புள்ளியியல் முறைகள் மற்றும் பொருளாதார அளவையியல் - விலகல் அளவைகள் (σ) | 12th Economics : Chapter 12 : Introduction to Statistical Methods and Econometrics
விலகல் அளவைகள் (σ)
சராசரி அல்லது மையப்போக்கு அளவைகள் ஒரு எண் பரவலின் மையத்தினை மட்டுமே காட்டுகிறது. அப்பரவலின் மையத்திலிருந்து ஒவ்வொரு எண்ணும் எவ்வளவு தூரம் இருபக்கத்திலும் விலகி நிற்கிறது என்பதனை தெரிவிப்பதில்லை. இவ்விலகலைப் பற்றிய அறிவினை நமக்கு தெரிவிப்பது விலகல் அளவு முறைகளாகும் (Measures of Disperson). அவ்விலகலை நாம் வேறுபட்ட முறைகளில் தெரிந்து கொள்ளலாம். மேலும் விலகல் முறைகளை நாம் இரு பிரிவுகளாக காணலாம்:
1. தனித்த விலகல் அளவைகள் (Absolute Measures of Dispersion)
2. ஒப்பீட்டு விலகல் அளவைகள் (Relative Measures of Dispersion)
எந்த அலகுகளில் எண்பரவல் தரப்பட்டிருக்கின்றதோ, அதே அலகுகளில் விலகல் அளவைகள் கணக்கிடப்பட்டு தரப்பட்டால் அவைகள் தனித்த விலகல் அளவைகள் எனப்டுகிறது.
ஆனால் ஒப்பீட்டு விலகல்கள் அளவைகள் அலகுகளிலிருந்து விடுபட்டவை. அவை தனித்த எண்கள், எனவே ஒன்றுக்கும் மேற்பட்ட எண் பரவல்களின் விலகல் அளவைகளை (வேறுபட்ட அலகுகளில் அவைகள் தரப்பட்டிருந்தாலும்) நாம் ஒப்பிட முடியும்.
திட்டவிலக்கம்: கார்ல் பியர்ஸன் 1893ஆம் ஆண்டு நமக்கு அறிமுகப்படுத்தினார். திட்டவிலக்கமானது " விலகல் வர்க்கங்களின் சராசரியின் வர்க்க மூலம்" (Root Mean-square Deviation) எனவும் அழைக்கப்படுகிறது. ஏனெனில், தொடரிலிருக்கும் ஒவ்வொரு எண் மதிப்பும் கூட்டுச்சராசரியிலிருந்து விலகியிருக்கும் தூரத்திற்கான வர்க்கங்கங்களின் சராசரிக்கு வர்க்கமூலம் கண்டறிவது திட்டவிலக்கம் ஆகும். திட்ட விலக்கத்தின் வர்க்கம் மாறுபாடு (Variance) எனப்படுகின்றது.
திட்ட விலக்கம் - இலக்கணம்
"ஒவ்வொரு மதிப்பும் அதன் சராசரியிலிருந்து விலகியிருக்கும் அளவின் வர்க்கத்தின் கூட்டுச்சராசரியின் நேரிடை வர்க்க மூலமதிப்பாகும்". இது - எனக் குறிப்பிடப்படுகின்றது.
திட்டவிலக்கத்தினை கணக்கிடும் முறை
தனித்த தொகுதி (தொகுக்கப்படாத விவரங்கள்) தனித்த தொகுதியில் இரு முறைகளில் திட்ட விலக்கம் கணக்கிடப்படுகின்றது.
அ) உண்மைச் சராசரியிலிருந்து விலக்க மதிப்புக்கள் காணல் (நேரடி முறை)
ஆ) ஊகச் சராசரியிலிருந்து விலக்க மதிப்புக்கள் காணல் (மறைமுக முறை)
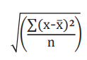
திட்ட விலக்கம் (σ) =
இங்கு X = கூட்டுச் சராசரி
n = தொடரிலுள்ள உறுப்புக்களின் எண்ணிக்கை கணக்கிடுவதில் உள்ள நிலைகள்
கொடுத்துள்ள தொகுதிக்கு,
1. உண்மைச் சராசரி காணல் (X̅ )
2. ஒவ்வொரு மதிப்பும் சராசரியிலிருந்து விலகி இருக்கும் அளவு காண (x ⁼ X – X̅ )
3. விலக்கங்களின் மதிப்பை வர்க்கப்படுத்தி, வர்க்கப்படுத்தப்பட்டுள்ள விலக்கங்களின் கூட்டுத்தொகை காணல் ∑x2
4. இந்தக் கூட்டல் மதிப்பை ∑x2 தொடரிலுள்ள உறுப்புக்களின் எண்ணிக்கையால்
வகுத்தல் (∑x2/n)
5. (∑x2/n) இன் வர்க்க மூல மதிப்பே திட்ட விலக்கமாகும்.

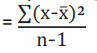
மாதிரி அளவு 30-க்கு குறைவாக இருந்தால்,
மாறுபாடு 
உதாரணம் 1 : பின்வரும் விவரங்களுக்கு திட்டவிலக்கத்தினை காண்க : 25, 15, 23, 42, 27, 25, 23, 25, 20.
தீர்வு உண்மையான சராசரியிலிருந்து திட்டவிலக்கத்தினை காணும் முறை

உதாரணம் 2: பின்வரும் விவரங்களுக்கு அனுமானிக்கப்பட்ட சராசரியிலிருந்து திட்டவிலக்கத்தினை காண்க : 43, 48, 65, 57,31, 60, 37, 48, 78, 59.
தீர்வு அனுமானிக்கப்பட்ட சராசரியிலிருந்து திட்ட விலக்கம் காணும் முறை
