அறிவியல் - தீர்க்கப்பட்ட கணக்குகள் : ஒளியியல் | 10th Science : Chapter 2 : Optics
ஒளியியல் (அறிவியல்)
தீர்க்கப்பட்ட கணக்குகள்
1. ஒரு ஒளிக்கதிரானது,
வெற்றிடத்திலிருந்து ஒளிவிலகல் எண் 15 உடைய
ஊடகத்திற்குள் செல்லும் போது படுகோணத்தின் மதிப்பு 30° எனில்
விலகு கோணம் என்ன?
தீர்வு
தரப்பட்டவை : µ1 = 1.0; µ2 = 1.5; i = 30°
ஸ்நெல் விதிப்படி,
sin i / sin r = µ2 / µ1
µ1 sin i = µ2 sin
r
(1.0). sin 30° = 1.5 sin r
1 × 1/2 = 1.5 sin r
sin r = 1 / (2 × 1.5) = 1/3 =
(0.333)
r = sin-1 (0.333)
r = 19.45°
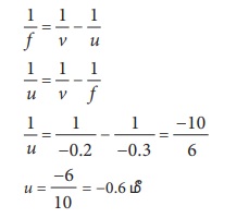
2. ஒரு பொருளிலிருந்து
செல்லும் ஒளிக் கற்றையானது 0.3 மீ குவியத் தொலைவு கொண்ட
விரிக்கும் லென்சால் குவிக்கப்பட்டு 0.2 மீ என்ற தொலைவில் பிம்பத்தை
பொருளின் ஏற்படுத்துகிறது எனில் தொலைவைக் கணக்கிடுக.
தீர்வு
f = -0.3 மீ,
v = -0.2 மீ
லென்சு சமன்பாட்டிலிருந்து

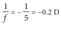
3. கிட்டப்பார்வைக்
குறைபாடு உடைய ஒரு மனிதரால், 4மீ தொலைவில் உள்ளப் பொருள்களை
மட்டுமே காண இயலும். அவர் 20மீ தொலைவில் உள்ளப் பொருளை அவர்
காண விரும்பினால் பயன்படுத்தப்பட வேண்டிய குழி லென்சின் குவியத் தொலைவு என்ன?
தீர்வு
தரப்பட்டவை: x = 4மீ மற்றும் y = 20 மீ.
பார்வைக் குறைபாட்டைச் சரிசெய்ய
பயன்படுத்தப்பட வேண்டிய லென்சின் குவியத்தொலைவு

பார்வைக் குறைபாட்டைச் சரிசெய்ய
பயன்படுத்தப்பட வேண்டிய லென்சின் திறன் = 
4. தூரப் பார்வைக் குறைபாட்டால்
பாதிக்கப்பட்ட மனிதர் ஒருவரின் அண்மைப் புள்ளியானது 1.5மீ தொலைவில்
உள்ளது. அவருடைய பார்வைக் குறைபாட்டை சரி செய்ய பயன்படுத்தப்பட வேண்டிய
குவிலென்சின் குவியத் தொலைவை கணக்கிடு.
தீர்வு
தரப்பட்டவை, d = 1.5மீ;
D = 25 செ.மீ = 0.25 மீ. பார்வை குறைபாட்டைச்
சரிசெய்ய பயன்படுத்தப்பட வேண்டிய லென்சின் குவியத்தொலைவு
f = d × D / d − D = 1.5 × 0.25 / 1.5 − 0.25 =
0.375 / 1.25 = 0.3 மீ