இயற்பியல் செய்முறை பரிசோதனை - மீட்டர் சமனச்சுற்றைப் பயன்படுத்தி கம்பிச்சுருள் செய்யப்பட்ட பொருளின் மின்தடை எண் கண்டறிதல் | 12th Physics : Practical
மீட்டர் சமனச்சுற்றைப் பயன்படுத்தி கம்பிச்சுருள் செய்யப்பட்ட பொருளின் மின்தடை எண் கண்டறிதல்
மீட்டர் சமனச்சுற்றைப் பயன்படுத்தி கொடுக்கப்பட்ட கம்பிச்சுருள் செய்யப்பட்ட பொருளின் மின்தடை எண்ணை கண்டுபிடித்தல்.
மீட்டர் சமனச்சுற்று, கால்வனாமீட்டர், சாவி, மின்தடைப்பெட்டி, இணைப்புக்கம்பிகள், லெக்லாஞ்சி மின்கலம், தொடுசாவி மற்றும் உயர் மின்தடை.

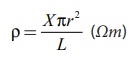
இங்கு, p à கம்பிச்சுருளின்
மின்தடை எண் (Ωm)
X à கொடுக்கப்பட்ட
கம்பிச்சுருளின் மின்தடை (Ω)
L àகம்பிச்சுருளின்
நீளம் (m)
r à கம்பியின் ஆரம் (m)

• மீட்டர் சமனச்சுற்றின் இடது இடைவெளியில் மின்தடைப்பெட்டி
R-ம், வலது இடைவெளியில் கண்டறிய வேண்டிய மின்தடை X-ம் இணைக்கப்படுகின்றன.
• 1m நீளமுள்ள கம்பிக்கு குறுக்கே லெக்லாஞ்சி மின்கலம் ஒன்று
சாவி வழியே இணைக்கப்படுகிறது.
• உணர்திறன் மிக்க கால்வனாமீட்டர் G-ஆனது தாமிரப்பட்டையின் மையப்புள்ளிக்கும்
தொடுசாவி J-க்கும் இடையே உயர் மின்தடை (HR) வழியே இணைக்கப்படுகிறது.
• மின்தடைப்பெட்டியில் தகுந்த மின்தடை தேர்ந்தெடுக்கப்பட்டு,
மின்சுற்று இயக்கப்படுகிறது.
• மின்சுற்றின் இணைப்புகளைச் சரிபார்ப்பதற்கு தொடுசாவியானது
கம்பியின் A முனையில் தொடப்படுகிறது. கால்வனாமீட்டரின் விலகல் ஒரு திசையில் அமையும்.
தொடுசாவியை கம்பியின்மறுமுனையான B-ல் தொடும் போது கால்வனாமீட்டர் விலகல் எதிர்திசையில்
அமைகிறது. இது மின்சுற்றின் இணைப்புகள் சரியாக உள்ளன என்பதை உறுதி செய்கிறது.
• தொடுசாவியை கம்பியின் மீது நகர்த்தி, கால்வனாமீட்டரில் சுழி
விலகலை ஏற்படுத்தும் சமன்செய் புள்ளி J கண்டறியப்படுகிறது.
• அதிலிருந்து சமன்செய் நீளம் AJ = l அளவிடப்படுகிறது.
• X1=R(100-1)/l எனும் வாய்ப்பாட்டைப் பயன்படுத்தி,
மின்தடையின் மதிப்பு X, கண்டறியப்படுகிறது.
• R-ன் வெவ்வேறு மதிப்புகளுக்கு சோதனை மீண்டும் செய்யப்படுகிறது.
• R மற்றும் X ஆகியவற்றை இடப்பரிமாற்றம் செய்து, சோதனை மீண்டும்
செய்யப்படுகிறது.
• X2 = Rl/(100-l) எனும் வாய்ப்பாட்டைப் பயன்படுத்தி,
மின்தடையின் மதிப்பு X2 கண்டறியப்படுகிறது.
• முதல் நேர்வில் பயன்படுத்திய R-இன் மதிப்புகளுக்கு சோதனை மீண்டும்
செய்யப்படுகிறது.
• X1 மற்றும் X2 ஆகியவற்றின் சராசரி மதிப்பானது
கொடுக்கப்பட்ட கம்பிச்சுருளின் மின்தடை Xஆகும்.
• திருகு அளவியைப் பயன்படுத்தி, கம்பியின் ஆரம் r கண்டுபிடிக்கப்படுகிறது.
• மீட்டர் அளவுகோலின் மூலம் கம்பிச்சுருளின் நீளம் L அளவிடப்படுகிறது.
• X, r மற்றும் L ஆகியவற்றின் மதிப்புகளிலிருந்து கம்பிச்சுருள் செய்யப்பட்ட பொருளின் மின்தடைஎண் கண்டறியப்படுகிறது.
கம்பிச்சுருளின் நீளம், L = ________________________ cm
அட்டவணை
1:
கொடுக்கப்பட்ட
கம்பிச்சுருளின் மின்தடையைக் கண்டுபிடித்தல்

சராசரி மின்தடை, X = _____________ Ω
அட்டவணை 2:
கம்பியின்
ஆரத்தைக் கண்டுபிடித்தல்


கொடுக்கப்பட்ட
கம்பிச்சுருளின் மின்தடை எண் = ........................ (Ωm)
1. மின்
இணைப்புகளைச் சரிபார்த்தல்:
மின்சுற்றின் இணைப்புகளைச் சரிபார்ப்பதற்கு தொடுசாவியானது கம்பியின்
A முனையில் தொடப்படுகிறது. கால்வனாமீட்டரின் விலகல் ஒரு திசையில் அமையும். தொடுசாவியை
கம்பியின் மறுமுனையான B-ல் தொடும் போது கால்வனாமீட்டரின் விலகல் எதிர்திசையில் அமைகிறது.
இதுமின்சுற்றின் இணைப்புகள் சரியாக உள்ளன என்பதை உறுதி செய்கிறது.
2. உயர்
மின்தடையின் பயன்பாடு: (HR - High resistance)
கால்வனாமீட்டர் உணர்திறன் அதிகம் உள்ள கருவியாகும். அதிக அளவு
மின்னோட்டம் அதன் வழியே பாயும் போது, கால்வனாமீட்டரின் கம்பிச்சுருள் பாதிப்படையும்.
எனவே, கால்வனாமீட்டரை பாதுகாப்பதற்கு உயர் மின்தடை (HR) பயன்படுத்தப்படுகிறது. கால்வனாமீட்டருடன்
உயர் மின்தடை தொடரிணைப்பில் உள்ளபோது, சுற்றில் பாயும் மின்னோட்டம் குறைகிறது. ஆதலால்
கால்வனாமீட்டர்பாதுகாக்கப்படுகிறது. ஆனால் சமன்செய் நீளம் துல்லியமாக இருக்காது.
3. துல்லியமான
சமன்செய் நீளத்தை கண்டுபிடித்தல்.
முதலில் உயர்மின் தடையை மின்சுற்றில் இணைக்க வேண்டும் (அதாவது,
உயர்மின் தடையின் சொருகு சாவியை நீக்க வேண்டும்). தோராயமான சமன்செய் நீளம் கண்டுபிடிக்கப்படுகிறது.
பின்னர் உயர் மின்தடையை சுற்றில் இருந்து நீக்க வேண்டும் (அதாவது உயர் மின்தடையின்
சொருகு சாவியை பொருத்த வேண்டும்). தற்போது கண்டறியப்படும் சமன்செய் நீளம் துல்லியமாக
இருக்கும்.