள் வளை கம்பி (Spring), ஒரு கொக்கியில் கட்டித் தொங்கவிடப்பட்டுள்ளது. சுருள் வளை கம்பியில் வெவ்வேறு எடைகள் இணைக்க சுருள் வளை கம்பியின் நீளம் அட்டவணையில் உள்ளவாறு நீளுகிறது எனில்,

(i) விளைவுகளை காட்டும் வரைபடம் வரைக.
(ii) சுருள் வளை கம்பியின் நீளம் மற்றும் எடைக்கு உள்ள தொடர்புடைய சமன்பாட்டைக் காண்க.
(iii) சுருள் வளை கம்பியின் உண்மையான நீளத்தைக் காண்க.
(iv) சுருள் வளை கம்பி 9 செமீ நீளம் அடைய வேண்டும் எனில் எவ்வளவு எடை இணைக்க வேண்டும்?
(v) 6 கி.கி. எடையை இணைக்க சுருள்வளைக் கம்பியின் நீளம் என்ன?
14. ஒரு குடும்பம் 14.2 கிகி எடை கொண்ட சமையல் எரிவாயுவினை (LPG) (உருளையின் எடையுடன் 29.5 கிகி) சீரான முறையில் பயன்படுத்தும்போது 24 - வது நாளில் சமையல் எரிவாயு தீர்ந்துவிடுகிறது. உடனடியாக புதிய எரிவாயு உருளை இணைக்கப்படுகிறது.
(i) உருளையிலுள்ள சமையல் எரிவாயுவின் அளவிற்கும் மற்றும் பயன்படுத்தப்பட்ட நாட்களுக்கும் உள்ள தொடர்புடைய சமன்பாட்டைக் காண்க.
(ii) சமையல் எரிவாயுவினை முதல் 96 நாட்கள் பயன்படுத்துவதற்கான வரைபடம் வரைக.
15. 800 × 800 × 720 அலகுகள் பரிமாணம் கொண்ட கனசெவ்வக வடிவம் கொண்ட ஒரு பேரங்காடியில், படத்தில் கண்டவாறு புள்ளியிட்ட பாதையில் நகரும் படிக்கட்டு (escalator) அமைக்க உத்தேசிக்கப்பட்டுள்ளது எனில்,
(i) நகரும் படிக்கட்டின் மொத்த மீச்சிறு நீளத்தினைக் காண்க.
(ii) எந்தெந்த உயரத்தில் நகரும் படிக்கட்டானது திரும்புகின்றது எனக் காண்க.
(iii) நகரும் படிக்கட்டுகள் திரும்பும் இடங்களில் அதன் சாய்வுகளைக் காண்க.
