கேள்விகளுக்கான பதில்கள், தீர்வுகள் - எடுத்துக்காட்டு கணக்குகள்: நேர்மாறு முக்கோணவியல் சார்புகளின் முதன்மை மதிப்பு | 12th Maths : UNIT 4 : Inverse Trigonometric Functions
எடுத்துக்காட்டு 4.1
ஆரையன் மற்றும் பாகைகளில் sin−1(−1/2) −ன் முதன்மை மதிப்பைக் காண்க.
தீர்வு
sin−1(−1/2) = y என்க. எனவே, sin y = −1/2 ஆகும்.
sin−1x −ன் முதன்மை மதிப்புகளின் வீச்சகம் [−π/2, π/2] ஆகும். எனவே sin y = −1/2 என்றவாறு y ∈ [−π/2, π/2] ஐ கண்டறியவேண்டும். ஆகவே y = −π/6 எனக் கிடைக்கின்றது. எனவே sin−1(−1/2) −ன் முதன்மை மதிப்பு −π/6 ஆகும். அதன் ஒத்த மதிப்பு −30° ஆகும்.
எடுத்துக்காட்டு 4.2
sin−1 (2) −ன் முதன்மை மதிப்பு இருப்பின், அதனை கண்டறிக.
தீர்வு
y = sin−1x −ன் சார்பகம் [−1, 1] என்பதாலும் 2 ∉ [−1,1] என்பதாலும் sin−1(2) −க்கு முதன்மை மதிப்பு இல்லை.
எடுத்துக்காட்டு 4.3
முதன்மை மதிப்பைக்காண்க.
(i) sin−1 (1/ √2)
(ii) sin−1[sin(−π/3)]
(iii) sin−1[sin(5π/6)]
தீர்வு
sin−1 : [−1, 1] → [−π/2, π/2] என்பது sin−1 x = y என கொடுக்கப்படத் தேவையானதும் மற்றும் போதுமானதுமான நிபந்தனை x = sin y ஆகும். இங்கு −1 ≤ x ≤ 1 மற்றும் −π/2 ≤ y ≤ π/2. எனவே,

எடுத்துக்காட்டு 4.4
sin−1(2 − 3x2)−ன் சார்பகத்தைக் காண்க.
தீர்வு
sin−1 (x) −ன் சார்பகம் [−1,1) ஆகும்.
எனவே −1 ≤ 2 − 3x2 ≤ 1. ஆகையால் −3 ≤ −3x2 ≤ −1.
−3 ≤ −3x2, எனும்போது x2 ≤ 1 …………..(1)
−3x2 ≤ −1, எனும்போது x2 ≥ 1/3 …………..(2)
சமன்பாடுகள்(1) மற்றும் (2), ஆகியவற்றிலிருந்து 1/3 ≤ x2 ≤ 1 எனக் கிடைக்கிறது. எனவே, 1/√3 ≤ |x| ≤ 1.
a ≤ |x| ≤ b என்பதிலிருந்து x ∈ [–b,−a] ∪ [a,b] என கிடைக்கும் என்பதால்,
எனவே, x ∈ [–1, −1/√3] ∪ [1/√3 , 1]
எடுத்துக்காட்டு 4.5
cos–l [√3/2] −ன் முதன்மை மதிப்பைக் காண்க .
தீர்வு
cos–l [√3/2] = y என்க. எனவே, cos y = √3/2 ஆகும்.
y = cos–l x −ன் முதன்மை மதிப்பு வீச்சகம் [0, π] என நாம் அறிவோம். எனவே, cos y = √3/2 எனும்படி y மதிப்பு [0, π] −ல் காண வேண்டும். ஆனால், cos π/6 = √3/2 மற்றும் π/6 ∈ [0, π] என்பதால் y = π/6 ஆகும். எனவே, cos–l [√3/2] −ன் முதன்மை மதிப்பு π /6 ஆகும்.
எடுத்துக்காட்டு 4.6
மதிப்பு காண்க

தீர்வு
cos–l : [−1,1] → [0, π] எனும் நேர்மாறு கொசைன் சார்பு வரையறையின்படி, cos–l x = y எனில், எனில் மட்டுமே cos y = x . இங்கு −1 ≤x ≤ 1 மற்றும் 0 ≤ y ≤ π ஆகையால்,

எடுத்துக்காட்டு 4.7
−ன் சார்பகம் காண்க.
தீர்வு
y = cos–l x −ன் சார்பகம் −1 ≤ x ≤ 1 அதாவது |x| ≤ 1ஆகும்.
எனவே, −1 ≤ (2+sin x)/3 ≤ 1 என்பதை −3 ≤ 2 + sin x ≤ 3 எனலாம்.
எனவே, −5 ≤ sin x ≤ 1 என்பதை சுருக்கி, −1 ≤ sin x ≤ 1 எனப் பெறலாம்,
sin–l (l) ≤ x ≤ sin–l (1) அல்லது −π/2 ≤ x ≤ π/2 எனப் பெறலாம்.
ஆகையால்
−ன் சார்பகம் [−π/2, π/2] ஆகும்.
எடுத்துக்காட்டு 4.8
முதன்மை மதிப்பு காண்க: tan–l (√3).
தீர்வு
tan–l (√3) = y என்க. எனவே, tan y = √3. ஆகையால், y = π/3 ஏனெனில் π/3 ∈ [−π/2, π/2] எனவே, tan–l (√3) ன் முதன்மை மதிப்பு π/3 ஆகும்.
எடுத்துக்காட்டு 4.9
மதிப்பு காண்க
(i) tan–l (−√3)
(ii) tan–l[tan(3π/5)]
(iii) tan(tan–l (2019))
தீர்வு
(i) tan–l (−√3) = tan–l[tan(−π/3)] = −π/3 , ஏனெனில் −π/3 ∈ [−π/2, π/2].
(ii) tan–l[tan(3π/5)]
tan θ = tan(3π/5) எனுமாறு θ ∈ [−π/2, π/2]. ஐ நாம் கண்டறிய வேண்டும்.
தொடுகோட்டுச் சார்பின் காலம் π என்பதால், tan(3π/5) = tan(3π/5 −π) = tan(−2π/5)
எனவே, tan–l[tan(3π/5)] = tan–l[tan(−2π/5)] = −2π/5 , ஏனெனில் −2π/5 ∈ [−π/2, π/2].
(iii) tan(tan–l x) = x, x ∈ ℝ என்பதால், tan(tan–l (2019)) = 2019 ஆகும்.
எடுத்துக்காட்டு 4.10
மதிப்பு காண்க tan–l(−1) + cos–l(1/2) + sin–l(−1/2).
தீர்வு
tan–l (−1) = y என்க. எனவே, tan y = −1 = − tan(π/4) = tan(−π/4).
இங்கு −π/4 ∈ [−π/2, π/2] என்பது குறிப்பிடதக்கது. எனவே, tan–l (−1) = −π/4 .
இனி, cos–l (1/2) = y எனில் cos y = 1/2 = cos π/3 .
π/3 ∈ [0, π] என்பதால் cos–l (1/2) = π/3
மேலும், sin–l(−1/2) = y எனில் sin y = −1/2 = sin(−π/6)
−π/6 ∈ [−π/2, π/2] என்பதால் sin–l(−1/2) = −π/6 .
எனவே , tan–l(−1) + cos–l(1/2) + sin–l(−1/2) = −π/4 + π/3 − π/6 = − π/12 .
எடுத்துக்காட்டு 4.11
நிரூபி tan(sin–l x) = 
தீர்வு
x = 0 எனில், இருபுறமும் 0 ஆகும்.
0 < x < 1. என்க.
θ = sin–l x என்க. எனவே 0 < θ < π/2 ஆகும். தற்போது sin θ = x /1 என்பதால்,
.
எனவே tan (sin–l x) = 
அடுத்தாக −1 < x < 0 என்க. எனவே, θ = sin–l x என்பதிலிருந்து −π/2 < θ < 0.
sin θ = x /1 என்பதால், tan θ = 
இம்முறையிலும் tan (sin–l x) =
என கிடைக்கின்றது.
சமன்பாடுகள் (1), (2) மற்றும் (3) ஆகியவற்றிலிருந்து tan (sin–l x) =
, −1 < x < 1 என நிறுவப்படுகின்றது.
எடுத்துக்காட்டு 4.12
முதன்மை மதிப்பு காண்க
(i) cosec−1 (−1)
(ii) sec−1 (−2)
தீர்வு
(i) cosec−1 (−1) = y என்க. எனவே, cosec y = −1
y = cosec−1 x −ன் முதன்மை மதிப்பிற்குரிய வீச்சகம் [−π/2, π/2]\{0} ஆகும். மேலும்,
cosec(−π/2) = −1 என்பதால், y = −π/2 என்றிருக்க வேண்டும். இங்கு −π/2 ∈ [−π/2, π/2]\{0}
என்பதை கவனிக்க.
எனவே, cosec−1 (−1) −ன் முதன்மை மதிப்பு −π/2 ஆகும்.
(ii) y=sec−1 (−2) என்க. எனவே, sec y = −2 .
y = sec−1 x −ன் முதன்மை மதிப்பிற்குரிய வீச்சகம் [0, π]\ { π/2} ஆகும்.
sec y = −2 என்றிருக்குமாறு [0, π] − { π/2} −ல் y−ஐ காணவேண்டும்.
ஆனால் sec y = −2 ⇒ cos y = −1/2
இனி, cos y = −1/2 = −cos π/3 = cos [π − π/3] = cos 2π/3 . எனவே, y = 2π/3.
2π/3 ∈ [0, π] \ { π/2} என்பதால், sec−1 (−2) −ன் முதன்மை மதிப்பு 2π/3 ஆகும்.
எடுத்துக்காட்டு 4.13
ன் மதிப்பு காண்க.
தீர்வு
= θ என்க. எனவே, sec θ = −2/√3 இங்கு θ ∈ [0, π] \ { π/2} ஆகும்.
எனவே, cos θ = −√3/2 ஆகும். இனி, cos 5π/6 = cos [π − π/6] = −cos [π/6] = −√3/2 ஆகும்.
எனவே,
= 5π/6 ஆகும்.
எடுத்துக்காட்டு 4.14
cot−1 (1/7) = θ , எனில், cos θ மதிப்பு காண்க.
தீர்வு

வரையறைப்படி cot−1 x ∈ (0, π).
எனவே, cot−1 (1/7) = θ என்பதிலிருந்து θ ∈ (0, π).ஆகும்.
ஆனால் cot−1 (1/7) = θ என்பது cot θ = 1/7 ஆகும். எனவே tan θ = 7 மற்றும் θ ஒரு குறுங்கோணம் ஆகும்.
tan θ = 7/1 என்பதை பயன்படுத்தி, செங்கோண முக்கோணம் ஒன்றை உருவாக்குக. பின்னர்
cos θ = 1 / 5√2 என நமக்கு கிடைக்கிறது.
எடுத்துக்காட்டு 4.15

= sec−1x, |x| > 1. எனக் காட்டுக
= α என்க. எனவே, cot α =1/(√[x2 – 1])
மற்றும் α ஒரு குறுங்கோணம் ஆகும்.
கொடுக்கப்பட்ட விவரங்களைக் கொண்டு ஒரு செங்கோண முக்கோணம் உருவாக்குக.
முக்கோணத்திலிருந்து, sec α = x/1 = x எனப் பெறலாம் . எனவே, α = sec−1 x ஆகும்.
எனவே
= sec−1x, |x| > 1 ஆகும்.
எடுத்துக்காட்டு 4.16
π/2 ≤ sin−1 x + 2cos−1 x ≤ 3π/2 என நிறுவுக.
தீர்வு
sin−1 x + 2cos−1 x = sin−1 x + cos−1 x + cos−1 x = π/2 + cos−1 x
0 ≤ cos−1 x ≤ π எனவே, π/2 + 0 ≤ cos−1 x + π/2 ≤ π + π/2 .
எனவே, π/2 ≤ sin−1 x + 2cos−1 x ≤ 3π/2 .
எடுத்துக்காட்டு 4.17


எடுத்துக்காட்டு 4.22
cos−1x + cos−1y + cos−1 z = π மற்றும் 0 < x, y, z < 1, எனில்
x2 + y2 + z2 + 2xyz = 1 எனக் காண்பி.
தீர்வு
cos−1x = α மற்றும் cos−1y = β என்க
எனவே, x = cos α மற்றும் y = cos β ஆகும்.
cos−1x + cos−1y + cos−1 z = π என்பதிலிருந்து α + β = π − cos−1 z. ……..(1)
இனி, cos(α + β) = cosα cos β – sin α sin β = xy − √[1− x2] √[1 − y2].
(1)−லிருந்து cos(π − cos−1z) = xy − √[1 − x2] √[1 − y2] எனப் பெறலாம்.
−cos(cos−1 z) = xy − √[1 − x2] √[1−y2].
எனவே, −z = xy − √[1− x2] √[1– у2], என்பதிலிருந்து −xy − z = − √[1 − x2] √[1 − y2]
இருபுறமும் வர்க்கப்படுத்தி சுருக்க x2 + y2 + z2 + 2xyz = 1 எனப் பெறலாம்.
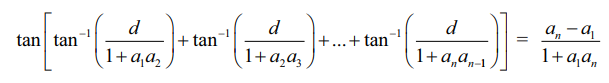
எடுத்துக்காட்டு 4.23
d−ஐ பொது வித்தியாசமாகக் கொண்டு a1, a2, a3, … an ஒரு கூட்டுத் தொடர் எனில்,
என நிறுவு.
தீர்வு

எடுத்துக்காட்டு 4.24
தீர்க்க tan−1 [(1− x)/( 1 + x)] = 1/2 tan−1 x, இங்கு x > 0.
தீர்வு
tan−1 [(1− x)/( 1 + x)] = 1/2 tan−1 x என்பதிலிருந்து tan−11− tan−1 x =1/2 tan−1 x.
எனவே, π/4 = 3/2 tan−1 x என்பதையே சுருக்கி tan−1 x = π/6 எனப் பெறுகிறோம்.
எனவே, x = tan π/6 = 1/√3.
எடுத்துக்காட்டு 4.25
தீர்க்க sin−1 x > cos−1 x
தீர்வு
sin−1 x > cos−1 x எனக் கொடுக்கப்பட்டுள்ளது.
இருபுறமும் sin−1 x, −ஐ கூட்ட
sin−1 x + sin−1 x > cos−1 x + sin−1 x, என்பது சுருங்கி 2sin−1 x > π/2 .
[−π/2, π/2] எனும் இடைவெளியில் சைன் சார்பு மதிப்பு ஏறும் என்பதால், x > sin π/4 அல்லது x > 1/√2 ஆகும்.
ஆகையால் தீர்வு கணமான இடைவெளி (1/√2 , 1] ஆகும்.
எடுத்துக்காட்டு 4.26
cot(sin−1 x) = √[1 − x2] / x , −1 ≤ x ≤ 1 மற்றும் x ≠ 0 எனக் காண்பி.
தீர்வு
sin−1 x = θ . என்க. எனவே, x = sin θ மற்றும் x ≠ 0, θ ∈ [−π/2, 0) ∪ (0, π/2] என கிடைக்க பெறுகிறது,
cos θ ≥ 0 மற்றும் cos θ = √[1−sin2θ] = √[1 − x2].
எனவே, cot(sin−1 x) = cot θ = √[1 − x2] / x , |x| < 1 மற்றும் x ≠ 0.
எடுத்துக்காட்டு 4.27
6x2 < 1 எனில், tan−1 2x + tan−1 3x = π/4 , ஐ தீர்க்க,
தீர்வு
6x2 < 1 எனில், tan−1 2x + tan−1 3x = tan−1[(2x + 3x) / (1 − 6x2)].
tan−1[(5x)/ (1 − 6x2)] = π/4, என்பதால் (5x)/(1 − 6x2) = tan (π/4) = 1
ஆகையால், 1 − 6x2 = 5x, என்பதிலிருந்து 6x2 + 5x − 1= 0
ஆகவே, x = 1/6 , −1
x = −1 என்பது சமன்பாட்டின் இடப்புறம் குறையெண் மதிப்பையும் மற்றும் வலப்புறம் மிகையெண் மதிப்பையும் தருகிறது என்பதை கவனிக்கவும். ஆகையால், x = −1 என்பது தீர்வாகாது. எனவே, x = 1/6 மட்டுமே சமன்பாட்டிற்குத் தீர்வாக அமையும்.
எடுத்துக்காட்டு 4.28
தீர்க்க 
எடுத்துக்காட்டு 4.29
தீர்க்க 
தீர்வு

cot−1 (3/4) = θ. என்க. பின்னர் cot θ = ¾ மற்றும் θ குறுங்கோணம்.
படத்திலிருந்து, நமக்கு கிடைக்கபெறுவது
sin {cot −1 (3/4)} = sin θ = 4/5 ………………..(2)
(1) மற்றும் (2)−ஐ கொடுக்கப்பட்ட சமன்பாட்டில் பயன்படுத்தும்போது
1/√(1 + x2) = 4/5 , என்பதிலிருந்து √[1 + x2 ] = 5/4 எனவே, x = ±3/4.