வரையறை, தேற்றம், நிரூபணம், எடுத்துக்காட்டு கணக்குகள் - ஒரு கலப்பெண்ணின் வர்க்கமூலம் (Square roots of a complex number) | 12th Maths : UNIT 2 : Complex Numbers
2. ஒரு கலப்பெண்ணின் வர்க்கமூலம் (Square roots of a complex number)
a + ib −ன் வர்க்கமூலம் x + iy என்க.
அதாவது √[a + ib] = x + iy இங்கு x, y ∈ ℝ
a + ib = (x + iy)2 = x2 − y2 + i2xy
மெய் மற்றும் கற்பனைப் பகுதிகளைச் சமப்படுத்த
x2 − y2 = a மற்றும் 2xy = b
(x2 + y2)2 = (x2 − y2)2 + 4x2y2 = a2 + b2
x2 + y2 மிகை ஆகையால் x2 + y2 = √[a2 + b2]
x2 − y2 = a மற்றும் x2 + y2 = √[a2 + b2] ஆகியவற்றைத் தீர்க்க
எனப் பெறலாம்.
2xy = b என்பதிலிருந்து b மிகை எண்எனில் x மற்றும் y ஆகியவை ஒரே குறியுடையவையாகவும் மற்றும் b குறை எனில் x மற்றும் y ஆகியவை வெவ்வேறு குறியுடையவையாகவும் இருக்கும்.
ஆகவே
இங்கு b ≠ 0. (∵ Re(z) ≤ |z|)
ஒரு கலப்பெண்ணின் வர்க்கமூலம் காண சூத்திரம்
, இங்கு z = a + ib மற்றும் b ≠ 0.
குறிப்பு
b குறை எனில், b/|b| = –1, x மற்றும் y ஆகியவை வெவ்வேறு குறியுடையவை.
b மிகை எனில், b/|b| = 1, x மற்றும் y ஆகியவை ஒரே குறியுடையவை.
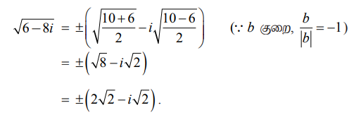
எடுத்துக்காட்டு 2.17
6−8i −ன் வர்க்கமூலம் காண்க.
தீர்வு
|6 – 8i| = √[62 +(−8)2] = 10 மற்றும் வர்க்கமூலம் காண சூத்திரத்தைப் பயன்படுத்த

= ± (√8 − i√2)
= ± (2√2 − i√2).