பயிற்சிக் கணக்குகள்
1. 2Kg பளுவை 10m உயரத்திற்கு தூக்கும் 30N விசையினால் செய்யப்பட்ட வேலையைக் கணக்கிடுக. (g = 10ms-2)
கொடுக்கப்பட்டவை :
நிறை = 2Kg, உயரம் = 10 m, விசை = 30N,
தீர்வு:
விசையினால் செய்யப்பட்ட வேலை W = F.S
= 30 × 10
W = 300J
விடை: 300J
2. ஒரு உராய்வற்ற கிடைத்தளத்தில் 5m.s-1 திசைவேகத்தைக் கொண்ட பந்து ஒன்று செங்குத்துடன் 60° கோணத்தில் மோதுகிறது. மீட்சியளிப்பு குணகம் 0.5 எனில் மோதலுக்குப் பிறகு பந்தின் திசைவேகம் மற்றும் திசையைக் காண்க.
கொடுக்கப்பட்டவை u = 5ms-1, e = 0.5, θ = 60°
தீர்வு:
மேற்பரப்பிற்கு இணையாக உள்ள திசைவேக கூறு மாறும் பொழுது
v cos α = u cos θ

v cos α = 5 × cos 60
vcos α = 5 × 1/2 = 5/2 ..... (1)
மீட்சியளிப்பு குணக விதியின் படி
v sin α. = eusin θ
v sin α = 0.5 × 5 × sin 60°

v = 3.3 ms-1
விடை: v = 0.3 m s-1
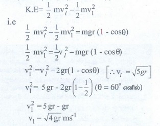
3. படத்தில் காட்டியுள்ளவாறு m நிறையுள்ள ஒரு குண்டு r நீளமுள்ள புறக்கணிக்கத் தக்க நிறை கொண்ட கம்பியில் இணைக்கப்பட்டு மறுமுனை O என்ற நிலையான மையத்தில் தடையின்றி சுழலுமாறு பொருத்தப் பட்டுள்ளது. வட்டத்தின் மேற்புள்ளியை அடைய பொருளுக்கு அளிக்க வேண்டிய வேகம் என்ன? (குறிப்பு: ஆற்றல் மாறா விதியைப் பயன்படுத்துக?) இந்த வேகம் பாடப்பகுதி 4.2.9 இல் பெறப்பட்ட வேகத்தைவிட குறைவானதா(அல்லது) அதிகமானதா?


தீர்வு :
AB = OB - OA = r - rcos θ
= r(1 - cos θ)
வட்டத்தின் மேற்புள்ளியை அடைவதற்கான அதிகரிக்கும் நிலையாற்றல் P.E = mgr(1 - cos θ) அதே அளவு குறையும் இயக்க ஆற்றல்

4. A மற்றும் B என்ற இரு நிறை தெரியாத வெவ்வேறு பொருள்கள் மோதிக் கொள்கின்றன. தொடக்கத்தில் பொருள் A ஒய்வு நிலையிலும் B ஆனது v வேகத்தையும் கொண்டுள்ளது. மோதலுக்குப் பின் பொருள் B ஆனது v/2 என்ற வேகத்தைப் பெற்று அதன் ஆரம்ப இயக்க திசைக்கு செங்குத்தாகச் செல்கிறது. மோதலுக்குப் பின் பொருள் A செல்லும் திசையைக் காண்க.
தீர்வு :

விடை: θ = 26° 33′
5. 20g நிறை கொண்ட ஒரு துப்பாக்கி குண்டு 5kg நிறையுள்ள ஊசல் குண்டில் மோதுகிறது. ஊசலின் நிறையின் மையம் 10cm செங்குத்துத் தொலைவு உயருகிறது. துப்பாக்கி குண்டு ஊசலில் பொதிந்து விட்டால் அதன் தொடக்க வேகத்தைக் கணக்கிடுக.
கொடுக்கப்பட்டவை :
துப்பாக்கி குண்டின்
நிறை m1 = 20g = 20 × 10-3 kg
ஊசல் குண்டின் நிறை m2 = 5kg
செங்குத்து தொலைவு h = 10 cm = 10 × 10-2 m
தீர்வு :
துப்பாக்கி குண்டின் தொடக்க திசைவேகம் u1
ஓய்வு நிலையுள்ள ஊசல் குண்டின்
திசைவேகம் u2 = 0
துப்பாக்கி குண்டு பொருளினுள் பொதிந்த பிறகு துப்பாக்கி குண்டு மற்றும் பொருள் ஆகியவற்றின்

துப்பாக்கி குண்டின் தொடக்க திசைவேகம்
u1 = 351.4 ms-1
விடை: v = 351.4m s-1
கருத்துரு வினாக்கள்
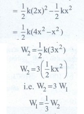
1. தொடக்கத்தில் நீட்டப்படாத நிலையில் உள்ள ஒரு சுருள்வில் முதலில் x தொலைவுக்கும் மீண்டும் x தொலைவுக்கும் நீட்டப்படுகிறது. முதல் நேர்வில் செய்யப்பட்ட வேலை W1 ஆனது இரண்டாவது நேர்வில் செய்யப்பட்ட வேலை W2 ல் 1/3 பங்கு இருக்கும். சரியா? தவறா?
முதல் நேர்வில் செய்யப்பட்ட வேலை
W1 = 1/2 kx2
இரண்டாவது நேர்வில் செய்யப்பட்ட வேலை
W2 = ΔPE = PEf - PEi;

எனவே முதல் நேர்வில் செய்யப்பட்ட வேலை W1 ஆனது இரண்டாவது நேர்வில் செய்யப்பட்ட வேலை W2 ல் 1/3 பங்கு இருக்கும் என்பது சரியாகும்.
2. மீட்சி மோதலில் எது மாற்றப்படாமல் இருக்கும்? மொத்த ஆற்றல் அல்லது இயக்க ஆற்றல்.
விடை:
மொத்த ஆற்றல் மாறாது. ஆனால் இயக்க ஆற்றல் மாறும்.
3. நேர்சாலையில் மாறா வேகத்தில் செல்லும் கார் மீது புற விசைகளால் நிகர வேலை ஏதும் செய்யப்படுமா?
விடை:
இல்லை
ஏனெனில், நியூட்டனின் இரண்டாம் விதிப்படி விசை F = ma மாறா வேகத்தில் செல்லும் காரின் முடுக்கம் a = 0
i.e. a = v – u / t = 0
ஆகவே F = m x 0 = 0
மேலும் புறவிசையால் கார் மீது செய்யும் வேலை
W = F.S
i.e. W = 0.S = 0
ஆகவே நேர்சாலையில் மாறா வேகத்தில் செல்லும் கார் மீது புறவிசைகளால் செய்யப்படும் நிகர வேலை சுழியாகும்.
4. கார் ஒன்று ஒய்வு நிலையில் இருந்து ஒரு பரப்பில் சீரான முடுக்கத்துடன் இயங்குகிறது. இயக்க ஆற்றல் இடப்பெயர்ச்சி வரைபடம் வரைக. அந்த வரைப்படத்திலிருந்து நீ பெறக்கூடிய தகவல்கள் யாவை?
விடை:

இயக்க ஆற்றல் K.E = 1/2 mv2
i.e K.E = 1/2 m (2as)
K.E α s
வரைபடத்திலிருந்து இயக்க ஆற்றல் இடப்பெயர்ச்சிக்கு நேர்த்தகவில் அமையும்.
5. ஒரு மின்னூட்டம் பெற்ற துகள் மற்றொரு மின்னூட்டம் பெற்ற துகளை நோக்கி நகருகிறது. அமைப்பின் மொத்த உந்தம் மற்றும் மொத்த ஆற்றல் எந்த சூழ்நிலைகளில் மாறாமல் இருக்கும்.
விடை:
1. மின்னூட்டம் பெற்ற துகள்கள் நேர் மற்றும் எதிர் மின்னூட்டம் பெற்ற துகள்களாக இருக்க வேண்டும்.
2. அத்துகள்கள் ஒரே திசைவேகத்தில் இயங்க வேண்டும்.
3. மோதலுக்கு பிறகு அத்துகள்கள் ஒன்றுடன் ஒன்று ஒட்டிக் கொள்ளும்.
தீர்க்கப்பட்ட எடுத்துக்காட்டு கணக்குகள் வேலை
எடுத்துக்காட்டு 4.1
ஒரு பெட்டி 25 N விசையினால் 15 m இடப்பெயர்ச்சி ஏற்படுமாறு இழுக்கப்படுகிறது. விசைக்கும் இடப்பெயர்ச்சிக்கும் இடையே உள்ள கோணம் 30° எனில் விசையினால் செய்யப்பட்ட வேலையைக் காண்க.

தீர்வு
விசை F = 25 N
இடப்பெயர்ச்சி dr = 15 m
F மற்றும் dr இடையே உள்ள கோணம் θ = 30o
செய்யப்பட்ட வேலை W = F dr cosθ

தீர்க்கப்பட்ட எடுத்துக்காட்டு கணக்குகள் மாறா விசையினால் செய்யப்பட்ட வேலை
எடுத்துக்காட்டு 4.2
2 kg நிறையுள்ள ஒரு பொருள் 5 m உயரத்தில் இருந்து தரையில் விழுகிறது. புவியீர்ப்பு விசையினால் பொருளின் மீது செய்யப்பட்டவேலை என்ன? (காற்றின் தடையைப் புறக்கணிக்கவும். புவியீர்ப்பு முடுக்கம் g = 10 m s-2 எனக் கொள்க)

தீர்வு
இந்நேர்வில் பொருளின் மீது செயல்படும் விசை கீழ் நோக்கிய புவியீர்ப்பு விசை
ஆகும். இது மாறா விசையாகும்.
புவியீர்ப்பு விசையினால் செய்யப்பட்ட வேலை

மேலும் பொருளானது படத்தில் காட்டியுள்ளவாறு கீழ்நோக்கிய புவியீர்ப்பு விசையின் (
) திசையில் நகருகிறது. எனவே, அவற்றிற்கிடையே உள்ள கோணம் θ = 0°, cos0° = 1 மற்றும் இடப்பெயர்ச்சி (rf - ri ) = 5 m

எனவே பொருளின் மீது செயல்படும் புவியீர்ப்பு விசையினால் செய்யப்பட்ட வேலை நேர்க்குறி மதிப்பைப் பெறுகிறது.
எடுத்துக்காட்டு 4.3
படத்தில் காட்டியுள்ளவாறு நிறை m = 1 kg கொண்ட ஒரு பொருள் θ = 30° சாய்வுக்கோணம் கொண்ட 10 m நீளமுள்ள உராய்வற்ற தளத்தில் மேலிருந்து கீழ்நோக்கிச் சறுக்குகிறது. புவியீர்ப்பு விசை மற்றும் செங்குத்து விசையினால் பொருளின் மீது செய்யப்பட்ட வேலையைக் கணக்கிடுக. புவியீர்ப்பு முடுக்கம் (g) = 10 m s−2 எனக் கருதுக.

தீர்வு:
சாய்வுத்தளத்தில் பொருள் அடையும் முடுக்கம் = g sinθ என முந்தைய பாடப்பகுதியில் கணக்கிட்டுள்ளோம்.
நியூட்டனின் இரண்டாம் விதிப்படி, சாய்வுத்தளத்தில் பொருளின்மீது செயல்படும் விசை F = mg sinθ. இந்த விசையானது பொருளின் இயக்கம் முழுவதும் மாறாது என்பதை அறியவும்.
புவியீர்ப்பு விசையின் சாய் வுத்தளத் தின் கிடைத்தளக் கூறினால் (mg sinθ) செய்யப்பட்ட வேலை

இங்கு ϕ என்பது விசை (mg sinθ) மற்றும் பொருள் செல்லும் திசைக்கு (dr) இடையே உள்ள கோணமாகும். இந்நேர்வில், விசை (mg sinθ) மற்றும் இடப்பெயர்ச்சி
ஆகியவை ஒரே திசையில் உள்ளன. எனவே ϕ = 0° மற்றும் cos ϕ = 1

mg cos θ என்ற கூறு மற்றும் செங்குத்து விசை N ஆகியவை பொருள் செல்லும் திசைக்குச் செங்குத்தாக உள்ளதால் அவை எந்த வேலையும் செய்யாது.
எடுத்துக்காட்டு 4.4
மேல்நோக்கி எறியப்பட்ட 2 kg நிறையுள்ள ஒரு பொருள் 5 m உயரத்தை அடைந்து பின்னர் தரையில் வந்து விழுகிறது (காற்றுத்தடையைப் புறக்கணிக்கவும்) எனில் பின்வருவனவற்றை கணக்கிடுக.
(a) பொருள் 5 m உயரத்தை அடையும்போது புவியீர்ப்பு விசையால் செய்யப்பட்ட வேலை
(b) பொருள் மீண்டும் தரையை அடையும்போது புவியீர்ப்பு விசையால் செய்யப்பட்ட வேலை
(c) புவியீர்ப்பு விசையினால் மேல்நோக்கிய மற்றும் கீழ்நோக்கிய இயக்கத்தில் செய்யப்பட்ட மொத்தவேலை மற்றும் முடிவின் இயற்பியல் முக்கியத்துவத்தைக் குறிப்பிடுக.
தீர்வு
பொருள் மேல்நோக்கிச் செல்லும்போது இடப்பெயர்ச்சி மேல்நோக்கிய திசையிலும் பொருளின் மீது செயல்படும் புவியீர்ப்பு விசை கீழ்நோக்கிய திசையிலும் செயல்படுகின்றன. எனவே இடப்பெயர்ச்சிக்கும் புவியீர்ப்பு விசைக்கும் இடையே உள்ள கோணம் 180° ஆகும்.
(a) மேல்நோக்கிய இயக்கத்தில் புவியீர்ப்பு விசையினால் செய்யப்பட்ட வேலை
இங்கு dr = 5 m மற்றும் F = mg

(b) பொருள் கீழ்நோக்கி விழும்போது புவியீர்ப்பு விசை மற்றும் இடப்பெயர்ச்சி இரண்டும் ஒரே திசையில் உள்ளன. இதன் மூலம் புவியீர்ப்பு விசைக்கும் இடப்பெயர்ச்சிக்கும் இடையே உள்ள கோணம் θ = 0° என அறியலாம்.

(c) பொருளின் முழு பயணத்தின் போது (மேல்நோக்கிய மற்றும் கீழ் நோக்கிய இயக்கம்) புவியீர்ப்பு விசையினால் செய்யப்பட்ட மொத்த வேலை

புவியீர்ப்பு விசையானது பொருளிற்கு எவ்வித ஆற்றலையும் மாற்றவில்லை என்பதை இது குறிக்கிறது. பொருள் மேல்நோக்கி எறியப்படும்போது புறக்காரணிகளால் பொருளுக்கு ஆற்றல் அளிக்கப்படுகிறது. பொருள் திரும்ப வந்து தரையில் மோதும்போது பொருள் பெற்ற ஆற்றலானது புவிப்பரப்பிற்கு மாற்றப்படுகிறது (தரையினுள் செல்கிறது)
எடுத்துக்காட்டு 4.5
ஒரு பளு தூக்குபவர் 250 kg நிறையை 5000 N விசையால் 5 m உயரத்திற்கு தூக்குகிறார்.
(a) பளுதூக்குபவரால் செய்யப்பட்ட வேலை என்ன?
(b) புவியீர்ப்பு விசையால் செய்யப்பட்ட வேலை என்ன?
(c) பொருளின் மீது செய்யப்பட்ட நிகர வேலை என்ன?
தீர்வு
(a) பளுதூக்குபவர் நிறையைத் தூக்கும்போது விசையும் இடப்பெயர்ச்சியும் ஒரே திசையில் உள்ளதால் அவற்றிற்கிடையே உள்ள கோணம் θ = 0°. எனவே பளுதூக்குபவரால் செய்யப்பட்ட வேலை

(b) பளுதூக்குபவர் நிறையைத் தூக்கும்போது புவியீர்ப்புவிசை கீழ்நோக்கி செயல்படுவதால் விசையும் இடப்பெயர்ச்சியும் எதிரெதிர் திசையில் உள்ளன. எனவே அவற்றிற்கிடையே உள்ள கோணம் θ = 180°.

(c) பொருளின் மீது செய்யப்பட்ட நிகர வேலை (மொத்த வேலை)

தீர்க்கப்பட்ட எடுத்துக்காட்டு மாறுபடும் விசையினால் செய்யப்பட்ட வேலை
எடுத்துக்காட்டு 4.6
தொடக்கத்தில் ஓய்வில் உள்ள ஒரு பொருளின் மீது F = kx2 என்ற மாறும் விசை செயல்படுகிறது. பொருளானது x = 0 m முதல் x = 4 m வரை இடப்பெயர்ச்சி அடைய விசையினால் செய்யப்பட்ட வேலையைக் கணக்கிடுக. (மாறிலி k = 1 N m-2 எனக்கருதுக)
தீர்வு
செய்யப்பட்ட வேலை

தீர்க்கப்பட்ட எடுத்துக்காட்டு கணக்குகள் இயக்க ஆற்றல்
எடுத்துக்காட்டு 4.7
2 kg மற்றும் 4 kg நிறை கொண்ட இரு பொருள்கள் 20 kg ms-1 என்ற சம உந்தத்துடன் இயங்குகின்றன.
(a) அவை சம இயக்க ஆற்றலைப் பெற்றிருக்குமா?
(b) அவை சம வேகத்தைப் பெற்றிருக்குமா?
தீர்வு
(a) பொருளின் இயக்க ஆற்றல்

KE1 ≠ KE2 என அறியவும். அதாவது இருபொருட்களும் சம உந்தத்தைப் பெற்றிருந்தாலும் அவற்றின் இயக்க ஆற்றல் சமமல்ல. கனமான பொருள் இலேசான பொருளை விட குறைவான இயக்க ஆற்றலைப் பெற்றுள்ளது. ஏனென்றால் கொடுக்கப்பட்ட உந்தத்திற்கு இயக்க ஆற்றலானது நிறைக்கு எதிர் விகிதத்தில் உள்ளது.
KE ∝ 1/m
(b) உந்தம் p = mv என்பதால் இரு பொருட்களும் சம வேகத்தைப் பெற்றிருக்காது.
தீர்க்கப்பட்ட எடுத்துக்காட்டு கணக்குகள் நிலை ஆற்றல்
எடுத்துக்காட்டு 4.8
2 kg நிறையுள்ள பொருள் தரையிலிருந்து 5 m உயரத்திற்குக் கொண்டு செல்லப்படுகிறது (g = 10 m s-2) எனில்
a) பொருளினுள் சேமிக்கப்பட்டுள்ள நிலையாற்றல் யாது?
b) இந்த நிலையாற்றல் எங்கிருந்து கிடைத்தது?
c) பொருளை அந்த உயரத்திற்கு எடுத்துச் செல்ல எவ்வளவு புறவிசை செயல்பட வேண்டும்?
d) பொருளானது 'h' உயரத்திற்கு எடுத்துச் செல்லப்படும் போது அதன் மீது செயல்படும் நிகர விசை யாது?
தீர்வு:
a) நிலையாற்றல் U=m g h = 2 × 10 × 5 = 100 J இங்கு நேர்க்குறியானது பொருளினுள் ஆற்றல் சேமிக்கப்பட்டுள்ளதைக் குறிக்கிறது.
b) இந்த நிலையாற்றலானது, புற விசையை செயல்படுத்தும் வெளிப்புற அமைப்பிலிருந்து பொருளுக்கு மாற்றப்பட்டுள்ளது.
c) பொருளை 5 m உயரத்திற்கு எடுத்துச் செல்ல செயல்படுத்தப்பட்ட புற விசை
ஆனது 

ஆனது செங்குத்தாக மேல்நோக்கிய திசையில் செயல்படும் ஓரலகு வெக்டர் ஆகும்.
d) நிலையாற்றலின் வரையறையில் இருந்து, பொருளானது மாறாத் திசைவேகத்தில் நகர்த்தப்பட வேண்டும். எனவே, பொருளின் மீது செயல்படும் நிகர விசை சுழி ஆகும்.

தீர்க்கப்பட்ட எடுத்துக்காட்டு கணக்குகள் மீட்சி நிலை ஆற்றல்
எடுத்துக்காட்டு 4.9
இரு சுருள்வில்கள் A மற்றும் B யின் சுருள்மாறிலிகள் kA > kB என்றவாறு உள்ளன. அவை சம விசைகளால் நீட்சியடையச் செய்யப்பட்டால் எந்த சுருள்வில்லின் மீது அதிக வேலை செய்யப்பட வேண்டும்?
தீர்வு

சுருள்வில்கள் மீது செய்யப்பட்ட வேலை சுருள்வில்களில் நிலை ஆற்றலாக சேமிக்கப்படுகிறது.

kA > kB, குறிப்பது UB > UA ஆகும். எனவே A - வை விட B - இன் மீது அதிக வேலை செய்யப்பட வேண்டும்.
எடுத்துக்காட்டு 4.10
m நிறையுள்ள ஒரு பொருள் சுருள்வில்லுடன் இணைக்கப்பட்டு, செயல்படுத்தப்படும் விசையினால் அது நடுநிலையில் இருந்து 25 cm அளவிற்கு நீட்சியடைகிறது.
(a) சுருள்வில் - நிறை அமைப்பில் சேமிக்கப்பட்ட நிலை ஆற்றலைக் கணக்கிடுக.
(b) இந்த நீட்சியில் சுருள்வில் விசையால் செய்யப்பட்ட வேலை யாது?
(c) சுருள்வில்லானது அதே 25 cm அளவிற்கு அமுக்கப்பட்டால் சேமிக்கப்படும் நிலை ஆற்றல் மற்றும் அமுக்கத்தின் போது சுருள்வில் விசையால் செய்யப்பட்ட வேலை ஆகியவற்றைக் கணக்கிடுக. (சுருள்வில் மாறிலி k = 0.1 N m-1)
தீர்வு
சுருள்வில் மாறிலி k = 0.1 Nm-1
இடப்பெயர்ச்சி x = 25 cm = 0.25 m
(a) சுருள்வில்லில் சேமிக்கப்பட்ட நிலை ஆற்றல்

(b) சுருள்வில் விசை
ஆல் செய்யப்பட்ட வேலை Ws மதிப்பு

சுருள்வில்விசை
எதிர்க்குறி x அச்சின் திசையில் செயல்படுகிறது. அதேசமயம் நீட்சியானது நேர்க்குறி x அச்சின் திசையில் செயல்படுகிறது.

வெளிப்புற அமைப்பால் செய்யப்பட்ட வேலையின் மூலம் நிலை ஆற்றலை வரையறுக்கலாம். நிலை ஆற்றலில் உள்ள நேர்க்குறி, ஆற்றலானது அமைப்பிலிருந்து பொருளுக்கு மாற்றப்படுவதைக் குறிக்கிறது. ஆனால் இந்நேர்வில் மீள் விசையால் செய்யப்பட்ட வேலை எதிர்க்குறி மதிப்புடையது. ஏனென்றால் மீள்விசையானது இடப்பெயர்ச்சியின் திசைக்கு எதிர்த்திசையில் செயல்படுகிறது.
(c) அமுக்கத்தின் போதும் பொருளில் அதே அளவு நிலை ஆற்றல் சேமிக்கப்படுகிறது.

அமுக்கப்படும் போது சுருள்வில் மீள் விசையால் செய்யப்பட்ட வேலை

அமுக்கப்படும் நேர்வில் சுருள்வில் மீள்விசை நேர்க்குறி x அச்சை நோக்கி செயல்படுகிறது. மற்றும் இடப்பெயர்ச்சியானது எதிர்க்குறி x அச்சின் திசையில் உள்ளது.

தீர்க்கப்பட்ட எடுத்துக்காட்டு கணக்குகள் ஆற்றல் மாற்றா மற்றும் ஆற்றல் மாற்றும் விசைகள்
எடுத்துக்காட்டு 4.11
கீழ்கண்ட நேர்வுகளில் புவியீர்ப்பு விசையினால் செய்யப்பட்ட வேலையைக் கணக்கிடுக.

தீர்வு
விசை 
இடப்பெயர்ச்சி வெக்டர் 
(இடப்பெயர்ச்சி இரு பரிமாணத்தில் உள்ளதால் அலகு வெக்டர்கள்
மற்றும்
பயன்படுத்தப்படுகிறது)
(a) இயக்கமானது செங்குத்தாக மட்டும் உள்ளதால், இடப்பெயர்ச்சியின் கிடைத்தளக்கூறு dx சுழியாகும். எனவே பாதை 1 இன் வழியே விசையினால் செய்யப்பட்ட வேலை (h தொலைவிற்கு)

ஆனால்

எனவே பாதை 2 இன் வழியே விசையினால் செய்யப்பட்ட மொத்த வேலை

ஆற்றல் மாற்றா விசையினால் செய்யப்பட்ட வேலை பாதையைச் சார்ந்ததல்ல என்பதை அறியவும்.
எடுத்துக்காட்டு 4.12
2 kg நிறையுள்ள ஒரு பொருள் இயக்க உராய்வுக் குணகம் 0.9 கொண்டுள்ள ஒரு பரப்பில் 20 N புறவிசையினால் 10 m தொலைவிற்கு நகர்த்தப்படுவதாகக் கருதுக. புறவிசை மற்றும் இயக்க உராய்வினால் செய்யப்பட்ட வேலை என்ன? முடிவைப் பற்றிய கருத்தைக் கூறுக (g = 10 ms-2 எனக் கொள்க)
தீர்வு
m = 2 kg, d = 10 m, Fext = 20 N, µk = 0.9
ஒரு பொருள் கிடைமட்டப் பரப்பில் இயங்கும்போது அது இரு விசைகளைப் பெறுகிறது.
(a) புற விசை Fext = 20 N
(b) இயக்க உராய்வு விசை
fk = μk mg = 0.9 × (2) × 10 = 18N.
புறவிசையினால் செய்யப்பட்ட வேலை
Wext = Fd = 20 × 10 = 200 J
இயக்க உராய்வு விசையினால் செய்யப்பட்ட வேலை
Wk = fkd = (-18) × 10 = -180 J
இங்கு எதிர்க்குறியானது இயக்க உராய்வு விசை, இடப்பெயர்ச்சியின் திசைக்கு எதிராக உள்ளதைக் குறிக்கிறது.
பொருளின் மீது செய்யப்பட்ட மொத்த வேலை
Wtotal = Wext + Wk = 200 - 180 = 20 J
உராய்வு விசை ஒரு ஆற்றல் மாற்றும் விசை என்பதால் புறவிசையால் கொடுக்கப்பட்ட 200 J இல் 180 J இழக்கப்பட்டது மற்றும் இதனை மீட்டெடுக்க இயலாது.
தீர்க்கப்பட்ட எடுத்துக்காட்டு கணக்குகள் ஆற்றல் மாறா விதி
எடுத்துக்காட்டு 4.13
1 kg நிறையுள்ள ஒரு பொருள் h = 10 m உயரத்திலிருந்து விழுகிறது.
(a) h = 10 m உயரத்தில் பொருளின் மொத்த ஆற்றல்
(b) h = 4 m உயரத்தில் பொருளின் நிலை ஆற்றல்
(c) h = 4 m உயரத்தில் பொருளின் இயக்க ஆற்றல்
(d) பொருள் தரையில் மோதும் வேகம் ஆகியவற்றைக் கணக்கிடுக.
(g = 10 ms-2 எனக் கொள்க)
தீர்வு
(a) புவியீர்ப்பு விசை ஆற்றல் மாற்றா விசையாகும். எனவே இயக்கம் முழுவதும் மொத்த ஆற்றல் மாறாமல் இருக்கும்.
h = 10 m உயரத்தில் மொத்த ஆற்றல் (E) முழுவதும் நிலை ஆற்றலாக இருக்கும்.

(b) h = 4 m உயரத்தில் நிலை ஆற்றல்

(c) இயக்கம் முழுவதும் மொத்த ஆற்றல் மாறிலி என்பதால் h = 4 m உயரத்தில் இயக்க ஆற்றலானது
KE = E - U = 100 - 40 = 60J
மாறாக 4 m உயரத்தில் பொருளின் திசைவேகத்தில் இருந்தும் இயக்க ஆற்றலைக் காணலாம். 6 m வீழ்ந்த பிறகு உள்ள திசைவேகத்தை இயக்கச் சமன்பாட்டிலிருந்து கணக்கிடலாம்.

(d) பொருள் தரையில் மோதும் நிலையில் மொத்த ஆற்றல் முழுவதும் இயக்க ஆற்றலாகும். மேலும் நிலை ஆற்றல் U = 0

எடுத்துக்காட்டு 4.14
படத்தில் காட்டியுள்ளவாறு 100 kg நிறையுள்ள ஒரு பொருள் தரையிலிருந்து 10 m உயரத்திற்கு இரு மாறுபட்ட வழிகளில் தூக்கப்படுகிறது. இரு நேர்வுகளிலும் புவியீர்ப்பால் செய்யப்பட்ட வேலை என்ன? சாய்தளத்தின் வழியாக பொருளை எடுத்துச் செல்வது எளிதாக உள்ளது ஏன்?

தீர்வு
m = 100 kg, h = 10 m
பாதை (1) இன் வழியே:
பொருளை 10 m உயரத்திற்குத் தூக்கத் தேவையான சிறும் விசை F1 ஆனது புவியீர்ப்பு விசைக்குச் சமமாக இருக்க வேண்டும்.
F1 = mg = 100 × 10 = 1000 N
பாதை (1) இன் வழியே நகர்ந்த தொலைவு h = 10 m
பாதை (1) இன் வழியே பொருளின் மீது செய்யப்பட்ட வேலை

பாதை (2) இன் வழியே:
சாய்தளத்தின் வழியே பொருளைக் கொண்டு செல்ல பொருளின் மீது நாம் செலுத்தும் சிறும விசை F2 ஆனது mg-க்கு சமமாக இல்லை, மாறாக mg sin θ -க்கு சமமாகும். இங்கு θ = 30°
mg sin θ = 100 × 10 × sin30°
= 100 × 10 × 0.5 = 500 N
எனவே (mg sin θ < mg)
சாய்தளப் பாதையின் நீளமானது
l = h/sin30° = 10/0.5 = 20m
பாதை (2) இன் வழியே பொருளின் மீது செய்யப்பட்ட
வேலை W = F2 l = 500 × 20 = 10,000 J
புவியீர்ப்பு விசையானது ஆற்றல் மாற்றா விசை என்பதால் புவியீர்ப்பால் பொருளின் மீது செய்யப்பட்ட வேலை அதனை கொண்டு சென்ற பாதையைச் சார்ந்ததல்ல.
இரு பாதைகளிலும் புவியீர்ப்பு விசையால் செய்யப்பட்ட வேலை 10,000 J ஆகும்.
பாதை (1) இன் வழியே:
குறைவான தொலைவு நகர்த்த புவியீர்ப்புக்கு எதிராக அதிகமான விசை செலுத்த வேண்டியுள்ளது.
பாதை (2) இன் வழியே:
அதிகமான தொலைவு நகர்த்த புவியீர்ப்புக்கு எதிராக குறைவான விசை செலுத்த வேண்டியுள்ளது.
சாய்தளத்தின் வழியே செலுத்தப்பட வேண்டிய விசை குறைவாக உள்ளதால் சாய்தளத்தின் வழியாக பொருளை எடுத்துச் செல்வது எளிதாக உள்ளது.
எடுத்துக்காட்டு 4.15
m நிறையுள்ள ஒரு பொருள் தரையிலிருந்து V0 என்ற தொடக்க வேகத்துடன் எறியப்படுகிறது. h உயரத்தில் அதன் வேகத்தைக் காண்க.
தீர்வு
புவியீர்ப்பு விசை ஆற்றல் மாற்றா விசை என்பதால் இயக்கம் முழுவதும் மொத்த ஆற்றல் மாறாது.

h உயரத்தில் நிலை ஆற்றல், இயக்க ஆற்றல் மற்றும் மொத்த ஆற்றல் ஆகியவற்றின் இறுதி மதிப்புகள் கணக்கிடப்பட்டுள்ளன.
ஆற்றல் மாறா விதியின் படி தொடக்க மற்றும் இறுதி மொத்த ஆற்றல்கள் சமமாகும்.

பாடப்பகுதி (2.11.2) இல் இயக்கவியல் சமன்பாட்டைப் பயன்படுத்தி நுண்கணித முறைப்படி இது போன்ற முடிவு பெறப்பட்டதை கவனிக்கவும். எனினும் ஆற்றல் மாறா விதியின் முறைப்படி கணக்கிடுவது நுண்கணித முறையைவிட மிகவும் எளிதாக உள்ளது.
எடுத்துக்காட்டு 4.16
ஒரு சுருள்வில்லுடன் இணைக்கப்பட்ட 2 kg நிறையுள்ள ஒரு பொருள் அதன் சமநிலையிலிருந்து x = 10 m என்ற தொலைவுக்கு நகர்த்தப்படுகிறது. சுருள்வில் மாறிலி k = 1 N m-1 மற்றும் பரப்பு உராய்வற்றதாகக் கருதுக.
(a) பொருளானது சமநிலையைக் கடக்கும்போது அதன் வேகம் என்ன?
(b) பொருளானது சமநிலையைக் கடக்கும் போதும், x = ± 10 m என்ற விளிம்பு நிலையை கடக்கும்போதும் பொருளின் மீது செயல்படும் விசை யாது?
தீர்வு
(a) சுருள்வில் விசை ஒரு ஆற்றல் மாற்றா விசை ஆகையால் மொத்த ஆற்றல் மாறிலி ஆகும். x = 10 m எனும்போது மொத்த ஆற்றல் ழுமுவதும் நிலை ஆற்றலாக மட்டுமே இருக்கும்.

பொருள் சமநிலையைக் கடக்கும்போது (x = 0) நிலை ஆற்றலானது

இந்நிலையில் முழு ஆற்றலும் இயக்க ஆற்றலாக மட்டுமே உள்ளது.

வேகம்

(b) சுருள்வில்லின் மீள்விசை F = – kx என்பதால் பொருளானது நடுநிலையைக் கடக்கும் போது அது எவ்விசையையும் உணராது. நடுநிலையில் பொருளானது மிக வேகமாக நகருகிறது என்பதை அறியவும். பொருளானது x = +10 m (நீட்சி) என்ற நிலையில் உள்ள போது விசை F = - k x
F = - (1) (10) = - 10 N இங்கு எதிர்க்குறியானது விசை நடுநிலையை நோக்கி, அதாவது எதிர் x அச்சை நோக்கி உள்ளதைக் குறிக்கிறது. மேலும் பொருளானது
x = -10 m (அமுக்கம்) என்ற நிலையில் உள்ளபோது அது உணரும் விசை
F = - (1) (-10) = + 10 N. இங்கு நேர்க்குறியானது விசை நேர் x - அச்சை நோக்கி உள்ளதைக் குறிக்கிறது.
x = ±10 m என்ற நிலையில் பொருளானது இந்த இரு விளிம்பு புள்ளிகளிலும் பெரும் விசையை உணர்ந்தாலும் கணநேர ஓய்வு நிலைக்கு வருகிறது.
தீர்க்கப்பட்ட எடுத்துக்காட்டு கணக்குகள் செங்குத்து வட்ட இயக்கம்
எடுத்துக்காட்டு 4.17
கயிற்றுடன் கட்டப்பட்ட ஒரு வாளியில் உள்ள நீர் 0.5 m ஆரமுள்ள செங்குத்து வட்டத்தை சுற்றி சுழற்றப்படுகிறது. இயக்கத்தின் போது நீரானது வாளியில் இருந்து சிந்தாமல் இருக்க அடிப்புள்ளியில் இருக்க வேண்டிய சிறும் திசைவேகத்தைக் கணக்கிடுக. (g = 10 ms-2)
தீர்வு

தீர்க்கப்பட்ட எடுத்துக்காட்டு கணக்குகள் திறனின் அலகு
எடுத்துக்காட்டு 4.18
ஒரு 75 W மின்விசிறி தினமும் 8 மணி நேரம் ஒரு மாதத்திற்கு (30 நாட்கள்) பயன்படுத்தப்பட்டால் நுகரப்பட்ட ஆற்றலை மின் அலகில் கணக்கிடுக.
தீர்வு
திறன் P = 75W
பயன்பாட்டு நேரம் t = 8 மணி × 30 நாட்கள் = 240 மணி. நுகரப்பட்ட மின் ஆற்றலானது திறன் மற்றும் பயன்பாட்டு நேரம் ஆகியவற்றின் பெருக்கல் பலன் ஆகும்.

தீர்க்கப்பட்ட எடுத்துக்காட்டு கணக்குகள் திறன் மற்றும் திசைவேகம் ஆகியவற்றுக்கு இடையே உள்ள தொடர்பு
எடுத்துக்காட்டு 4.19
1250 kg நிறையுள்ள ஒரு வாகனம் ஒரு சமமான நேர் சாலையில் 0.2ms-2 முடுக்கத்துடன் 5OON என்ற எதிர்க்கும் புறவிசைக்கெதிராக இயக்கப்படுகிறது. வாகனத்தின் திசைவேகம் 30ms-1 எனில் வாகனத்தின் இயந்திரம் வெளிப்படுத்தும் திறனைக் கணக்கிடுக.
தீர்வு
வாகனத்தின் இயந்திரம், எதிர்க்கும் விசைக்கெதிராக வேலை செய்து வாகனத்தை ஒரு முடுக்கத்துடன் இயக்க வேண்டும். எனவே வாகனத்தின் இயந்திரம் வெளிப்படுத்தும் திறன்

தீர்க்கப்பட்ட எடுத்துக்காட்டு கணக்குகள் ஒரு பரிமாண மீட்சி மோதல்கள்
எடுத்துக்காட்டு 4.20
10 ms-1 வேகத்தில் இயங்கும் ஒரு நிறை குறைவான பொருள் அதன் நிறையைப் போன்று இரு மடங்கு மற்றும் அதன் வேகத்தில் பாதியளவு கொண்ட அதே திசையில் இயங்கும் மற்றொரு பொருளின் மீது மோதுகிறது. மோதலானது ஒரு பரிமாணமீட்சி மோதல் எனக் கருதுக. மோதலுக்குப் பிறகு இரு பொருள்களின் வேகம் என்ன?
தீர்வு:

முதல் பொருளின் நிறை m என்க, மற்றும் அதன் தொடக்க திசைவேகம் u1 = 10 m s-1. எனவே இரண்டாவது பொருளின் நிறை 27 மற்றும் அதன் தொடக்க திசைவேகம்

சமன்பாடுகள் (4.53) மற்றும் (4.54) இல் இருந்து இரு பொருள்களின் இறுதி திசைவேகங்களைக் கணக்கிடலாம்.

v1 மற்றும் v2 ஆகிய இரு வேகங்களும் நேர்க்குறியாக உள்ளதால் அவை இரண்டும் முறையே 3.33 ms-1 மற்றும் 8.33 ms-1 என்ற திசைவேகங்களுடன் மோதலுக்கு முன் இயங்கிய திசையிலேயே இயங்குகின்றன.
தீர்க்கப்பட்ட எடுத்துக்காட்டு கணக்குகள் முழு மீட்சியற்ற மோதல்
எடுத்துக்காட்டு 4.21
50 g நிறையுள்ள ஒரு துப்பாக்கி குண்டு 450 g நிறையுள்ள ஒரு தொங்கவிடப்பட்ட பொருளின் அடிப்பகுதியிலிருந்து சுடப்படுகிறது. துப்பாக்கி குண்டு பொருளினுள் பொதிந்து பொருளானது 1.8 m உயரத்திற்கு மேல்நோக்கிச் செல்கிறது. துப்பாக்கி குண்டின் வேகத்தைக் கணக்கிடுக. g = 10 ms-2 எனக் கொள்க.
தீர்வு
m1 = 50 g = 0.05 kg; m2 = 450 g = 0.45 kg

துப்பாக்கி குண்டின் வேகம் u1 ஆகும். இரண்டாவது பொருள் ஓய்வு நிலையில் உள்ளது (u2 = 0). துப்பாக்கி குண்டு பொருளினுள் பொதிந்த பிறகு துப்பாக்கி குண்டு மற்றும் பொருள் ஆகியவற்றின் பொதுவான திசைவேகம் v என்க.

பொதுவான திசைவேகமானது துப்பாக்கி குண்டு மற்றும் பொருள் ஆகிய ஒருங்கிணைந்த அமைப்பின் மேல் நோக்கிய செங்குத்து இயக்கத்திற்கான தொடக்க திசைவேகம் ஆகும். இரண்டாவது இயக்கச் சமன்பாட்டிலிருந்து

இதனை மேற்கண்ட சமன்பாட்டில் பிரதியிட்டு u1 மதிப்பைப் பெற

தீர்க்கப்பட்ட எடுத்துக்காட்டு கணக்குகள் மீட்சியளிப்பு குணகம் (e)
எடுத்துக்காட்டு 4.22
ஒரு மீட்சியற்ற மோதலில் ஒரு பொருள் நிலையாக உள்ள போது சமநிறைகள் கொண்ட பொருள்களின் திசைவேகங்களின் விகிதம் v1/v2 = 1-e/1+e எனக் காட்டுக.
தீர்வு

நேர்க்கோட்டு உந்தம் மாறா விதியிலிருந்து

சமன்பாடு (2) இல் உள்ள u1 இன் மதிப்பை சமன்பாடு (1) இல் பிரதியிட

இதனைச் சுருக்க
