அறிவியல் - மாதிரிக் கணக்குகள் : இயக்க விதிகள | 10th Science : Chapter 1 : Laws of Motion
மாதிரிக்
கணக்குகள்
1. 5 கிகி நிறையுள்ள
பொருளொன்றின் நேர்க்கோட்டு உந்தம் 2.5 கிகி மீவி- எனில் அதன்
திசைவேகத்தை கணக்கிடுக.
தீர்வு:
தரவுகள் :
நிறை (m) = 5 கிகி
நேர்க்கோட்டு உந்தம் (p) = 25 கிகி மீவி-1
சூத்திரம் :
நேர்க்கோட்டு உந்தம் (p) = நிறை(m) ×
திசைவேகம் (v)
திசைவேகம் = நேர்க்கோட்டு உந்தம் / நிறை = 2.5/5
= 0.5 மீ வி-1
2. கீல் (keel)
முனையில் இருந்து 90 செ.மீ தூரத்தில் கைப்பிடி
கொண்ட கதவொன்று 40 N விசை கொண்டு திறக்கப்படுகிறது. கதவின்
கீல் முனைப் பகுதியில் ஏற்படும் திருப்புத்திறன் மதிப்பினை கணக்கிடு.
தீர்வு:
தரவுகள் : விசையின் மதிப்பு F = 40 நியூட்டன்
விசை செயல்படும் தூரம் = கீல்முனை
அமைந்துள்ள தொலைவு = d =
90 செ.மீ = 0.9 மீ
சூத்திரம் : திருப்புத்திறன் M = விசையின் மதிப்பு
F × விசை செயல்படும் தொலைவு d
ஃ திருப்புத்திறன் = 40 × 0.9 = 36
நியூட்டன் மீட்டர்
3. புவியின்
மேற்பரப்பின் மையத்தில் இருந்து எந்த உயரத்தில் புவியின் ஈர்ப்பு முடுக்கமானது,
புவிமேற்பரப்பு ஈர்ப்பு முடுக்கத்தின் 1/4
மடங்காக அமையும்?
தீர்வு:
புவிமேற்பரப்பில் ஈர்ப்பு முடுக்கம்
= g
புவிமையத்தில் இருந்து கணக்கீடு
செய்ய வேண்டிய உயரம் R'
= R + h
அவ்உயரத்தில் புவி ஈர்ப்பு
முடுக்கம் g' = g/4
R' உயரத்தில் ஈர்ப்பு
முடுக்கம் = g' = GMm/ (R')2
புவிப்பரப்பில் ஈர்ப்பு முடுக்கம் =
g = GMm/ (R)2
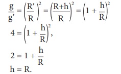
சூத்திரம் : g =
GM / R2

கணக்கீடு செய்ய வேண்டிய உயரம் R' = R + h
h = R ஆதலால்
R' = 2R
புவியின் மையத்தில் இருந்து, புவி ஆரத்தை போல்
இருமடங்கு தொலைவில், ஈர்ப்பு முடுக்க மதிப்பு புவிப்பரப்பின்
முடுக்கத்தைப்போல் 1/4 மடங்காக அமையும்.