கார்பனின் சிறப்பியல்புகள்
இதுவரை 50 இலட்சத்திற்கும் மேலான கார்பன் சேர்மங்கள் கண்டறியப்பட்டுள்ளன. அநேக புது கார்பன் சேர்மங்கள் அனுதினமும் கண்டுபிடிக்கப்படுகின்றன. அல்லது தயாரிக்கப்படுகின்றன. கார்பன் குறைந்த அளவே இயற்கையில் காணப்பட்டாலும்,
கார்பன் சேர்மங்களின் எண்ணிக்கையானது, இயற்கையில் உள்ள மற்ற தனிமங்களுடைய சேர்மங்களின் எண்ணிக்கையைவிட அதிகமாக உள்ளது. ஏன் இந்த தனித்தன்மை மற்ற தனிமங்களில் இல்லாமல் கார்பனில் மட்டும் காணப்படுகிறது? ஏனெனில், கார்பனானது, சில சிறப்பியல்புகளைக் கொண்டுள்ளது.
சங்கிலித் தொடராக்கம் என்பது ஒரு தனிமம் அதே தனிமத்துடனோ அல்லது மற்ற தனிமங்களுடனோ நான்முக இணைதிறன் மூலம் இணைந்து திறந்த சங்கிலிச் சேர்மங்களையோ அல்லது மூடிய சங்கிலிச் சேர்மங்களையோ உருவாக்குவதாகும். சங்கிலித் தொடராக்கம் மூலம் மிக நீண்ட சங்கிலிகளை உடைய சேர்மங்களை உருவாக்கக்கூடிய ஒரு முக்கியமான தனிமம் கார்பனாகும். கார்பன் அணுக்கள் அவற்றுடன் மீண்டும் மீண்டும் சகப்பிணைப்பின் மூலமாக கார்பனும் அவற்றின் சேர்மங்களும் இணைந்து நீண்ட சங்கிலி,
கிளைச் சங்கிலி மற்றும் வளையச் சங்கிலிகளை உருவாக்குகின்றன.

கார்பனின் இந்த சங்கிலித் தொடராக்கப் பண்புதான் உலகில் இவ்வளவு கார்பன் சேர்மங்கள் உருவாகக் காரணமாக உள்ளது. எனவே, கரிம வேதியியல் என்பது சங்கிலித் தொடராக்கத்தின் மூலம் பிணைக்கப்பட்ட கார்பன் சேர்மங்களைப் பற்றியதாகும்.
செயல்பாடு 1
உங்கள் ஆசிரியரின் உதவியுடன் கீழ்க்கண்ட சேர்மங்களை வகைப்படுத்தி அவற்றை அட்டவணையில் நிரப்புக.
HCN, CO2, புரப்பேன், PVC, CO, LPG, தேங்காய் எண்ணெய், மரக்கட்டை, வாசனைத் திரவியங்கள், ஆல்கஹால், Na2CO3
Caco,, MgO, பருத்தி, பெட்ரோல், மண்ணெண்ணெய்
எடுத்துக்காட்டாக, சர்க்கரையும் செல்லுலோஸும் நூற்றுக் கணக்கான கார்பன் அணுக்களால் ஆன சங்கிலிகளைக் கொண்டுள்ளன. நாம் அன்றாடம் அதிகம் பயன்படுத்தும் நெகிழியும் கூட சங்கிலிப் பிணைப்பைக் கொண்ட கார்பனின் பெரிய மூலக்கூறாகும்.
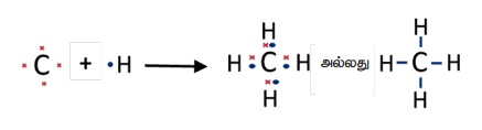
கார்பனின் மற்றொரு முக்கியமான தன்மை நான்முக இணைதிறன் ஆகும். கார்பனின் எலக்ட்ரான் அமைப்பு 2,
4 (இதன் அணு எண் 6) ஆகும். இதன் வெளிக்கூட்டில் நான்கு எலக்ட்ரான்கள் காணப்படுகின்றன. எண்ம விதியின்படி கார்பன் தன் அருகிலுள்ள மந்த வாயுவான நியானின் எலக்ட்ரான் அமைப்பை அடைவதற்கு நான்கு எலக்ட்ரான்கள் அதற்குத் தேவை. எனவே, எண்ம நிலையை அடைவதற்காக, கார்பன் தன்னுடைய நான்கு எலக்ட்ரான்களையும் மற்ற தனிமங்களின் எலக்ட்ரான்களுடன் பகிர்ந்து கொள்ளும் தன்மை உடையது. இதுவே,
நான்முகப் பிணைப்பு என அழைக்கப்படுகிறது. எனவே, கார்பன் மற்ற தனிமங்களுடன் நான்கு சகப்பிணைப்புகளை உண்டாக்குகின்றது.
எடுத்துக்காட்டாக, மீத்தேனில், கார்பனானது நான்கு ஹைட்ரஜன் அணுக்களுடன் இணைந்து நான்கு சகப்பிணைப்புகளை உருவாக்கும். எனவே,
நான்முக பிணைப்பைக் கொண்டுள்ளது.

நாம் ஏற்கனவே பார்த்தபடி நான்கு இணைதிறன் கொண்ட கார்பன் அணுவானது நான்கு சகப்பிணைப்புகளை உருவாக்க முடியும். இந்த நான்முக இணைதிறன் தன்மையின் காரணமாக,
கார்பனானது பிற கார்பன் அல்லது பிற தனிமங்களோடு ஓற்றைப்பிணைப்பு, இரட்டைப் பிணைப்பு மற்றும் முப்பிணைப்பு மூலம் இணையமுடியும். நாம் ஏற்கனவே அறிந்துள்ளபடி ஒரு சேர்மத்திலுள்ள பிணைப்புதான் அந்த சேர்மத்தின் இயற்பியல் மற்றும் வேதியியல் பண்பை நிர்ணயிப்பதில் முக்கியப் பங்கு வகிக்கிறது. எனவே, கார்பனின் இந்த பன்முக இணைப்புத்திறனே பல்வேறு வகையான கார்பன் சேர்மங்கள் உருவாகக் காரணமாகிறது. அப்படிப்பட்ட ஒரு வகையாகிய, ஹைட்ரோ கார்பனைப் பற்றியும், அவற்றிலுள்ள பிணைப்புகளைப் பற்றியும் அட்டவணை 15.2 ல் கூறப்பட்டுள்ளது.

ஹைட்ரோ கார்பனிலுள்ள ஒரு ஹைட்ரஜனோ அல்லது ஒன்றுக்கும் மேற்பட்ட ஹைட்ரஜன்களோ O,
N, S மற்றும் உப்பீனிகளால் இடமாற்றம் செய்யப்படும்போது வெவ்வேறு செயல்பாட்டுத் தொகுதிகளைக் கொண்ட பல்வேறு சேர்மங்கள் உண்டாகின்றன. அவைகளைக் குறித்து உயர் வகுப்புகளில் நீங்கள் படிப்பீர்கள்.
கார்பன் சேர்மங்களில், குறிப்பாக சங்கிலித் தொடராக்கத்தின் மூலம் உருவான கார்பன் சேர்மங்களில் காணப்படும் மேலும் ஒரு சிறப்புத் தன்மை மாற்றியம் எனக் கூறலாம். C2H6O
என்ற மூலக்கூறு வாய்ப்பாடு கொண்ட கார்பன் சேர்மத்தை எடுத்துக்கொள்வோம். இந்த சேர்மத்தின் பெயர் என்ன என்று கூற முடியுமா?
நிச்சயமாக முடியாது. ஏனெனில்,
ஒரு கரிமச்சேர்மத்தின் மூலக்கூறு வாய்ப்பாடானது அந்த சேர்மத்தில் உள்ள வேறுபட்ட அணுக்களின் எண்ணிக்கையை மட்டுமே குறிக்கிறது. அந்த அணுக்கள் எவ்வாறு தொகுக்கப்பட்டுள்ளன என்றோ,
அதன் மூலம் அவற்றின் மூலக்கூறு அமைப்பு எவ்வாறு அமைந்துள்ளது என்றோ கூறுவதில்லை. அவற்றின் மூலக்கூறு அமைப்பு பற்றி தெரியாமல் நாம் அவற்றிற்குப் பெயரிட முடியாது.
ஒரு மூலக்கூறு வாய்ப்பாடானது ஒன்றுக்கும் மேற்பட்ட அணு அமைப்புக்கு (கட்டமைப்பு) வழி வகுக்கும். அப்படிப்பட்ட சேர்மங்கள் அவற்றின் இயற்பியல் மற்றும் வேதியியல் பண்புகளில் வேறுபட்டிருக்கும். ஒரே மூலக்கூறு வாய்பாட்டையும்,
வேறுபட்ட கட்டமைப்பையும் ஒரு கரிமச் சேர்மமானது கொண்டிருக்கும் போது அந்த நிகழ்வின் தன்மை மாற்றியம் என அழைக்கப்படுகிறது. அத்தகைய கரிமச் சேர்மங்கள் மாற்றியங்கள் என அழைக்கப்படுகின்றன (கிரேக்க மொழியில் iso - சமம், meros – பகுதிகள்).
விளக்கம்:
C2H6O என்ற மூலக்கூறுவாய்ப்பாடானது, கீழே கொடுக்கப்பட்டுள்ள இரண்டு வித அணு அமைப்பு அல்லது கட்டமைப்புகளைக் கொண்டுள்ளது.

மேலே உள்ள கரிமச்சேர்மங்கள் இரண்டிற்கும் ஒரே மூலக்கூறு வாய்ப்பாடும்,
வேறுபட்ட கட்டமைப்பும் உள்ளது. இவற்றில், சேர்மம் 'அ' வில் ஒரு ஆக்ஸிஜன் அணுவானது இரு கார்பன் அணுக்களோடு இணைந்துள்ளது. இது ஒரு 'ஈதர்' ஆகும். சேர்மம் 'ஆ' வில் ஒரு ஆக்ஸிஜன் அணுவானது ஒரு கார்பன் மற்றும் ஒரு ஹைட்ரஜன் அணுவுடன் இணைந்துள்ளது. இது ஒரு ஆல்கஹால் ஆகும். இச்சேர்மங்கள், வேறுபட்ட இயற்பியல் மற்றும் வேதியியல் பண்புகளைப் பெற்றுள்ளன. மாற்றியம் குறித்து நீங்கள் மேல் வகுப்பில் இன்னும் விரிவாகப் படிப்பீர்கள்.
ஒரே தனிமத்தின் ஒன்றுக்கு மேற்பட்ட வடிவங்கள் அவற்றின், இயற்பியல் பண்புகளில் வேறுபட்டும், வேதியியல் பண்புகளில் ஒன்றுபட்டும் இருக்கும் தன்மையே புறவேற்றுமை வடிவத்துவம் ஆகும். இந்த வேறுபட்ட வடிவங்கள் புறவேற்றுமை வடிவங்கள் எனப்படுகின்றன. தனிமங்கள் புறவேற்றுமை வடிவங்களைக் கொண்டிருப்பதற்கான முக்கியக் காரணம் அவற்றின் தோற்றம் அல்லது தயாரிக்கும் முறையாகும். கார்பனானது,
மாறுபட்ட புறவேற்றுமை வடிவங்களைக் கொண்டுள்ளது. அவற்றின் இயற்பியல் பண்புகளைக் கொண்டு அவற்றை கீழ்கண்டவாறு வகைப்படுத்தலாம்.

அ) படிகவடிவமுடைய கார்பன்கள்
வைரம்:
❖ வைரத்தில் ஒவ்வொரு கார்பன் அணுவும் அவற்றின் இணைதிறன் எலக்ட்ரான்கள் மூலம் நான்கு கார்பன் அணுக்களுடன் இணைந்து நான்கு சகப்பிணைப்புகளை உருவாக்குகின்றன.
❖ இங்கு அணுக்கள் யாவும் நான்முகப் பிணைப்பில் மீண்டும் மீண்டும் அடுக்கப்பட்டுள்ளன. இதனால், இது ஒரு முப்பரிமாண அமைப்பைக் கொடுக்கின்றது. இதுவே இதன் கடினத் தன்மை மற்றும் திடத் தன்மைக்குக் காரணமாகும்.

பென்சில் கரி (கிராஃபைட்)
❖ கிராஃபைட்டில் ஒவ்வொரு கார்பன் அணுவும் மற்ற மூன்று கார்பன் அணுக்களுடன் ஒரே தளத்தில் சகப்பிணைப்பில் பிணைந்துள்ளது.
❖ இந்த அமைப்பு அறுங்கோண அடுக்கை உருவாக்குகிறது. இந்த அடுக்குகள் ஒன்றோடொன்று வலிமை குறைந்த வாண்டர் வால்ஸ் விசை மூலம் பிணைக்கப்பட்டுள்ளன.
❖ இந்த அடுக்குகள் வலிமை குறைந்த விசை மூலம் இணைக்கப்பட்டுள்ளதால் இவை வைரத்தை விட மென்மையானவை.
ஃபுல்லரீன்:
❖ மூன்றாவது படிக புறவேற்றுமை வடிவம் ஃபுல்லரீன் ஆகும். மிகவும் நன்றாக அறியப்பட்ட ஃபுல்லரின் வடிவம், பக்மின்ஸ்ட ர் ஃபுல்லரீன் ஆகும். இதில் 60 கார்பன் அணுக்கள் ஒன்றிணைந்து 5 மற்றும் 6 உறுப்புக்களைக் கொண்ட ஒரு கோள வடிவ கால்பந்து போன்ற அமைப்பை உருவாக்கும். எனவே,
இதன் மூலக்கூறு வாய்ப்பாடு C60
ஆகும்.
❖ அமெரிக்க கட்டட வடிவமைப்பாளர் பக்மின்ஸ்டர் ஃபுல்லர் என்பவரின் நினைவாக பக்மின்ஸ்டர் ஃபுல்லரீன் என்று இது அழைக்கப்படுகிறது. ஏனென்றால் இதன் அமைப்பு பன்னாட்டு கண்காட்சிகளுக்காக ஃபுல்லர் என்பவர் வடிவமைத்த குவிந்த மாடம் போன்ற குமிழ் கட்டடங்களின் கட்டமைப்பை ஒத்துள்ளது. இது பக்கி பந்து என்றும் அழைக்கப்படுகிறது. மிகப் பெரிய ஃபுல்லரீன் குடும்பங்கள் பல உள்ளன. அவை C20 முதல் C540 வரை காணப்படுகின்றன.

ஆ) படிக வடிவமற்ற கார்பன்கள்
இவ்வகை கார்பன்களில் கார்பன் அணுக்கள் அங்குமிங்குமாக அமைக்கப்பட்டிருக்கும். இவ்வகை கார்பன்கள் விறகானது காற்றில்லாமல் எரிக்கப்படும் போது கிடைக்கின்றன.
மேலும் அறிந்துகொள்வோம்

கிராஃபீன் என்பது தற்போது புதிதாகக் கண்டுபிடிக்கப்பட்டுள்ள கார்பனின் புறவேற்றுமை வடிவமாகும். இதில் தேனீயின் கூட்டைப் போல அறுங்கோண வளைய வடிவில் கார்பன் அணுக்கள் ஒரே பரப்பில் அமைக்கப்பட்டுள்ளன. கிராஃபீன் தான் உலகில் கண்டுபிடிக்கப்பட்டுள்ள தடிமன் குறைவான சேர்மமாகும். இதன் தடிமன் ஒரு அணு அளவு மட்டுமே உள்ளது. இதுதான் உலகிலேயே மிகவும் லேசான சேர்மமாகும் (ஒரு சதுர அடியின் எடை 0.77 மில்லி கிராம் மட்டுமே). மேலும், கண்டுபிடிக்கப்பட்ட சேர்மங்களிலேயே மிகவும் வலிமையான சேர்மமும் இதுவே ஆகும். (எஃகு இரும்பைக் காட்டிலும் 100 - 300 மடங்கு வலிமையானது). அறை வெப்ப நிலையில் இது ஒரு மிகச் சிறந்த வெப்பக் கடத்தி ஆகும். கிராபீனை 0.335 நானோமீட்டர் இடைவெளியில் ஒன்றின் மீது ஒன்றாக அடுக்கும்போது கிராஃபைட் கிடைக்கிறது. கிராஃபட்டில் உள்ள கிராஃபீன் அடுக்குகள் வலிமை குறைந்த வாண்டர் வால்ஸ் விசை மூலம் பிணைக்கப்பட்டுள்ளன.
செயல்பாடு 2
ஃபுல்லரீன் போல் இருக்கக்கூடிய ஒரு கால்பந்தை எடுத்துக்கொள்ளவும். அதிலுள்ள அறுமுக மற்றும் ஐமுக பக்கங்கள் எத்தனை எனக் காண்க. உங்களின் கவனிப்பை வைத்து ஃபுல்லரீனின் அமைப்பை விவாதியுங்கள்.