தீர்க்கப்பட்ட எடுத்துக்காட்டு கணக்குகள் கோண இடப்பெயர்ச்சி
எடுத்துக்காட்டு 2.40
துக்களொன்று 10 m ஆரமுடைய வட்டப்பாதையில் சுற்றுகிறது. அதன் நேர்க்கோட்டு வேகம் v=3t. இங்கு t வினாடியிலும் மற்றும் v ஆனது ms-1 லும் உள்ளது.
(அ) t = 2 வினாடியில் துகளின் மைய நோக்கு முடுக்கம் மற்றும் தொடுகோட்டு முடுக்கம் ஆகியவற்றைக் காண்க.
(ஆ) தொகுபயன்வெக்டர், ஆரவெக்டருடன் ஏற்படுத்தும் கோணத்தைக் காண்க.
தீர்வு
t = 2 வினாடியில் துகளின் வேகம்

t = 2 வினாடியில் துகளின் மைய நோக்கு முடுக்கம்

தொடுகோட்டு முடுக்கம் 
ஆர வெக்டருக்கும், தொகுபயன் வெக்டருக்கும் உள்ள கோணம்

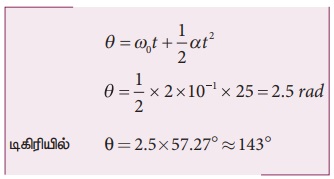
எடுத்துக்காட்டு 2.41
வட்டப்பாதை இயக்கத்திலுள்ள துகள் ஒன்றின் கோண முடுக்கம் α = 0.2 rads-2
(அ) இத்துகள் 5 வினாடிகளுக்குப் பின்னர் அடைந்த கோண இடப்பெயர்ச்சி மற்றும்
(ஆ) நேரம் t = 5 வினாடியில் இத்துகளின் கோணத்திசை வேகம் ஆகியவற்றைக் காண்க. (துகளின் ஆரம்பக்கோணத்திசைவேகம் சுழி எனக் கருதுக).
தீர்வு
துகளின் ஆரம்பக் கோணத்திசைவேகம் (ω0 = 0 ) துகளின் கோண இடப்பெயர்ச்சி
